Design and Study of a PVDF Piezoelectric Film Force Sensor Based on Interface Force Field Reconstruction and Surface Domain Segmentation
Abstract
1. Introduction
2. Structural Design and Measurement Principle of the PVDF Piezoelectric Film Force Sensor
2.1. Design of a PVDF Piezoelectric Film Force Sensor Based on Interface Force Field Reconstruction
2.2. Finite Element Validation and Quantitative Analysis of Sensor Interface Force Field Reconstruction
2.3. PVDF Piezoelectric Film Sensitive Element Group Based on Surface Domain Segmentation and Its Three-Dimensional Force Measurement Principle
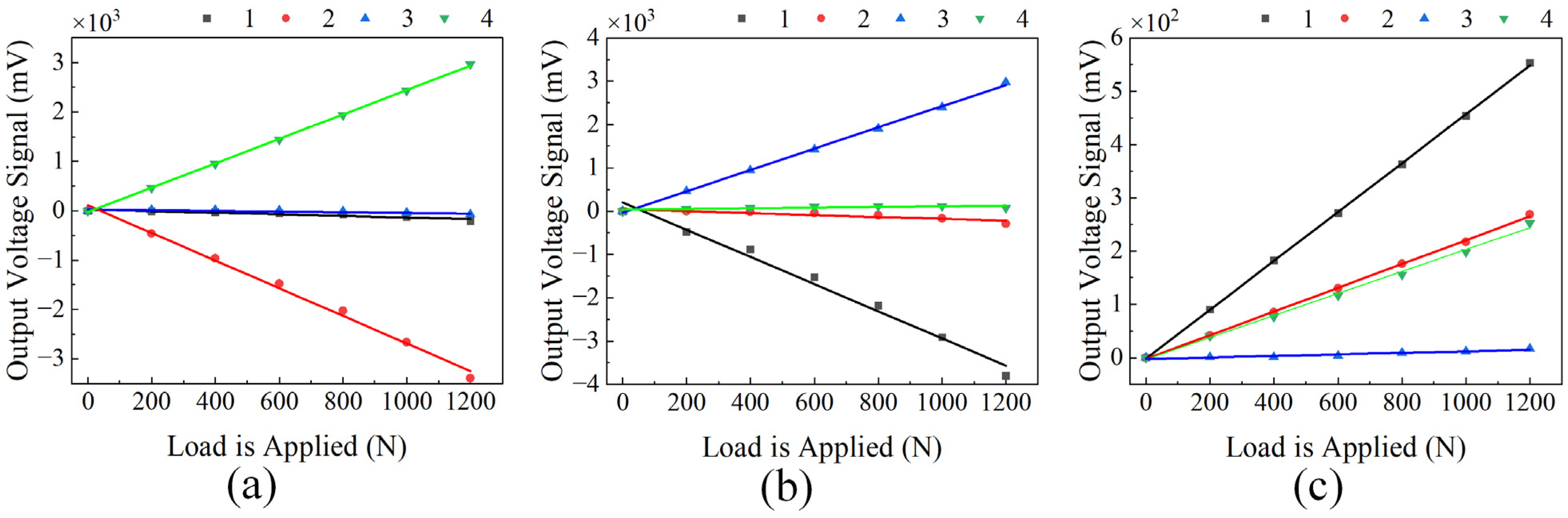
2.4. A Collaborative Sensor Design Method Based on Pre-Stressed Assembly Structure and Sensitive Element Group Signal Extraction
3. Calibration and Cutting Tests of the PVDF Piezoelectric Film Force Sensor
3.1. Establishing the Calibration System for the PVDF Piezoelectric Film Force Sensor
3.2. Dynamic Calibration Test of the PVDF Piezoelectric Film Force Sensor
3.3. Cutting Application Validation of the PVDF Piezoelectric Film Force Sensor
4. Conclusions
- (1)
- Based on the structural design of the uniform-load double-bossed elastic force-transmitting diaphragm, the contact interface force field of the PVDF piezoelectric film has been reconstructed and optimized, thereby enhancing the consistency and reliability of the sensor’s measurements.
