Influence Mechanism of Quantization Error on the Key Parameters of the Whole-Angle Hemisphere Resonator Gyroscope
Abstract
1. Introduction
2. Fundamental Principles of Measurement and Control and Analysis of Quantization Error
2.1. Measurement Principle of the WA-HRG
2.2. Design of Measurement and Control Systems and Sources of Quantization Error
2.3. Demodulation and Modulation Process of the WA-HRG
3. Modeling of Quantization Error
3.1. Fundamental Theory of Quantization Error
3.2. Standing Wave Azimuth and Angular Velocity Error
3.3. Major Axis Amplitude of the Ellipse Error
3.4. Phase Error
3.5. Driving Force Error
4. Platform Construction and Simulation Verification
4.1. Simulation Platform Construction
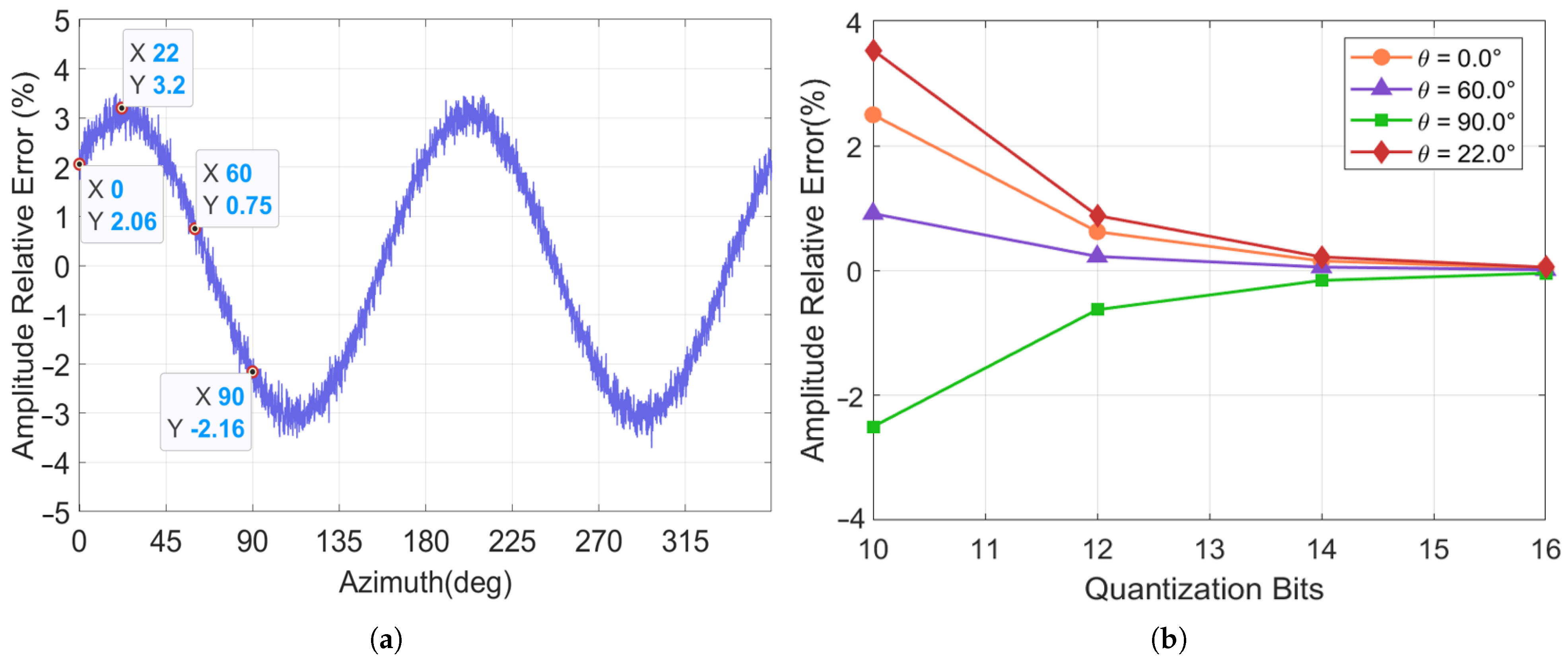
4.2. Simulation Verification of Angle-Related Errors
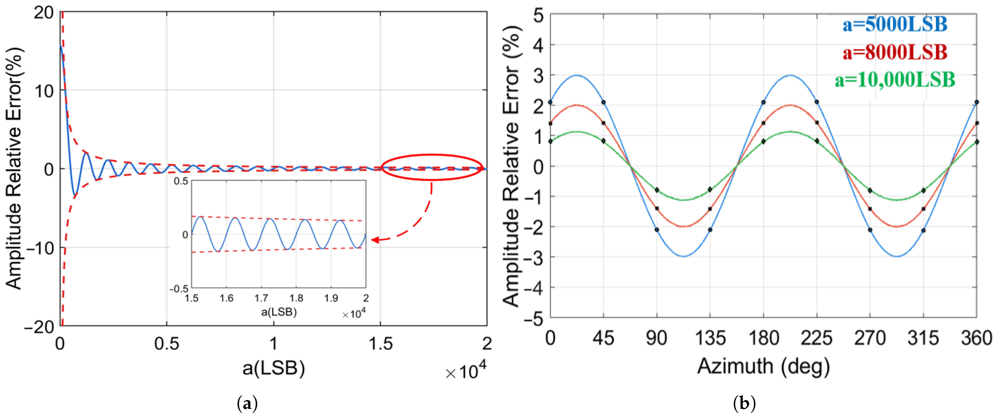
4.3. Simulation Verification of the Major Axis Amplitude Relative Error
4.4. Simulation Verification of the Phase Error
5. Conclusions
Author Contributions
Funding
Institutional Review Board Statement
Informed Consent Statement
Data Availability Statement
Conflicts of Interest
References
- Deleaux, B.; Lenoir, Y. The World Smallest, Most Accurate and Reliable Pure Inertial Navigator: ONYX™. In Proceedings of the 2018 DGON Inertial Sensors and Systems (ISS), Braunschweig, Germany, 11–12 September 2018. [Google Scholar]
- Foloppe, Y.; Lenoir, Y. HRG Crystal™ DUAL CORE: Rebooting the INS Revolution. In Proceedings of the 2019 DGON Inertial Sensors and Systems (ISS), Braunschweig, Germany, 10–11 September 2019. [Google Scholar]
- Xu, R.; Gao, Z.; Nan, F.; Zhang, Y. Single-Channel Control for Hemispherical Resonator Gyro Based on Time Division Multiplexing and Demultiplexing. IEEE Sens. J. 2021, 21, 21342–21348. [Google Scholar] [CrossRef]
- Delhaye, F.; Girault, J.-P. SpaceNaute®: HRG Technological Breakthrough for Advanced Space Launcher Inertial Reference System. In Proceedings of the 2018 25th Saint Petersburg International Conference on Integrated Navigation Systems (ICINS), St. Petersburg, Russia, 28–30 May 2018; pp. 1–5. [Google Scholar]
- Guo, K.; Wu, Y.; Zhang, Y.; Sun, J.; Xiao, D.; Wu, X. Damping Asymmetry Trimming Based on the Resistance Heat Dissipation for Coriolis Vibratory Gyroscope in Whole-Angle Mode. Micromachines 2020, 11, 945. [Google Scholar] [CrossRef] [PubMed]
- Zhao, W.; Yang, H.; Liu, F.; Su, Y.; Song, L. The Energy Compensation of the HRG Based on the Double-Frequency Parametric Excitation of the Discrete Electrode. Sensors 2020, 20, 3549. [Google Scholar] [CrossRef] [PubMed]
