Smooth Critical Dimension Compensation Across Photomask Transmittance Discontinuities Enabled by Selective and Direct Laser Patterning Inside Mask
Abstract
1. Introduction
2. Materials and Methods
2.1. Sample Preparation
2.2. Selective Laser Patterning
2.3. Optical Characterizations
2.4. Photolithography Process
- (1)
- Positive photoresist (PR, YPP-1700, YoungChang Chemical Co., Sungju, Korea) coating with thickness of 1.5 μm with 1500 rpm for 30 s
- (2)
- Soft bake at 90 °C for 60 s
- (3)
- Mask alignment and exposure to ultra-violet light source with 50 mJ for 7.3 s
- (4)
- Develop PR with tetramethylammonium hydroxide (TMAH, Sigma-Aldrich, MI, USA) of 2.38% for 60 s
- (5)
- Hard bake at 90 °C for 60 s
- (6)
- Based on the developed PR pattern as a mask, etching the exposed chromium absorber layer
- (7)
- PR strip and cleaning
3. Results and Discussion
3.1. Laser-Induced Void Pattern Characteristics
3.2. Photomask Transmittance Control
3.2.1. Laser Patterning Density
3.2.2. Arrangement of Pattern Layers
3.2.3. Stack of Pattern Layers
3.3. Critical Dimension Compensation
4. Conclusions
Supplementary Materials
Author Contributions
Funding
Institutional Review Board Statement
Informed Consent Statement
Data Availability Statement
Conflicts of Interest
References
- Richards, C.A.; Ocier, C.R.; Xie, D.; Gao, H.; Robertson, T.; Goddard, L.L.; Christiansen, R.E.; Cahill, D.G.; Braun, P. Hybrid achromatic microlenses with high numerical apertures and focusing efficiencies across the visible. Nat. Commun. 2023, 14, 3119. [Google Scholar] [CrossRef] [PubMed]
- Mack, C.A. The new, new limits of optical lithography. In Proceedings of the Emerging lithographic technologies VIII 2004, Santa Clara, CA, USA, 24–26 February 2004; SPIE: Bellingham, WA, USA; Volume 5374, pp. 1–8. [Google Scholar] [CrossRef]
- Zhang, Y.; Yu, H.; Wang, L.; Wu, X.; He, J.; Huang, W.; Ouyang, C.; Chen, D.; Keshta, B.E. Advanced lithography materials: From fundamentals to applications. Adv. Colloid Interface Sci. 2024, 329, 103197. [Google Scholar] [CrossRef]
- Ha, C.W.; Son, Y. Development of the multi-directional ablation process using the femtosecond laser to create a pattern on the lateral side of a 3D microstructure. Sci. Rep. 2023, 13, 4781. [Google Scholar] [CrossRef]
- Kong, X.; Fan, X.; Wang, Y.; Luo, Y.; Chen, Y.; Wu, T.; Chen, Z.; Lin, Y.; Wang, S. Recent advances of photolithography patterning of quantum dots for micro-display applications. Nano Mater. Sci. 2025, 7, 49–64. [Google Scholar] [CrossRef]
- Koh, K.C.; Li, Y.; Ou, X. Accessible large-area, uniform dose photolithography using a moving light source. J. Micromech. Microeng. 2022, 32, 027001. [Google Scholar] [CrossRef]
- Luo, H.; Liu, Y.; Zhu, J. Illumination field uniformity correction by novel finger array structure. Photonics 2024, 11, 661. [Google Scholar] [CrossRef]
- Shiba, S.F.; Tan, J.Y.; Kim, J. Multidirectional UV-LED lithography using an array of high-intensity UV-LEDs and tilt-rotational sample holder for 3-D microfabrication. Micro Nano Syst. Lett. 2020, 8, 5. [Google Scholar] [CrossRef]
- Chen, R.; Wang, X.; Li, X.; Wang, H.; He, M.; Yang, L.; Guo, Q.; Zhang, S.; Zhao, Y.; Li, Y.; et al. A comprehensive nano-interpenetrating semiconducting photoresist toward all-photolithography organic electronics. Sci. Adv. 2021, 7, eabg0659. [Google Scholar] [CrossRef] [PubMed]
- Xue, G.; Wang, L.; Zhou, Q.; Wang, Z. Development of dielectric-film-based polarization modulation scheme for patterning highly uniform 2D array structures with periodic tunability. Opt. Laser Technol. 2023, 167, 107627. [Google Scholar] [CrossRef]
