Fabrication of SWCNT-Graphene Field-Effect Transistors †
Abstract
:1. Introduction
2. Materials and Feature Analysis
2.1. Preparation and Assembly of Graphene

2.2. Choosing the Cutting Force



2.3. Designing the Cutting Path

2.4. Effects of Defects on the Electrical Properties of Graphene

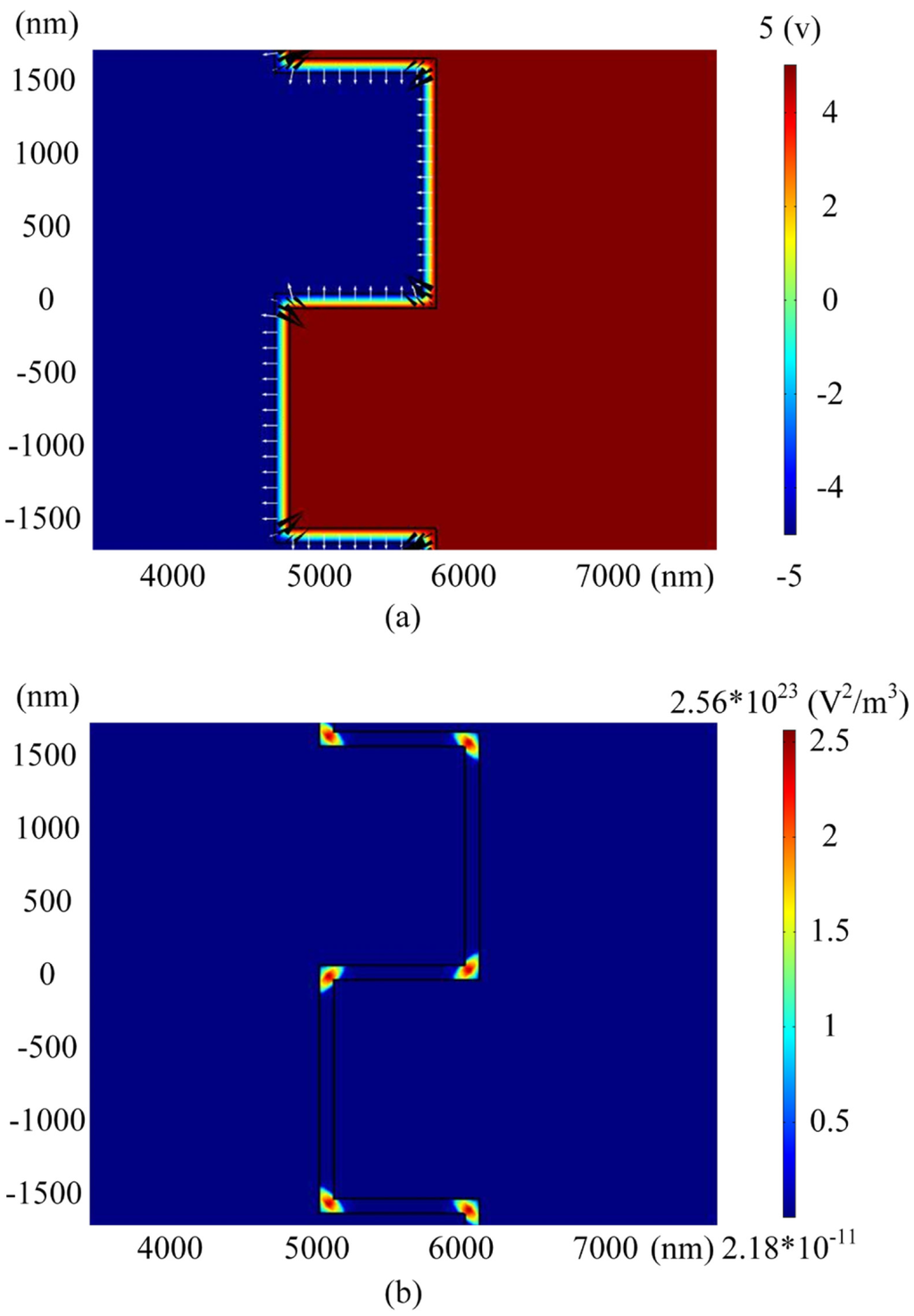
2.5. SWCNT Suspension Preparation and Dielectrophoretic Assembly
3. Fabrication and Characterization of SWCNT-Graphene FET