- (2)
- Based on the load-bearing surface domain segmentation technique, a PVDF piezoelectric film sensitive element group was constructed. Three-dimensional force measurement was achieved through the synergistic design of implementing a pre-stressed assembly structure and extracting signals from the sensitive element group.
- (3)
- Quasi-static calibration test results show that the triaxial charge sensitivities of the force sensor are 52.63 pC/N, 55.96 pC/N, and 9.02 pC/N, respectively, with a linearity better than 4.6%. Dynamic calibration test results reveal that the natural frequency of the force measurement module is 4675.5 Hz.
- (4)
- Dynamic cutting tests were conducted, which verified the sensor’s capability to capture dynamic triaxial cutting forces.
Author Contributions
Funding
Data Availability Statement
Conflicts of Interest
References
- Zhang, P.F.; Hong, D.B.; Totis, G.; Scalzo, F.; Yin, Z.B.; Shu, L.M.; Sugita, N. Systematic review of Cutting Force Measuring Systems in machining. Int. J. Mach. Tool. Manuf. 2025, 210, 104308. [Google Scholar] [CrossRef]
- Huang, J.S.; Chen, G.J.; Wei, H.; Chen, Z.; Lv, Y.X. Sensor-based intelligent tool online monitoring technology: Applications and progress. Meas. Sci. Technol. 2024, 35, 112001. [Google Scholar] [CrossRef]
- Bleicher, F.; Biermann, D.; Drossel, W.G.; Moehring, H.C.; Altintas, Y. Sensor and actuator integrated tooling systems. CIRP Ann. 2023, 72, 673–696. [Google Scholar] [CrossRef]
- Yang, Y.; Zhao, M.R.; Huang, Y.G.; Zhang, H.; Guo, N.; Zheng, Y.L. Micro-force sensing techniques and traceable reference forces: A review. Meas. Sci. Technol. 2022, 33, 114010. [Google Scholar] [CrossRef]
- Sekhar, M.C.; Veena, E.; Kumar, N.S.; Naidu, K.C.B.; Mallikarjuna, A.; Basha, D.B. A Review on Piezoelectric Materials and Their Applications. Cryst. Res. Technol. 2023, 58, 2200130. [Google Scholar] [CrossRef]
- Li, Z.W.; An, L.; Lin, H.B.; Chen, Y.L. Development of an optimized smart tool holder using symmetrical structure for three-axis cutting force measurement in diamond cutting. Precis. Eng. 2025, 95, 505–514. [Google Scholar] [CrossRef]
- Li, X.Y.; Ren, Z.J.; Zhang, J.; Wang, J.; Shao, H.K.; Wu, J.L.; Hong, J. Research on Piezoelectric Sensor for Micro Friction Measurement Based on Torque Amplification. IEEE Sens. J. 2025, 25, 14929–14940. [Google Scholar] [CrossRef]
- Li, W.; Li, X.; Xiao, X.; Manshaii, F.; Luo, X.; Chen, G.; Li, W.; Xie, G.; Tai, H.; Jiang, Y.; et al. A Multimodal Sensory Textile Using Programmable Ferroelectric Nanocomposites. Adv. Mater. 2025, 37, e07169. [Google Scholar] [CrossRef] [PubMed]
- Li, W.; Xie, G.; Huo, X.; Que, L.; Tai, H.; Jiang, Y.; Su, Y. Piezoelectric composites for gas sensing: Evolution of sensing and transduction designs. J. Mater. Chem. C 2025, 13, 13582–13606. [Google Scholar] [CrossRef]
