Novel Preparation of Monodisperse Microbubbles by Integrating Oscillating Electric Fields with Microfluidics
Abstract
1. Introduction
2. Theoretical Aspects
Scaling Models Associated with Bubble Formation
3. Materials and Methods
3.1. Solution
3.2. Characterisation of Solution
3.3. Experimental Setup
3.4. Bubble Generation
3.5. Characterisation of Bubbles
3.6. Computational Modelling Methodology
3.7. Modelling the Hydrodynamics
3.8. Modelling the Electrohydrodynamics
4. Results and Discussion
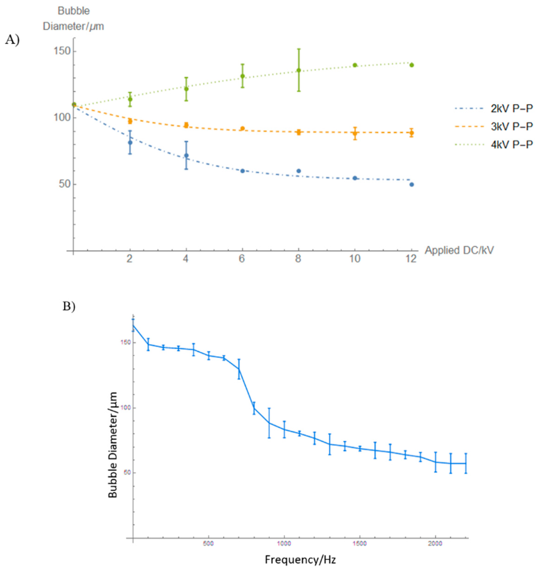
4.1. Effect of Superimposed AC
4.2. Effect of Frequency
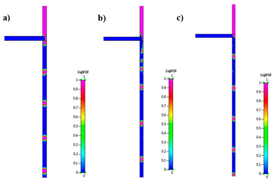
4.3. Computational Results
4.4. Formation of Microbubbles
4.5. Microbubble Detachment
4.6. Comparison between Simulation Results and Optical Micrographs
5. Conclusions
Supplementary Materials
Author Contributions
Funding
Acknowledgments
Conflicts of Interest
References
- Shen, Y.; Powell, R.L.; Longo, M.L. Interfacial and stability study of microbubbles coated with a monostearin/monopalmitin-rich food emulsifier and PEG40 stearate. J. Colloid Interface Sci. 2008, 321, 186–194. [Google Scholar] [CrossRef] [PubMed]
- Dutta, A.; Chengara, A.; Nikolov, A.D.; Wasan, D.T.; Chen, K.; Campbell, B. Texture and stability of aerated food emulsions—Effects of buoyancy and Ostwald ripening. J. Food Eng. 2004, 62, 169–175. [Google Scholar] [CrossRef]
- Ahmad, B.; Stride, E.; Edirisinghe, M. Calcium alginate foams prepared by a microfluidic T-Junction system: stability and food applications. Food Bioprocess Technol. 2012, 5, 2848–2857. [Google Scholar] [CrossRef]
- Hanotu, J.; Bandulasena, H.C.H.; Chiu, T.Y.; Zimmerman, W.B. Oil emulsion separation with fluidic oscillator generated microbubbles. Int. J. Multiph. Flow 2013, 56, 119–125. [Google Scholar] [CrossRef]
- Terasaka, K.; Hirabayashi, A.; Nishino, T.; Fujioka, S.; Kobayashi, D. Development of microbubble aerator for waste water treatment using aerobic activated sludge. Chem. Eng. Sci. 2011, 66, 3172–3179. [Google Scholar] [CrossRef]
- Jabesa, A.; Ghosh, P. Removal of diethyl phthalate from water by ozone microbubbles in a pilot plant. J. Environ. Manag. 2016, 180, 476–484. [Google Scholar] [CrossRef] [PubMed]
- Wen, L.H.; Ismail, A.B.; Menon, P.; Saththasivam, J.; Thu, K.; Choon, N.K. Case studies of microbubbles in wastewater treatment. Desalin. Water Treat. 2011, 30, 10–16. [Google Scholar] [CrossRef]
- Janib, S.M.; Moses, A.S.; MacKay, J.A. Imaging and drug delivery using theranostic nanoparticles. Adv. Drug Deliv. Rev. 2010, 62, 1052–1063. [Google Scholar] [CrossRef] [PubMed]
- Kiessling, F.; Fokong, S.; Koczera, P.; Lederle, W.; Lammers, T. Ultrasound microbubbles for molecular diagnosis, therapy, and theranostics. J. Nuclear Med. 2012, 53, 345–348. [Google Scholar] [CrossRef] [PubMed]
- Unger, E.C.; Porter, T.; Culp, W.; Labell, R.; Matsunaga, T.; Zutshi, R. Therapeutic applications of lipid-coated microbubbles. Adv. Drug Deliv. Rev. 2004, 56, 1291–1314. [Google Scholar] [CrossRef] [PubMed]
- Stride, E.; Edirisinghe, M. Novel microbubble preparation technologies. Soft Matter 2008, 4, 2350–2359. [Google Scholar] [CrossRef]
- Mahalingam, S.; Raimi-Abraham, B.T.; Craig, D.Q.; Edirisinghe, M. Formation of protein and protein–gold nanoparticle stabilized microbubbles by pressurized gyration. Langmuir 2014, 31, 659–666. [Google Scholar] [CrossRef]