3.1. Characterization of Graphene Interdigitated Electrodes

3.2. Assembly of SWCNT on Graphene Interdigitated Electrodes by Dielectrophoresis



3.3. SWCNT-Graphene FETs Characteristic Test


4. Conclusions
Acknowledgments
Author Contributions
Conflicts of Interest
References
- Geim, A.K.; Novoselov, K.S. The rise of graphene. Nat. Mater. 2007, 6, 183–191. [Google Scholar] [CrossRef] [PubMed]
- Eda, G.; Chhowalla, M. Graphene-based composite thin films for electronics. Nano Lett. 2009, 9, 814–818. [Google Scholar] [CrossRef] [PubMed]
- Geim, A.K. Graphene: Status and prospects. Science 2009, 324, 1530–1534. [Google Scholar] [CrossRef] [PubMed]
- Lee, C.; Wei, X.; Kysar, J.W.; Hone, J. Measurement of the elastic properties and intrinsic strength of monolayer graphene. Science 2008, 321, 385–388. [Google Scholar] [CrossRef] [PubMed]
- Li, X.; Wang, X.; Zhang, L.; Lee, S.; Dai, H. Chemically derived, ultrasmooth graphene nanoribbon semiconductors. Science 2008, 319, 1229–1232. [Google Scholar] [CrossRef] [PubMed]
- Wu, Y.; Lin, Y.; Bol, A.A.; Jenkins, K.A.; Xia, F.; Farmer, D.B.; Zhu, Y.; Avouris, P. High-frequency, scaled graphene transistors on diamond-like carbon. Nature 2011, 472, 74–78. [Google Scholar] [CrossRef] [PubMed]
- Yang, X.; Cheng, C.; Wang, Y.; Qiu, L.; Li, D. Liquid-mediated dense integration of graphene materials for compact capacitive energy storage. Science 2013, 341, 534–537. [Google Scholar] [CrossRef] [PubMed]
- Schedin, F.; Geim, A.K.; Morozov, S.V.; Hill, E.W.; Blake, P.; Katsnelson, M.I.; Novoselov, K.S. Detection of individual gas molecules adsorbed on graphene. Nat. Mater. 2007, 6, 652–655. [Google Scholar] [CrossRef] [PubMed]
- Li, B.; Cao, X.; Ong, H.G.; Cheah, J.W.; Zhou, X.; Yin, Z.; Li, H.; Wang, J.; Boey, F.; Huang, W.; et al. All-Carbon Electronic Devices Fabricated by Directly Grown Single-Walled Carbon Nanotubes on Reduced Graphene Oxide Electrodes. Adv. Mater. 2010, 22, 3058–3061. [Google Scholar] [CrossRef] [PubMed]
- Hong, S.W.; Du, F.; Lan, W.; Kim, S.; Kim, H.; Rogers, J.A. Monolithic Integration of Arrays of Single-Walled Carbon Nanotubes and Sheets of Graphene. Adv. Mater. 2011, 23, 3821–3826. [Google Scholar] [CrossRef]
- Zou, Y.; Li, Q.; Liu, J.; Jin, Y.; Qian, Q.; Jiang, K.; Fan, S. Fabrication of All-Carbon Nanotube Electronic Devices on Flexible Substrates Through CVD and Transfer Methods. Adv. Mater. 2013, 25, 6050–6056. [Google Scholar] [CrossRef]
- Avouris, P.; Chen, Z.; Perebeinos, V. Carbon-based electronics. Nat. Nanotechnol. 2007, 2, 605–615. [Google Scholar] [CrossRef]
- Shiraishi, M.; Ata, M. Work function of carbon nanotubes. Carbon 2001, 39, 1913–1917. [Google Scholar] [CrossRef]
- Liu, P.; Sun, Q.; Zhu, F.; Liu, K.; Jang, K.; Liu, L.; Li, Q.; Fan, S. Measuring the work function of carbon nanotubes with thermionic method. Nano Lett. 2008, 8, 647–651. [Google Scholar] [CrossRef] [PubMed]
- Tongay, S.; Lemaitre, M.; Miao, X.; Gila, B.; Appleton, B.R.; Hebard, A.F. Rectification at graphene-semiconductor interfaces: Zero-gap semiconductor-based diodes. Phys. Rev. X 2012, 2, 011002. [Google Scholar] [CrossRef]