- Chen, C.; Ren, C.; Yang, S.; Li, W.; Xie, G.; Yuan, H.; Yang, J.; Su, Y. Voice-driven self-powered ethanol sensor for speech recognition and drunk driving detection. Sens. Actuators B Chem. 2026, 447, 138869. [Google Scholar] [CrossRef]
- Luo, X.; Liu, B.; Li, W.; Li, B.; Yuan, H.; Su, Y. Triple-enhanced sensory textiles for self-powered infrared detection. Nano Energy 2025, 145, 111438. [Google Scholar] [CrossRef]
- Li, W.; Zhao, X.; Xie, G.; Luo, X.; Cheng, X.; Su, Y. Programmable high-performance ternary piezoelectric nanogenerators by synergizing reinforcement effect and percolation effect. Mater. Today Chem. 2025, 48, 102955. [Google Scholar] [CrossRef]
- Roh, Y.; Varadan, V.V.; Varadan, V.K. Characterization of all the elastic, dielectric, and piezoelectric constants of uniaxially oriented poled PVDF films. IEEE Trans. Ultrason. Ferroelectr. Freq. Control 2002, 49, 836–847. [Google Scholar] [CrossRef]
- Yuan, X.; Yan, A.; Lai, Z.; Liu, Z.; Yu, Z.; Li, Z.; Cao, Y.; Dong, S. A poling-free PVDF nanocomposite via mechanically directional stress field for self-powered pressure sensor application. Nano Energy 2022, 98, 107340. [Google Scholar] [CrossRef]
- Yu, Y.; Li, J.; Xie, Z.; Gong, X.; Gao, G.; Wang, J.; Li, J. Characterizing piezoelectric properties of PVDF film under extreme loadings. Smart Mater. Struct. 2024, 33, 015026. [Google Scholar] [CrossRef]
- Zhang, Y.; Di, C.; Peng, P.; Li, D.; Si, X.; Ji, B. Research on somatosensory shock wave pressure measurement method based on PVDF film. Thin Wall Struct. 2024, 196, 111520. [Google Scholar] [CrossRef]
- Suprapto; Ting, Y.; Gunawan, H.; Yazid, E.; Nugraha, A.S.; Azhari, B.; Ramadiansyah, M.L.; Hikmawan, M.F.; Jubaidah. Fabrication and characterization of PZT/PVDF composite films for force sensor applications. Polym. Int. 2024, 73, 727–747. [Google Scholar] [CrossRef]
- Dai, J.; Xie, G.; Huo, X.; Li, J.; Deng, S.; Su, Y. Implantable and Biodegradable Smart Textiles for Continuous Limb and Gastrointestinal Motility Monitoring. Small 2025, 21, 2407773. [Google Scholar] [CrossRef] [PubMed]
- Li, J.; Xie, G.; Dai, L.; Yang, M.; Su, Y. Rapid and Highly Selective Dopamine Sensing with CuInSe2-Modified Nanocomposite. J. Compos. Sci. 2025, 9, 123. [Google Scholar] [CrossRef]
- Dai, J.; Li, H.; Xie, G.; Que, L.; Yuan, H.; Su, Y. Self-Supported Composite Textiles for Ultrasensitive Physiological Monitoring. ACS Appl. Electron. Mater. 2025, 7, 7321–7329. [Google Scholar] [CrossRef]
- Dai, J.; Li, H.; Que, L.; Xie, G.; Su, Y. Wide-range human physiological signal acquisition with carbonized composite nanofibers. Nanoscale 2025, 17, 17345–17354. [Google Scholar] [CrossRef] [PubMed]
- Vinh, N.; Melkote, S.; Deshamudre, A.; Khanna, M.; Walker, D. PVDF sensor based monitoring of single-point cutting. J. Manuf. Processes. 2016, 24, 328–337. [Google Scholar] [CrossRef]
