A Surface-Mount Substrate-Integrated Waveguide Bandpass Filter Based on MEMS Process and PCB Artwork for Robotic Radar Applications
Abstract
1. Introduction
2. Design and Simulation
2.1. Filter Configuration
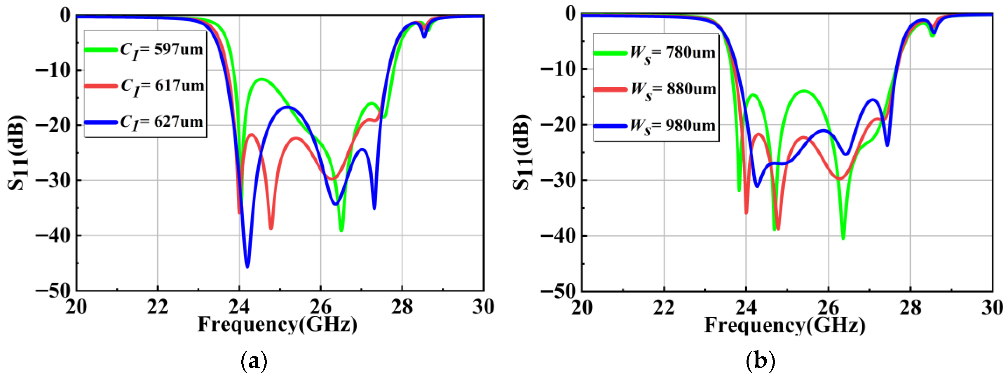
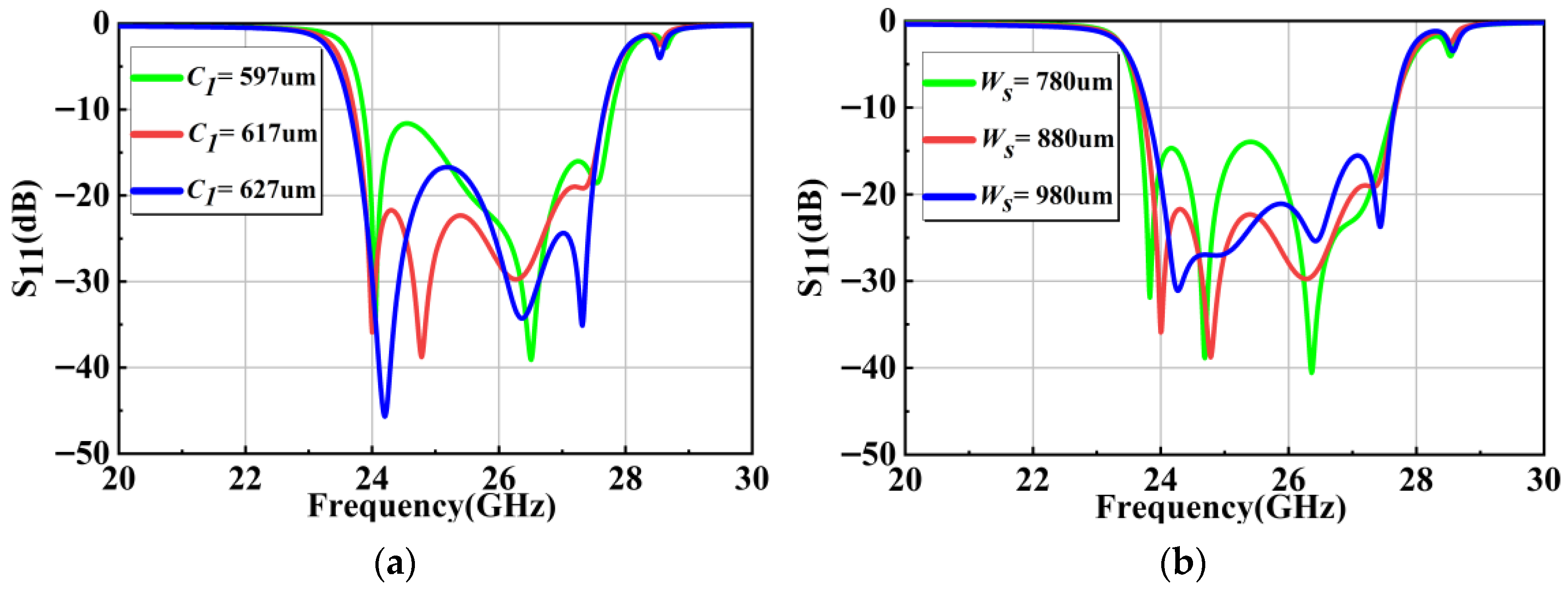
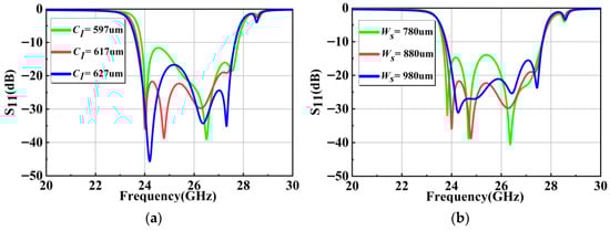
2.2. Filter Design, Tuning, and Analysis
3. Results and Discussion
3.1. BPF Fabrication and Measurement
3.2. PCB Integration
4. Conclusions
Author Contributions
Funding
Data Availability Statement
Conflicts of Interest
References
- Iqbal, A.; Tiang, J.J.; Wong, S.K.; Alibakhshikenari, M.; Falcone, F.; Limiti, E. Miniaturization Trends in Substrate Integrated Waveguide (SIW) Filters: A Review. IEEE Access 2020, 8, 223287–223305. [Google Scholar] [CrossRef]
- Chen, X.-P.; Wu, K.; Drolet, D. Substrate Integrated Waveguide Filter with Improved Stopband Performance for Satellite Ground Terminal. IEEE Trans. Microw. Theory Tech. 2009, 57, 674–683. [Google Scholar] [CrossRef]
- Martin, T.; Ghiotto, A.; Vuong, T.-P.; Lotz, F. Self-Temperature-Compensated Air-Filled Substrate-Integrated Waveguide Cavities and Filters. IEEE Trans. Microw. Theory Tech. 2018, 66, 3611–3621. [Google Scholar] [CrossRef]
- Massoni, E.; Delmonte, N.; Macchiarella, G.; Perregrini, L.; Bozzi, M. Half-mode SIW Filters with Resonant Couplings Implementing Transmission Zeros. In Proceedings of the 2018 IEEE/MTT-S International Microwave Symposium—IMS, Philadelphia, PA, USA, 10–15 June 2018; pp. 701–703. [Google Scholar] [CrossRef]
- Parameswaran, A.; Chandelkar, A.; Kumar, A. Compact Wide Stop Band Quarter mode SIW Bandpass Filter. In Proceedings of the 2024 IEEE Microwaves, Antennas, and Propagation Conference (MAPCON), Hyderabad, India, 9–13 December 2024; pp. 1–4. [Google Scholar] [CrossRef]
- Liu, P.; Li, Z.; Qin, M.; Yin, J.; Qiu, X. Two Compact Bandpass Filters with Controllable Band Based on Eighth-Mode Substrate Integrated Waveguide. IEEE Trans. Circuits Syst. II Express Briefs 2024, 71, 932–936. [Google Scholar] [CrossRef]
- Chen, P.; Sun, C.; Yang, K. Miniaturized Sixteenth-mode Substrate Integrated Waveguide Bandpass Filter with Slot Line Array. In Proceedings of the 2020 IEEE 20th International Conference on Communication Technology (ICCT), Nanning, China, 28–31 October 2020; pp. 1049–1053. [Google Scholar] [CrossRef]
- Jones, T.R.; Daneshmand, M. Miniaturized Folded Ridged Half-Mode and Quarter-Mode Substrate Integrated Waveguides for Filter Design. IEEE Trans. Microw. Theory Tech. 2019, 67, 3414–3426. [Google Scholar] [CrossRef]