- Feshitan, J.A.; Chen, C.C.; Kwan, J.J.; Borden, M.A. Microbubble size isolation by differential centrifugation. J. Colloid Interface Sci. 2009, 329, 316–324. [Google Scholar] [CrossRef] [PubMed]
- Farook, U.; Stride, E.; Edirisinghe, M.J. Preparation of suspensions of phospholipid-coated microbubbles by coaxial electrohydrodynamic atomization. J. R. Soc. Interface 2009, 6, 271–277. [Google Scholar] [CrossRef] [PubMed]
- Peyman, S.A.; Abou-Saleh, R.H.; McLaughlan, J.R.; Ingram, N.; Johnson, B.R.; Critchley, K.; Freear, S.; Evans, J.A.; Markham, A.F.; Coletta, P.L. Expanding 3D geometry for enhanced on-chip microbubble production and single step formation of liposome modified microbubbles. Lab Chip 2012, 12, 4544–4552. [Google Scholar] [CrossRef] [PubMed]
- Castro-Hernández, E.; van Hoeve, W.; Lohse, D.; Gordillo, J.M. Microbubble generation in a co-flow device operated in a new regime. Lab Chip 2011, 11, 2023–2029. [Google Scholar] [CrossRef] [PubMed]
- Parhizkar, M.; Edirisinghe, M.; Stride, E. Effect of operating conditions and liquid physical properties on the size of monodisperse microbubbles produced in a capillary embedded T-junction device. Microfluid. Nanofluid. 2013, 14, 797–808. [Google Scholar] [CrossRef]
- Di Marco, P.; Grassi, W.; Memoli, G.; Takamasa, T.; Tomiyama, A.; Hosokawa, S. Influence of electric field on single gas-bubble growth and detachment in microgravity. Int. J. Multiph. Flow 2003, 29, 559–578. [Google Scholar] [CrossRef]
- Sunder, S.; Tomar, G. Numerical simulations of bubble formation from submerged needles under non-uniform direct current electric field. Phys. Fluids 2013, 25, 102104. [Google Scholar] [CrossRef]
- Parhizkar, M.; Stride, E.; Edirisinghe, M. Preparation of monodisperse microbubbles using an integrated embedded capillary T-junction with electrohydrodynamic focusing. Lab Chip 2014, 14, 2437–2446. [Google Scholar] [CrossRef] [PubMed]
- Jaworek, A.; Machowski, W.; Krupa, A.; Balachandran, W. Viscosity effect on EHD spraying using AC superimposed on DC electric field. In Proceedings of the Conference Record of the 2000 IEEE Industry Applications Conference, Rome, Italy, 8–12 October 2000; pp. 770–776. [Google Scholar]
- Balachandran, W.; Machowski, W.; Ahmad, C.N. Electrostatic atomisation of conducting liquids using AC superimposed on DC fields. In Proceedings of the Conference Record of the 1992 IEEE Industry Applications Society Annual Meeting, Houston, TX, USA, 4–9 October 1992; Volume 1362, pp. 1369–1373. [Google Scholar]
- Huneiti, Z.; Machowski, W.; Balachandran, W. Excitation of electrohydrodynamic surface waves on a conducting liquid jet employing AC field. In Proceedings of the IAS’96 Conference Record of the 1996 IEEE Industry Applications Conference Thirty-First IAS Annual Meeting, San Diego, CA, USA, 6–10 October 1996; pp. 1768–1774. [Google Scholar]
- Movassat, M.; Ashgriz, N.; Bussmann, M. Oscillation and breakup of a bubble under forced vibration. Int. J. Heat Fluid Flow 2015, 54, 211–219. [Google Scholar] [CrossRef]
- Feng, Z.; Leal, L. Nonlinear bubble dynamics. Annu. Rev. Fluid Mech. 1997, 29, 201–243. [Google Scholar] [CrossRef]
- Jagannathan, T.K.; Nagarajan, R.; Ramamurthi, K. Effect of ultrasound on bubble breakup within the mixing chamber of an effervescent atomizer. Chem. Eng. Process. Process Intensif. 2011, 50, 305–315. [Google Scholar] [CrossRef]
