Polarization-Reconfigurable Metasurface Antenna Design for Drone Terminals Based on Characteristic Mode Analysis
Abstract
1. Introduction
2. Antenna Design Principles with MS Analysis
2.1. Theoretical Foundation of Characteristic Modes
2.2. CMA-Guided Evolution of the Metasurface Unit Cell











3. Overall Antenna Structure and Reconfiguration Mechanism
3.1. Implementation of Polarization Reconfiguration
3.2. Practical Considerations for Mechanical Reconfiguration
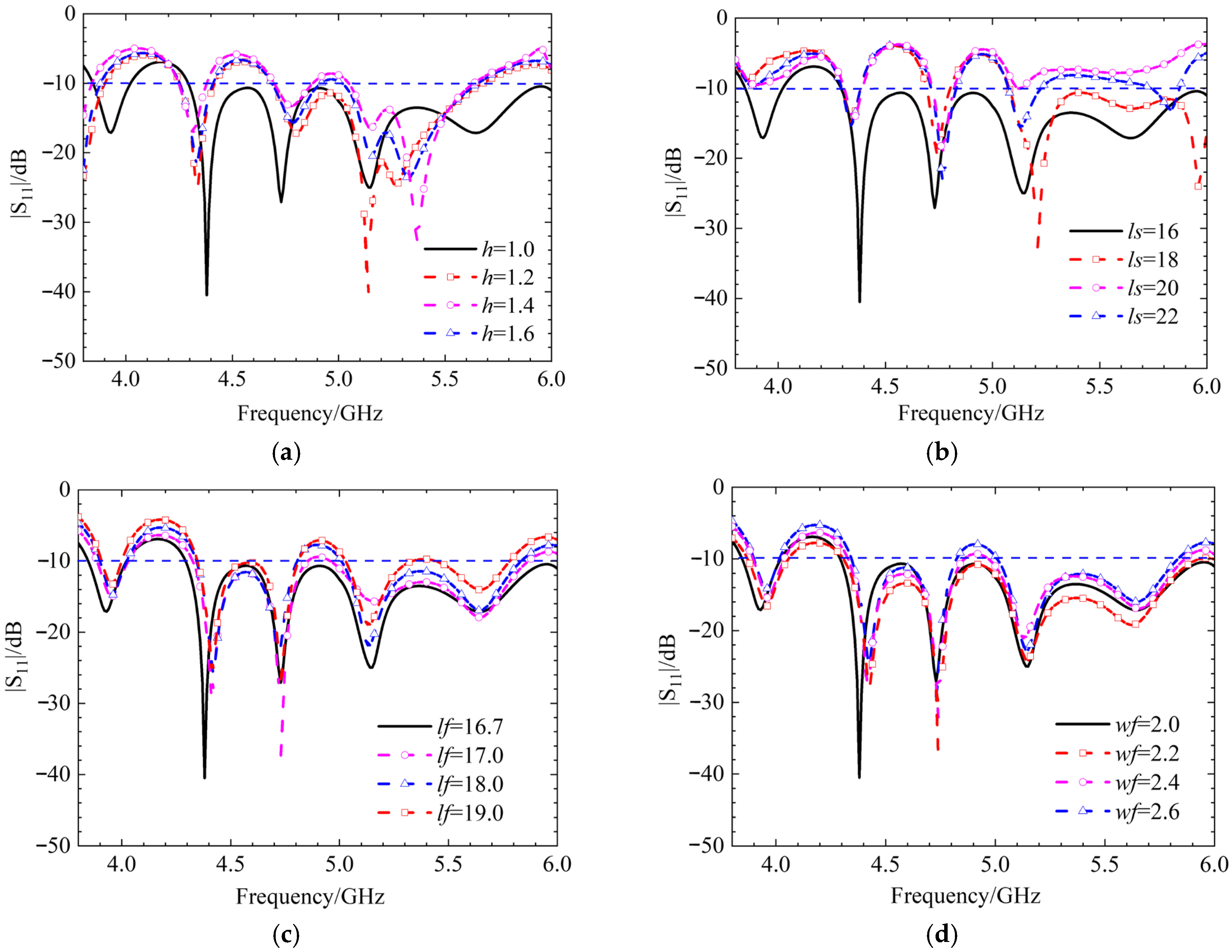
4. Experimental Results
4.1. Fabrication and Measurement Setup
4.2. Performance Analysis
5. Conclusions
Author Contributions
Funding
Institutional Review Board Statement
Informed Consent Statement
Data Availability Statement
Acknowledgments
Conflicts of Interest
References
- Behera, B.R.; Alsharif, M.H.; Jahid, A. Investigation of a circularly polarized metasurface antenna for hybrid wireless applications. Micromachines 2023, 14, 2172. [Google Scholar] [CrossRef] [PubMed]
- Tu, L.-T.; Thai, D.N.; Tran, N.V.-D.; Tran, H.; Dat, N.-T. Circularly polarized reconfigurable MIMO antenna for WLAN applications. Sensors 2025, 25, 1257. [Google Scholar] [CrossRef] [PubMed]
- Alharbi, M.; Alyahya, M.A.; Ramalingam, S.; Modi, A.Y.; Balanis, C.A.; Birtcher, C.R. Metasurfaces for reconfiguration of multi-polarization antennas and Van atta reflector arrays. Electronics 2020, 9, 1262. [Google Scholar] [CrossRef]
- Behera, B.R.; Mishra, S.K.; Alsharif, M.H.; Jahid, A. Reconfigurable antennas for RF energy harvesting application: Current trends, challenges, and solutions from design perspective. Electronics 2023, 12, 2723. [Google Scholar] [CrossRef]
- Iqbal, Z.; Li, X.; Qi, Z.; Zhao, W.; Akram, Z.; Ishfaq, M. Wideband reconfigurable reflective metasurface with 1-bit phase control based on polarization rotation. Telecom 2025, 6, 65. [Google Scholar] [CrossRef]
- Han, L.; Wang, G.; Zhang, L.; Jiang, W.; Zhao, P.; Tang, W.; Dang, T.; Zheng, H. Tightly coupled ultra-wideband phased-array implemented by three-dimensional inkjet printing technique. Electronics 2022, 11, 3320. [Google Scholar] [CrossRef]
- Tang, C.; Zheng, H.; Li, Z.; Zhang, K.; Wang, M.; Fan, C.; Li, E. Broadband flexible microstrip antenna array with conformal load-bearing structure. Micromachines 2023, 14, 403. [Google Scholar] [CrossRef] [PubMed]
- Wang, L.; Li, Z.; Zheng, H. Investigation of parallel and orthogonal MIMO antennas with two-notched structures for ultra-wideband application. Micromachines 2023, 14, 1406. [Google Scholar] [CrossRef] [PubMed]
- Qin, Y.; Han, M.; Zhang, L.; Mao, C.-X.; Zhu, H. A compact dual-band omnidirectional circularly polarized filtering antenna for UAV communications. IEEE Trans. Veh. Technol. 2023, 72, 16742–16747. [Google Scholar] [CrossRef]