- López, D.; Coves, Á.; Bronchalo, E.; Torregrosa, G.; Bozzi, M. Practical Design of a Band-Pass Filter using EBG SIW Technology. In Proceedings of the 2018 48th European Microwave Conference (EuMC), Madrid, Spain, 23–27 September 2018; pp. 77–80. [Google Scholar] [CrossRef]
- Shen, W.; Yin, W.-Y.; Sun, X.-W. Compact Substrate Integrated Waveguide (SIW) Filter with Defected Ground Structure. IEEE Microw. Wirel. Compon. Lett. 2011, 21, 83–85. [Google Scholar] [CrossRef]
- Wu, L.-S.; Zhou, X.-L.; Wei, Q.-F.; Yin, W.-Y. An Extended Doublet Substrate Integrated Waveguide (SIW) Bandpass Filter with a Complementary Split Ring Resonator (CSRR). IEEE Microw. Wirel. Compon. Lett. 2009, 19, 777–779. [Google Scholar] [CrossRef]
- Huang, X.-L.; Zhou, L.; Völkel, M.; Hagelauer, A.; Mao, J.-F.; Weigel, R. Design of a Novel Quarter-Mode Substrate-Integrated Waveguide Filter with Multiple Transmission Zeros and Higher Mode Suppressions. IEEE Trans. Microw. Theory Tech. 2018, 66, 5573–5584. [Google Scholar] [CrossRef]
- Lee, B.; Lee, T.-H.; Lee, K.; Uhm, M.-S.; Lee, J. K-Band Substrate-Integrated Waveguide Resonator Filter with Suppressed Higher-Order Mode. IEEE Microw. Wirel. Compon. Lett. 2015, 25, 367–369. [Google Scholar] [CrossRef]
- Zhu, Y.; Dong, Y. Stripline Resonator Loaded Compact SIW Filters with Wide Suppression and Flexible Response. IEEE Microw. Wirel. Compon. Lett. 2020, 30, 465–468. [Google Scholar] [CrossRef]
- Zheng, Y.; Zhu, Y.; Wang, Z.; Dong, Y. Compact, Wide Stopband, Shielded Hybrid Filter Based on Quarter-Mode Substrate Integrated Waveguide and Microstrip Line Resonators. IEEE Microw. Wirel. Compon. Lett. 2021, 31, 245–248. [Google Scholar] [CrossRef]
- Xiao, S.; Li, M.; Qu, X.; Li, C.; Zhang, Z. Broadband external rejection miniaturized SIW filter based on C-shaped symmetric structure. In Proceedings of the 2022 International Applied Computational Electromagnetics Society Symposium (ACES-China), Xuzhou, China, 9–12 December 2022; pp. 1–3. [Google Scholar] [CrossRef]
- Chu, P.; Zhu, P.; Feng, J.; Guo, L.; Zhang, L.; Zhu, F.; Liu, L.; Luo, G.Q.; Wu, K. Substrate Integrated Waveguide Filter with Flexible Mixed Coupling. IEEE Trans. Microw. Theory Tech. 2023, 71, 4003–4011. [Google Scholar] [CrossRef]
- Zhang, H.; Kang, W.; Wu, W. Miniaturized Dual-Band SIW Filters Using E-Shaped Slotlines with Controllable Center Frequencies. IEEE Microw. Wirel. Compon. Lett. 2018, 28, 311–313. [Google Scholar] [CrossRef]
- Zhan, Y.; Wu, Y.; Fourn, E.; Besnier, P.; Ma, K. Synthesis and Implementation of Multiband SIW Bandpass Filters Based on In-Line Topology. IEEE Trans. Microw. Theory Tech. 2024, 72, 6619–6636. [Google Scholar] [CrossRef]
- Hong, J.-S. Microstrip Filters for RF/Microwave Applications, 2nd ed.; Wiley: Hoboken, NJ, USA, 2011. [Google Scholar]