- Zeng, J.J.; Lin, Y.J. Tuning the work function of graphene by nitrogen plasma treatment with different radio-frequency powers. Appl. Phys. Lett. 2014, 104, 233103. [Google Scholar] [CrossRef]
- Cao, Q.; Hur, S.H.; Zhu, Z.T.; Sun, Y.; Wang, C.; Meitl, M.A.; Shim, M.; Rogers, J.A. Highly Bendable, Transparent Thin-Film Transistors That Use Carbon-Nanotube-Based Conductors and Semiconductors with Elastomeric Dielectrics. Adv. Mater. 2006, 18, 304–309. [Google Scholar] [CrossRef]
- Gao, L.; Ren, W.; Xu, H.; Jin, L.; Wang, Z.; Ma, T.; Ma, L.P.; Zhang, Z.; Fu, Q.; Peng, L.M.; et al. Repeated growth and bubbling transfer of graphene with millimetre-size single-crystal grains using platinum. Nat. Commun. 2012, 3, 699. [Google Scholar] [CrossRef] [PubMed]
- Meyer, J.C.; Kisielowski, C.; Erni, R.; Rossell, M.D.; Crommie, M.F.; Zettl, A. Direct imaging of lattice atoms and topological defects in graphene membranes. Nano Lett. 2008, 8, 3582–3586. [Google Scholar] [CrossRef] [PubMed]
- Jafri, S.H.M.; Carva, K.; Widenkvist, E.; Blom, T.; Sanyal, B.; Fransson, J.; Eriksson, O.; Jansson, U.; Grennberg, H.; Karis, O.; et al. Conductivity engineering of graphene by defect formation. J. Phys. D Appl. Phys. 2010, 43, 045404. [Google Scholar] [CrossRef]
- Anderson, P.W. Absence of diffusion in certain random lattices. Phys. Rev. 1958, 109, 1492–1505. [Google Scholar] [CrossRef]
- Xu, K.; Tian, X.J.; Wu, C.D.; Liu, J.; Li, M.X.; Dong, Z.L. Study on the large-scale assembly and fabrication method for SWCNTs nano device. Sci. China Phys. Mech. Astron. 2013, 56, 556–561. [Google Scholar] [CrossRef]
- Pohl, H.A. The motion and precipitation of suspensoids in divergent electric fields. J. Appl. Phys. 1951, 22, 869–871. [Google Scholar] [CrossRef]
- Dimaki, M.; Bøggild, P. Dielectrophoresis of carbon nanotubes using microelectrodes: A numerical study. Nanotechnology 2004, 15, 1095. [Google Scholar] [CrossRef]
- Bartolomeo, A.D.; Rinzan, M.; Boyd, A.K.; Yang, Y.; Guadagno, L.; Giubileo, F.; Barbara, P. Electrical properties and memory effects of field-effect transistors from networks of single-and double-walled carbon nanotubes. Nanotechnology 2010, 21, 115204. [Google Scholar] [CrossRef] [PubMed]
- Li, T.; Hu, W.; Zhu, D. Nanogap electrodes. Adv. Mater. 2010, 22, 286–300. [Google Scholar] [CrossRef] [PubMed]
© 2015 by the authors; licensee MDPI, Basel, Switzerland. This article is an open access article distributed under the terms and conditions of the Creative Commons Attribution license (http://creativecommons.org/licenses/by/4.0/).
Share and Cite
Xie, S.; Jiao, N.; Tung, S.; Liu, L. Fabrication of SWCNT-Graphene Field-Effect Transistors. Micromachines 2015, 6, 1317-1330. https://doi.org/10.3390/mi6091317
Xie S, Jiao N, Tung S, Liu L. Fabrication of SWCNT-Graphene Field-Effect Transistors. Micromachines. 2015; 6(9):1317-1330. https://doi.org/10.3390/mi6091317
Chicago/Turabian StyleXie, Shuangxi, Niandong Jiao, Steve Tung, and Lianqing Liu. 2015. "Fabrication of SWCNT-Graphene Field-Effect Transistors" Micromachines 6, no. 9: 1317-1330. https://doi.org/10.3390/mi6091317
APA StyleXie, S., Jiao, N., Tung, S., & Liu, L. (2015). Fabrication of SWCNT-Graphene Field-Effect Transistors. Micromachines, 6(9), 1317-1330. https://doi.org/10.3390/mi6091317