- Zhang, R.; Zhao, X.; Li, J.; Zhou, D.; Guo, H.; Li, Z.-Y.; Li, F. Programmable photoacoustic patterning of microparticles in air. Nat. Commun. 2024, 15, 3250. [Google Scholar] [CrossRef]
- Khonina, S.N.; Kazanskiy, N.L.; Butt, M.A. Grayscale lithography and a brief introduction to other widely used lithographic methods: A state-of-the-art review. Micromachines 2024, 15, 1321. [Google Scholar] [CrossRef]
- Houbertz, R.; Declerck, P.; Passinger, S.; Ovsianikov, A.; Serbin, J.; Chichkov, B.N. Investigations on the generation of photonic crystals using two-photon polymerization of inorganic–organic hybrid polymers with ultra-short laser pulses. Phys. Status Solidi A 2007, 204, 3662–3675. [Google Scholar] [CrossRef]
- Grushina, A. Direct-write grayscale lithography. Adv. Opt. Technol. 2019, 8, 163–169. [Google Scholar] [CrossRef]
- Cunha, J.; Garcia, I.S.; Santos, J.D.; Fernandes, J.; González-Losada, P.; Silva, C.; Gaspar, J.; Cortez, A.; Sampaio, M.; Aguiam, D.E. Assessing tolerances in direct write laser grayscale lithography and reactive ion etching pattern transfer for fabrication of 2.5D Si master molds. Micro Nano Eng. 2023, 19, 100182. [Google Scholar] [CrossRef]
- Erjawetz, J.; Collé, D.; Ekindorf, G.; Heyl, P.; Ritter, D.; Reddy, A.; Schift, H. Bend the curve—Shape optimization in laser grayscale direct write lithography using a single figure of merit. Micro Nano Eng. 2022, 15, 100137. [Google Scholar] [CrossRef]
- Gonzalez-Hernandez, D.; Varapnickas, S.; Bertoncini, A.; Liberale, C.; Malinauskas, M. Micro-optics 3D printed via multi-photon laser lithography. Adv. Opt. Mater. 2023, 11, 2201701. [Google Scholar] [CrossRef]
- Lu, C.; Lipson, R.H. Interference lithography: A powerful tool for fabricating periodic structures. Laser Photon. Rev. 2010, 4, 568–580. [Google Scholar] [CrossRef]
- Gamaly, E.G.; Rode, A.V.; Luther-Davies, B.; Tikhonchuk, V.T. Laser–matter interaction in the bulk of a transparent solid: Confined microexplosion and void formation. Phys. Rev. B 2006, 73, 214101. [Google Scholar] [CrossRef]
- Zhang, B.; Yan, W.; Chen, F. Recent advances in femtosecond laser direct writing of 3D periodic photonic structures in transparent materials. Adv. Photonics 2025, 7, 034002. [Google Scholar] [CrossRef]
- Tsai, W.-J.; Gu, C.-J.; Cheng, C.-W.; Horng, J.-B. Internal modification for cutting transparent glass using femtosecond Bessel beams. Opt. Eng. 2013, 53, 051503. [Google Scholar] [CrossRef]
- Gamaly, E.G.; Rode, A.V.; Luther-Davies, B.; Tikhonchuk, V.T. Femtosecond laser induced phenomena in transparent solid materials: Fundamentals and applications. Prog. Mater. Sci. 2016, 76, 154–228. [Google Scholar] [CrossRef]
- Yao, H.; Pugliese, D.; Lancry, M.; Dai, Y. Ultrafast laser direct writing nanogratings and their engineering in transparent materials. Laser Photon. Rev. 2024, 18, 2300891. [Google Scholar] [CrossRef]
- Nguyen, V.H.; Rehman, Z.U.; Janulewicz, K.A.; Suk, H. Dynamics of laser-induced phase transformation in monocrystalline sapphire. Results Phys. 2022, 40, 105848. [Google Scholar] [CrossRef]
- Liu, H.; Lin, W.; Hong, M. Hybrid laser precision engineering of transparent hard materials: Challenges, solutions and applications. Light Sci. Appl. 2021, 10, 162. [Google Scholar] [CrossRef]
- Wang, Z.; Lin, P.; Lee, C. Preliminary study of photomask pattern inspection by beam-shaped knife-edge interferometry. Precis. Eng. 2022, 77, 104–109. [Google Scholar] [CrossRef]
- Song, J.; Kim, C.-H.; Lee, G.-W. A study on the resolution and depth of focus of ArF immersion photolithography. Micromachines 2022, 13, 1971. [Google Scholar] [CrossRef]