- Thorsen, T.; Roberts, R.W.; Arnold, F.H.; Quake, S.R. Dynamic pattern formation in a vesicle-generating microfluidic device. Phys. Rev. Lett. 2001, 86, 4163. [Google Scholar] [CrossRef] [PubMed]
- Taylor, G. The formation of emulsions in definable fields of flow. Proc. R. Soc. Lond. Ser. A 1934, 146, 501–523. [Google Scholar] [CrossRef]
- Garstecki, P.; Fuerstman, M.J.; Stone, H.A.; Whitesides, G.M. Formation of droplets and bubbles in a microfluidic T-junction—Scaling and mechanism of break-up. Lab Chip 2006, 6, 437–446. [Google Scholar] [CrossRef] [PubMed]
- De Menech, M.; Garstecki, P.; Jousse, F.; Stone, H. Transition from squeezing to dripping in a microfluidic T-shaped junction. J. Fluid Mech. 2008, 595, 141–161. [Google Scholar] [CrossRef]
- Kothandaraman, A.; Edirisinghe, M.; Ventikos, Y. Microbubbles and Their Generation. WO2017081457A1. 18 May 2017. [Google Scholar]
- Chen, B.; Li, G.; Wang, W.; Wang, P. 3D numerical simulation of droplet passive breakup in a micro-channel T-junction using the Volume-Of-Fluid method. Appl. Therm. Eng. 2015, 88, 94–101. [Google Scholar] [CrossRef]
- Brackbill, J.U.; Kothe, D.B.; Zemach, C. A continuum method for modeling surface tension. J. Comput. Phys. 1992, 100, 335–354. [Google Scholar] [CrossRef]
- Meier, M.; Yadigaroglu, G.; Smith, B.L. A novel technique for including surface tension in PLIC-VOF methods. Eur. J. Mech. B Fluids 2002, 21, 61–73. [Google Scholar] [CrossRef]
- Sontti, S.G.; Atta, A. CFD analysis of microfluidic droplet formation in non–Newtonian liquid. Chem. Eng. J. 2017, 330, 245–261. [Google Scholar] [CrossRef]
- Brown, M.S.; Brasz, C.F.; Ventikos, Y.; Arnold, C.B. Impulsively actuated jets from thin liquid films for high-resolution printing applications. J. Fluid Mech. 2012, 709, 341–370. [Google Scholar] [CrossRef]
- Lastow, O.; Balachandran, W. Numerical simulation of electrohydrodynamic (EHD) atomization. J. Electrost. 2006, 64, 850–859. [Google Scholar] [CrossRef]
- Fleisch, D. A Student’s Guide to Maxwell’s Equations; Cambridge University Press: Cambridge, UK, 2008. [Google Scholar]
- Liu, J.-L. Poisson’s Equation in Electrostatics. Unpublished work. 2010. [Google Scholar]
- Lima, N.C.; d’Ávila, M.A. Numerical simulation of electrohydrodynamic flows of Newtonian and viscoelastic droplets. J. Non-Newton. Fluid Mech. 2014, 213, 1–14. [Google Scholar] [CrossRef]
- Cheng, K.J.; Chaddock, J.B. Effect of an electric field on bubble growth rate. Int. Commun. Heat Mass Transf. 1985, 12, 259–268. [Google Scholar] [CrossRef]
- Quan, X.; Chen, G.; Cheng, P. Effects of electric field on microbubble growth in a microchannel under pulse heating. Int. J. Heat Mass Transf. 2011, 54, 2110–2115. [Google Scholar] [CrossRef]
- Kweon, Y.; Kim, M.; Cho, H.; Kang, I. Study on the deformation and departure of a bubble attached to a wall in dc/ac electric fields. Int. J. Multiph. Flow 1998, 24, 145–162. [Google Scholar] [CrossRef]
- Gao, M.; Cheng, P.; Quan, X. An experimental investigation on effects of an electric field on bubble growth on a small heater in pool boiling. Int. J. Heat and Mass Transf. 2013, 67, 984–991. [Google Scholar] [CrossRef]
- Lastow, O.; Balachandran, W. Novel low voltage EHD spray nozzle for atomization of water in the cone jet mode. J. Electrost. 2007, 65, 490–499. [Google Scholar] [CrossRef]