- Yue, T.; Jiang, Z.H.; Werner, D.H. A compact metasurface-enabled dual-band dual-circularly polarized antenna loaded with complementary split ring resonators. IEEE Trans. Antennas Propag. 2019, 67, 794–802. [Google Scholar] [CrossRef]
- Scarborough, C.P.; Werner, D.H.; Wolfe, D.E. Compact low-profile tunable metasurface-enabled antenna with near-arbitrary polarization. IEEE Trans. Antennas Propag. 2016, 64, 2775–2783. [Google Scholar] [CrossRef]
- Soric, J.C.; Monti, A.; Toscano, A.; Bilotti, F.; Alù, A. Dual-polarized reduction of dipole antenna blockage using mantle cloaks. IEEE Trans. Antennas Propag. 2015, 63, 4827–4834. [Google Scholar] [CrossRef]
- Zhang, S.; Yang, X.-S.; Chen, B.-J.; Wang, B.-Z. Miniaturized wideband ±45° dual-polarized metasurface antenna by loading quasi-fractal slot. IEEE Antennas Wireless Propag. Lett. 2023, 22, 893–897. [Google Scholar] [CrossRef]
- Zheng, B.; Li, N.; Li, X.; Rao, X.; Shan, Y. Miniaturized wideband CP antenna using hybrid embedded metasurface structure. IEEE Access 2022, 10, 120056–120062. [Google Scholar] [CrossRef]
- Wu, Z.; Fang, X.; Chen, X.; Yang, J.; Ye, Y.; Huang, Z. Miniaturized wideband metasurface antenna using fully multiplexed structure. IEEE Antennas Wirel. Propag. Lett. 2025, 24, 1784–1788. [Google Scholar] [CrossRef]
- Xiong, X.; Xue, W.; Qi, J.; Shang, W.; Li, W. Miniaturized wideband metasurface antenna with filtering performance for 5G application. IEEE Antennas Wirel. Propag. Lett. 2025, 24, 3–7. [Google Scholar] [CrossRef]
- Liu, W.E.I.; Chen, Z.N.; Qing, X.; Shi, J.; Lin, F.H. Miniaturized wideband metasurface antennas. IEEE Trans. Antennas Propag. 2017, 65, 7345–7349. [Google Scholar] [CrossRef]
- Chen, D.; Yang, W.; Che, W.; Xue, Q. Miniaturized wideband metasurface antennas using cross-layer capacitive loading. IEEE Antennas Wirel. Propag. Lett. 2022, 21, 19–23. [Google Scholar] [CrossRef]
- Zhang, Y.L.; Fang, Q.; Wu, Z.; Wei, Y.F. Low-profile polarization reconfigurable metasurface antenna. Chin. J. Radio Sci. 2021, 36, 912–917. (In Chinese) [Google Scholar] [CrossRef]


















| Dimension | w0 | w1 | w2 | w3 | wr | wf |
| Size (mm) | 11 | 3.68 | 2.5 | 2.5 | 35 | 2.0 |
| Dimension | L | lf | ls | h0 | h | s |
| Size (mm) | 50 | 16.7 | 16 | 1.6 | 1.0 | 1.0 |
| Polarization State | Parameter | Simulation | Measurement |
|---|---|---|---|
| LHCP (0°) | Impedance BW | 48.17% (3.01–4.92 GHz) | 47.0% (3.05–4.89 GHz) |
| 3 dB AR BW | 9.75% (4.12–4.64 GHz) | 10.3% (4.15–4.60 GHz) | |
| Avg. Gain | 5.9 dBi | 5.7 dBi | |
| LP (45°) | Impedance BW | 32.68% (4.30–5.98 GHz) | 29.9% (4.33–5.85 GHz) |