- Nguyen, V.; Malchodi, T.; Dinar, M.; Melkote, S.N.; Mishra, A.; Rajagopalan, S. An IoT Architecture for Automated Machining Process Control: A Case Study of Tool Life Enhancement in Turning Operations. Smart Sustain. Manuf. Syst. 2019, 3, 14–26. [Google Scholar] [CrossRef]
- Liu, D.; Hu, Y.; Zhang, D.; Luo, H. Milling force monitoring with thin-film sensors integrated into fixtures. Int. J. Adv. Manuf. Tech. 2019, 103, 1519–1527. [Google Scholar] [CrossRef]
- Li, Y.J.; Wang, G.C.; Cui, H.Y.; Wang, X.Y. Optimization on PVDF Film Force Sensor for Steel Ball Forging Fault Diagnosis. In Proceedings of the 2018 IEEE International Conference of Intelligent Robotic and Control Engineering (IRCE), Lanzhou, China, 24–27 August 2018; pp. 178–182. [Google Scholar] [CrossRef]
- Li, Y.J.; Wang, G.C.; Cui, H.Y.; Cao, S.K.; Wang, X.Y. Dynamic characteristics and optimization research on PVDF piezoelectric film force sensor for steel ball cold heading machine. ISA Trans. 2019, 94, 265–275. [Google Scholar] [CrossRef]
- Luo, M.; Luo, H.; Axinte, D.; Liu, D.; Mei, J.; Liao, Z. A wireless instrumented milling cutter system with embedded PVDF sensors. Mech. Syst. Signal Process. 2018, 110, 556–568. [Google Scholar] [CrossRef]
- Luo, M.; Chong, Z.; Liu, D. Cutting Forces Measurement for Milling Process by Using Working Tables with Integrated PVDF Thin-Film Sensors. Sensors 2018, 18, 4031. [Google Scholar] [CrossRef]
- Wang, G.C.; Zhao, P.; Li, Y.J.; Yang, Z.K.; Chen, S. Design and experiment of PVDF piezoelectric film 3-D heavy load force sensor. J. Electron. Meas. Instrum. 2022, 36, 11–19. [Google Scholar] [CrossRef]
- Wang, G.C.; Zhou, J.S.; Xu, P.; Li, Y.J. Research on polyvinylidene fluoride (PVDF) piezoelectric film three-dimensional force sensor for metal material plastic cold heading forming processing. Rev. Sci. Instrum. 2025, 96, 083902. [Google Scholar] [CrossRef] [PubMed]
- Totis, G.; Bordon, A.; Scalzo, F.; Sortino, M. Bridging Cost and Performance in Cutting Force Measurement: A PVDF-Based Universal Plate Dynamometer. Sensors 2025, 25, 6645. [Google Scholar] [CrossRef] [PubMed]
- Yu, P.; Liu, W.; Gu, C.; Cheng, X.; Fu, X. Flexible Piezoelectric Tactile Sensor Array for Dynamic Three-Axis Force Measurement. Sensors 2016, 16, 819. [Google Scholar] [CrossRef] [PubMed]
- Ting, Y.; Chen, H.Y.; Chen, J.H.; Suprapto; Yu, C.H. Design and performance evaluation of a multi-axis thin-film sensor for milling process measurement. Sens. Actuators A Phys. 2021, 332, 113147. [Google Scholar] [CrossRef]















| Material | Film Thickness (μm) | Polarization Orientation | Piezoelectric Strain Constant (pC/N) | Relative Permittivity |
|---|---|---|---|---|
| PVDF | 110 | d33 | d33 = 33 | 12 |
| Name | Materials | Density (kg/m3) | Young’s Modulus (GPa) | Poisson’s Ratio |
|---|---|---|---|---|
| Housing | 17-4ph | 7750 | 196 | 0.27 |
| Insulating layer | PI | 1430 | 4.1 | 0.2 |
| Piezoelectric film | PVDF | 1780 | 2.96 | 0.35 |
| Evaluation Indicator | Circular Flat Diaphragm | Uniform-Load Diaphragm |