- Gong, K.; Hong, W.; Zhang, Y.; Chen, P.; You, C.J. Substrate Integrated Waveguide Quasi-Elliptic Filters with Controllable Electric and Magnetic Mixed Coupling. IEEE Trans. Microw. Theory Tech. 2012, 60, 3071–3078. [Google Scholar] [CrossRef]
- Zhang, X.; Ou, W.; Ou, Y. Design and optimization of a planar folded substrate integrated waveguide bandpass filter exploiting aggressive space mapping. Int. J. RF Microw. Comput.-Aided Eng. 2019, 29, e21713. [Google Scholar] [CrossRef]
- Zheng, Y.; Zhu, Y.; Dong, Y. Compact Hybrid Bandpass Filter Using SIW and CSRRs with Wide Stopband Rejection. In Proceedings of the 2020 IEEE Asia-Pacific Microwave Conference (APMC), Hong Kong, 8–11 December 2020; pp. 767–769. [Google Scholar] [CrossRef]
- Lin, G.; Dong, Y.; Compact, A. Hybrid SIW Filter with Controllable Transmission Zeros and High Selectivity. IEEE Trans. Circuits Syst. II Express Briefs 2022, 69, 2051–2055. [Google Scholar] [CrossRef]










| Symbol | Symbol | ||
|---|---|---|---|
| 7400 | 535 | ||
| 3540 | 900 | ||
| 1775 | 1234 | ||
| 1725 | 75 | ||
| 66 | 790 | ||
| 200 | 615 |
Disclaimer/Publisher’s Note: The statements, opinions and data contained in all publications are solely those of the individual author(s) and contributor(s) and not of MDPI and/or the editor(s). MDPI and/or the editor(s) disclaim responsibility for any injury to people or property resulting from any ideas, methods, instructions or products referred to in the content. |
© 2026 by the authors. Licensee MDPI, Basel, Switzerland. This article is an open access article distributed under the terms and conditions of the Creative Commons Attribution (CC BY) license.
Share and Cite
Ding, Y.; Ding, J.; Yang, Z.; Fan, X.; Chen, W. A Surface-Mount Substrate-Integrated Waveguide Bandpass Filter Based on MEMS Process and PCB Artwork for Robotic Radar Applications. Micromachines 2026, 17, 72. https://doi.org/10.3390/mi17010072
Ding Y, Ding J, Yang Z, Fan X, Chen W. A Surface-Mount Substrate-Integrated Waveguide Bandpass Filter Based on MEMS Process and PCB Artwork for Robotic Radar Applications. Micromachines. 2026; 17(1):72. https://doi.org/10.3390/mi17010072
Chicago/Turabian StyleDing, Yan, Jian Ding, Zhe Yang, Xing Fan, and Wenyu Chen. 2026. "A Surface-Mount Substrate-Integrated Waveguide Bandpass Filter Based on MEMS Process and PCB Artwork for Robotic Radar Applications" Micromachines 17, no. 1: 72. https://doi.org/10.3390/mi17010072
APA StyleDing, Y., Ding, J., Yang, Z., Fan, X., & Chen, W. (2026). A Surface-Mount Substrate-Integrated Waveguide Bandpass Filter Based on MEMS Process and PCB Artwork for Robotic Radar Applications. Micromachines, 17(1), 72. https://doi.org/10.3390/mi17010072