- Leighton, T. The Acoustic Bubble; Academic Press: Cambridge, MA, USA, 2012. [Google Scholar]
- Plesset, M.S.; Prosperetti, A. Bubble dynamics and cavitation. Annu. Rev. Fluid Mech. 1977, 9, 145–185. [Google Scholar] [CrossRef]
- Courant, R.; Friedrichs, K.; Lewy, H. On the partial difference equations of mathematical physics. IBM J. Res. Dev. 1967, 11, 215–234. [Google Scholar] [CrossRef]
- Hawker, N.A.; Ventikos, Y. Interaction of a strong shockwave with a gas bubble in a liquid medium: A numerical study. J. Fluid Mech. 2012, 701, 59–97. [Google Scholar] [CrossRef]
- Pereira, F.H.; Lopes Verardi, S.L.; Nabeta, S.I. A fast algebraic multigrid preconditioned conjugate gradient solver. Appl. Math. Comput. 2006, 179, 344–351. [Google Scholar] [CrossRef]
- Di Carlo, D. Inertial microfluidics. Lab Chip 2009, 9, 3038–3046. [Google Scholar] [CrossRef] [PubMed]
- Guo, F.; Chen, B. Numerical Study on Taylor Bubble Formation in a Micro-channel T-Junction Using VOF Method. Microgravity Sci. Technol. 2009, 21, 51–58. [Google Scholar] [CrossRef]
- Van Steijn, V.; Kreutzer, M.T.; Kleijn, C.R. μ-PIV study of the formation of segmented flow in microfluidic T-junctions. Chem. Eng. Sci. 2007, 62, 7505–7514. [Google Scholar] [CrossRef]
- Sivasamy, J.; Wong, T.-N.; Nguyen, N.-T.; Kao, L.T.-H. An investigation on the mechanism of droplet formation in a microfluidic T-junction. Microfluid. Nanofluid. 2011, 11, 1–10. [Google Scholar] [CrossRef]
- Soh, G.Y.; Yeoh, G.H.; Timchenko, V. Numerical investigation on the velocity fields during droplet formation in a microfluidic T-junction. Chem. Eng. Sci. 2016, 139, 99–108. [Google Scholar] [CrossRef]
- Talu, E.; Lozano, M.M.; Powell, R.L.; Dayton, P.A.; Longo, M.L. Long-term stability by lipid coating monodisperse microbubbles formed by a flow-focusing device. Langmuir 2006, 22, 9487–9490. [Google Scholar] [CrossRef] [PubMed]









| Solution | Viscosity (mPa·s) | Surface Tension (mN·m−1) | Electrical Conductivity (µS·m−1) | Density (kg·m3) |
|---|---|---|---|---|
| 50% wt. Glycerol + 1% wt. PEG-40-S | 8 | 54 | 2.0 | 1100 |
© 2018 by the authors. Licensee MDPI, Basel, Switzerland. This article is an open access article distributed under the terms and conditions of the Creative Commons Attribution (CC BY) license (http://creativecommons.org/licenses/by/4.0/).
Share and Cite
Kothandaraman, A.; Harker, A.; Ventikos, Y.; Edirisinghe, M. Novel Preparation of Monodisperse Microbubbles by Integrating Oscillating Electric Fields with Microfluidics. Micromachines 2018, 9, 497. https://doi.org/10.3390/mi9100497
Kothandaraman A, Harker A, Ventikos Y, Edirisinghe M. Novel Preparation of Monodisperse Microbubbles by Integrating Oscillating Electric Fields with Microfluidics. Micromachines. 2018; 9(10):497. https://doi.org/10.3390/mi9100497
Chicago/Turabian StyleKothandaraman, Anjana, Anthony Harker, Yiannis Ventikos, and Mohan Edirisinghe. 2018. "Novel Preparation of Monodisperse Microbubbles by Integrating Oscillating Electric Fields with Microfluidics" Micromachines 9, no. 10: 497. https://doi.org/10.3390/mi9100497
APA StyleKothandaraman, A., Harker, A., Ventikos, Y., & Edirisinghe, M. (2018). Novel Preparation of Monodisperse Microbubbles by Integrating Oscillating Electric Fields with Microfluidics. Micromachines, 9(10), 497. https://doi.org/10.3390/mi9100497