| XPD (Co/Cross-pol) | >23 dB | >23 dB | |
| Avg. Gain | 5.3 dBi | 5.1 dBi | |
| RHCP (90°) | Impedance BW | 48.29% (3.00–4.91 GHz) | 48.5% (2.98–4.88 GHz) |
| 3 dB AR BW | 9.98% (3.46–3.82 GHz) | 10.1% (3.42–3.78 GHz) | |
| Avg. Gain | 6.1 dBi | 6.0 dBi |
| Reference | Size (λ0) | Frequency (GHz) | BW (%) | Gain (dBi) | Pol. States | Reconfig. Method | Key Features |
|---|---|---|---|---|---|---|---|
| [2] | 0.76 × 0.76 × 0.03 | 2.44–2.46 | N/A | 4.3 | RHCP, LHCP | PIN diodes | Compact size |
| [5] | 0.19 × 0.19 × 0.05 | 3.83–15.06 | 118.89 | N/A | LP | 1-bit phase modulation | UWB, Polarization rotation |
| [8] | 0.57 × 0.32 × 0.013 | 2.45–14.88 | ~460 | 5.7 | N/A | Orthogonal location | Compact size, UWB MIMO |
| [9] | 0.2 × 0.2 × 0.042 | 2.45 5.8 | 1.8 2.3 | 0 1.5 | RHCP, LHCP | Polarized filtering | Dual-Band, MIMO |
| [13] | 0.39 × 0.39 × 0.09 | 4.98–6.00 | 18.6 | 6.1–7.5 | Dual | Loading slots on the MTS | Metasurface antenna |
| [19] | N/A | 4–5.7 | 29.8 | 5 | LHCP, RHCP | Slot coupling | Compact size |
| This Work | 0.49 × 0.49 × 0.07 | 3.85–4.37 | 9.75 | 5 | LHCP, LP, RHCP | Machine switch | Polarization stable |
Disclaimer/Publisher’s Note: The statements, opinions and data contained in all publications are solely those of the individual author(s) and contributor(s) and not of MDPI and/or the editor(s). MDPI and/or the editor(s) disclaim responsibility for any injury to people or property resulting from any ideas, methods, instructions or products referred to in the content. |
© 2026 by the authors. Licensee MDPI, Basel, Switzerland. This article is an open access article distributed under the terms and conditions of the Creative Commons Attribution (CC BY) license.
Share and Cite
Zhang, S.; Yu, H.; Wen, X.; Zheng, H. Polarization-Reconfigurable Metasurface Antenna Design for Drone Terminals Based on Characteristic Mode Analysis. Micromachines 2026, 17, 311. https://doi.org/10.3390/mi17030311
Zhang S, Yu H, Wen X, Zheng H. Polarization-Reconfigurable Metasurface Antenna Design for Drone Terminals Based on Characteristic Mode Analysis. Micromachines. 2026; 17(3):311. https://doi.org/10.3390/mi17030311
Chicago/Turabian StyleZhang, Shiquan, Hao Yu, Xianqiong Wen, and Hongxing Zheng. 2026. "Polarization-Reconfigurable Metasurface Antenna Design for Drone Terminals Based on Characteristic Mode Analysis" Micromachines 17, no. 3: 311. https://doi.org/10.3390/mi17030311
APA StyleZhang, S., Yu, H., Wen, X., & Zheng, H. (2026). Polarization-Reconfigurable Metasurface Antenna Design for Drone Terminals Based on Characteristic Mode Analysis. Micromachines, 17(3), 311. https://doi.org/10.3390/mi17030311