- Poonawala, A.; Milanfar, P. A pixel-based regularization approach to inverse lithography. Microelectron. Eng. 2007, 84, 2837–2852. [Google Scholar] [CrossRef]
- Pathak, P.; Yan, Q.; Schmoeller, T.; Croffie, E.; Isoyan, A.; Melvin, L.S., III. Modelling strategies for the incorporation and correction of optical effects in EUVL. Microelectron. Eng. 2009, 86, 500–504. [Google Scholar] [CrossRef]
- Mack, C.A.; Lorusso, G.F. Determining the ultimate resolution of scanning electron microscope-based unbiased roughness measurements. Part I: Simulating noise. J. Vac. Sci. Technol. B 2019, 37, 062903. [Google Scholar] [CrossRef]
- Kozawa, T.; Tagawa, S. Resolution blur of latent acid image and acid generation efficiency of chemically amplified resists for electron beam lithography. J. Appl. Phys. 2006, 99, 054509. [Google Scholar] [CrossRef]





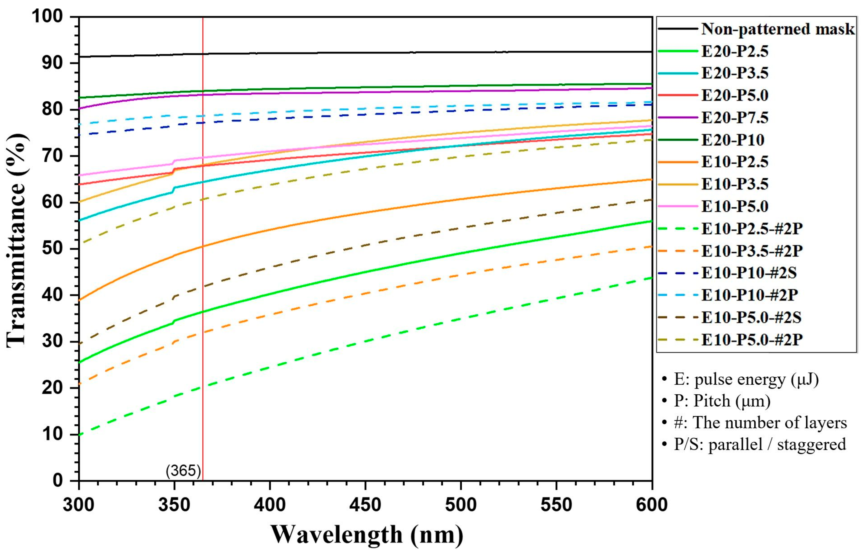
| Experimental Parameters | Pulse Energy (μJ) | Layer # | Pattern Arrangement | Pitch (μm) | Transmittance (%, at 365 nm) | Application of Laser Patterning Condition for Lithography | |
|---|---|---|---|---|---|---|---|
| 1 | Pitch | 20 | 1 | - | 2.5 | 36.5 | |
| 3.5 | 64.4 | ||||||
| 5.0 | 68.1 | ||||||
| 7.5 | 83.2 | ||||||
| 10.0 | 84.0 | ||||||
| 2 | Arrangement of pattern layers | 10 | 2 | Parallel | 5 | 60.7 | ○ |
| Staggered | 5 | 41.8 | |||||
| Parallel | 10 | 79.6 | ○ | ||||
| Staggered | 10 | 77.4 | |||||
| 3 | Stack of pattern layers | 10 | 1 | Parallel | 2.5 | 50.5 | ○ |
| 2 | 20.2 | ||||||
| 1 | 3.5 | 67.8 | |||||
| 2 | 32.0 | ||||||
| 1 | 5.0 | 69.6 | ○ | ||||
| 2 | 60.7 | ||||||
| Transmittance (%) | CD/Space (μm) | Location (μm) | CD (μm) | ||
|---|---|---|---|---|---|
| 2/2 | 2/4 | 2/6 | |||
| 50 | 2.209 | 2.218 | 2.221 | −400 | 2.201 |
| 60 | 2.179 | 2.182 | 2.189 | −200 | 2.191 |
| 70 | 2.147 | 2.157 | 2.172 | 0 | 2.171 |
| 80 | 2.094 | 2.112 | 2.143 | 200 | 2.140 |
| 92 | 2.088 | 2.106 | 2.140 | 400 | 2.098 |
Disclaimer/Publisher’s Note: The statements, opinions and data contained in all publications are solely those of the individual author(s) and contributor(s) and not of MDPI and/or the editor(s). MDPI and/or the editor(s) disclaim responsibility for any injury to people or property resulting from any ideas, methods, instructions or products referred to in the content. |
© 2026 by the authors. Licensee MDPI, Basel, Switzerland. This article is an open access article distributed under the terms and conditions of the Creative Commons Attribution (CC BY) license.
Share and Cite
Park, D.; Yeom, G.; Jeong, S.; Park, J. Smooth Critical Dimension Compensation Across Photomask Transmittance Discontinuities Enabled by Selective and Direct Laser Patterning Inside Mask. Micromachines 2026, 17, 95. https://doi.org/10.3390/mi17010095
Park D, Yeom G, Jeong S, Park J. Smooth Critical Dimension Compensation Across Photomask Transmittance Discontinuities Enabled by Selective and Direct Laser Patterning Inside Mask. Micromachines. 2026; 17(1):95. https://doi.org/10.3390/mi17010095
Chicago/Turabian StylePark, Dabin, Geumsu Yeom, Sungho Jeong, and Junsu Park. 2026. "Smooth Critical Dimension Compensation Across Photomask Transmittance Discontinuities Enabled by Selective and Direct Laser Patterning Inside Mask" Micromachines 17, no. 1: 95. https://doi.org/10.3390/mi17010095
APA StylePark, D., Yeom, G., Jeong, S., & Park, J. (2026). Smooth Critical Dimension Compensation Across Photomask Transmittance Discontinuities Enabled by Selective and Direct Laser Patterning Inside Mask. Micromachines, 17(1), 95. https://doi.org/10.3390/mi17010095