|---|---|---|
| Maximum equivalent stress of PVDF | 9.236 × 106 Pa | 2.7509 × 106 Pa |
| Minimum equivalent stress of PVDF | 1.6568 × 105 Pa | 2.2328 × 106 Pa |
| Average equivalent stress of PVDF | 1.128 × 106 Pa | 2.4317 × 106 Pa |
| Stress concentration factor of PVDF | 8.19 | 1.13 |
| Maximum deformation of housing | 2.7275 × 10−4 mm | 9.185 × 10−5 mm |
| Dimensionless displacement ratio | 1.36 × 10−4 | 4.59 × 10−5 |
| Force Component | Charge Sensitivity (pC/N) | Linearity | Cross-Interference Error | ||
|---|---|---|---|---|---|
| Fx | Fy | Fz | |||
| Fx | 52.63 | 2.84% | - | 1.77% | 49.55% |
| Fy | 55.96 | 4.60% | 5.64% | - | 70.18% |
| Fz | 9.02 | 1.82% | 0.34% | 8.23% | - |
| Force Component | Cross-Interference Error | ||
|---|---|---|---|
| Fx | Fy | Fz | |
| Fx | - | 1.66% | 17.49% |
| Fy | 0.01% | - | 28.69% |
| Fz | 0.74% | 0.77% | - |
| Test No. | Cutting Speed (m/min) | Feed Rate (mm/r) | Cutting Depth (mm) |
|---|---|---|---|
| 1 | 73 | 0.1 | 0.6 |
| 2 | 73 | 0.14 | 0.8 |
| 3 | 73 | 0.18 | 1.0 |
| 4 | 73 | 0.22 | 1.2 |
| 5 | 116 | 0.1 | 0.8 |
| 6 | 183 | 0.22 | 0.8 |
Disclaimer/Publisher’s Note: The statements, opinions and data contained in all publications are solely those of the individual author(s) and contributor(s) and not of MDPI and/or the editor(s). MDPI and/or the editor(s) disclaim responsibility for any injury to people or property resulting from any ideas, methods, instructions or products referred to in the content. |
© 2026 by the authors. Licensee MDPI, Basel, Switzerland. This article is an open access article distributed under the terms and conditions of the Creative Commons Attribution (CC BY) license.
Share and Cite
Yan, K.; Wu, W.; Wu, X.; Cheng, Y.; Liu, L.; Zhao, Y.; Zhang, Y.; Liu, P.; Wang, Z. Design and Study of a PVDF Piezoelectric Film Force Sensor Based on Interface Force Field Reconstruction and Surface Domain Segmentation. Micromachines 2026, 17, 262. https://doi.org/10.3390/mi17020262
Yan K, Wu W, Wu X, Cheng Y, Liu L, Zhao Y, Zhang Y, Liu P, Wang Z. Design and Study of a PVDF Piezoelectric Film Force Sensor Based on Interface Force Field Reconstruction and Surface Domain Segmentation. Micromachines. 2026; 17(2):262. https://doi.org/10.3390/mi17020262
Chicago/Turabian StyleYan, Kaiqiang, Wenge Wu, Xinyi Wu, Yunping Cheng, Lijuan Liu, Yongjuan Zhao, Yicheng Zhang, Pengcheng Liu, and Zhi Wang. 2026. "Design and Study of a PVDF Piezoelectric Film Force Sensor Based on Interface Force Field Reconstruction and Surface Domain Segmentation" Micromachines 17, no. 2: 262. https://doi.org/10.3390/mi17020262
APA StyleYan, K., Wu, W., Wu, X., Cheng, Y., Liu, L., Zhao, Y., Zhang, Y., Liu, P., & Wang, Z. (2026). Design and Study of a PVDF Piezoelectric Film Force Sensor Based on Interface Force Field Reconstruction and Surface Domain Segmentation. Micromachines, 17(2), 262. https://doi.org/10.3390/mi17020262