- Sun, J.; Yu, S.; Zhang, Y.; Li, Q.; Xi, X.; Lu, K.; Wu, X.; Xiao, D. 0.79 ppm Scale-Factor Nonlinearity Whole-Angle Microshell Gyroscope Realized by Real-Time Calibration of Capacitive Displacement Detection. Microsyst. Nanoeng. 2021, 7, 83. [Google Scholar] [CrossRef] [PubMed]
- Maslov, A.A.; Maslov, D.A.; Ninalalov, I.G.; Merkuryev, I.V. Hemispherical Resonator Gyros (An Overview of Publications). Gyroscopy Navig. 2023, 14, 1–13. [Google Scholar] [CrossRef]
- Delhaye, F. HRG by SAFRAN: The Game-Changing Technology. In Proceedings of the 2018 IEEE International Symposium on Inertial Sensors and Systems (INERTIAL), Moltrasio, Italy, 26–29 March 2018; pp. 1–4. [Google Scholar]
- Rozelle, D.M. The Hemispherical Resonator Gyro: From Wineglass to the Planets. In Advances in the Astronautical Sciences; American Astronautical Society: Savannah, GA, USA, 2009; Volume 134, pp. 1157–1178. [Google Scholar]
- Jeanroy, A.; Grosset, G.; Goudon, J.-C.; Delhaye, F. HRG by SAGEM: From Laboratory to Mass Production. In Proceedings of the 2016 IEEE International Symposium on Inertial Sensors and Systems (INERTIAL), Laguna Beach, CA, USA, 22–25 February 2016; pp. 1–4. [Google Scholar]
- Yu, Z.; Zeng, L.; Xing, C.; Shang, L.; Yan, X.; Li, J. Comparative Noise Analysis of Readout Circuit in Hemispherical Resonator Gyroscope. Micromachines 2025, 16, 802. [Google Scholar] [CrossRef]
- Yang, S.; Tang, M.; Chen, G.; Zhao, X.; Jia, C. Key Technologies of Hemispherical Resonant Gyro Inertial Navigation System. In Proceedings of the 2023 International Conference on Ocean Studies (ICOS), Vladivostok, Russia, 3–6 October 2023; pp. 120–124. [Google Scholar]
- Deng, K.; Pan, Y.; Jia, Y.; Li, J.; Tang, X.; Wu, W.; Yuan, J. Separation of Mass and Gap Errors of Hemispherical Resonator Gyroscopes by Varying Bias Voltage. Measurement 2024, 228, 114308. [Google Scholar] [CrossRef]
- Wang, Q.; Xie, W.; Xi, B.; Sun, Y.; Yi, G. Rate Integrating Hemispherical Resonator Gyroscope Detection Error Analysis and Compensation. IEEE Sens. J. 2023, 23, 7068–7076. [Google Scholar] [CrossRef]
- Wu, H.; Wei, Z.; Wang, N.; Yi, G.; Guan, Z.; Sun, Y. Calibration of Channel Error in Dual-Channel Synchronous Control Circuit for Rate Integrating Hemispherical Resonator Gyro. In Proceedings of the 2025 37th Chinese Control and Decision Conference (CCDC), Xi’an, China, 16–19 May 2025; pp. 3433–3439. [Google Scholar]
- Tang, X.; Zeng, L.; Deng, K.; Li, J.; Xiao, P.; Xia, T.; Pan, Y.; Luo, H. A Rate Hemispherical Resonator Gyroscope with Bias Stability of 0.0056°/h with Compensation of Phase Delay. Sens. Actuators A 2024, 375, 115494. [Google Scholar] [CrossRef]
- Zeng, L.; Shang, L.; Pan, Y.; Tang, X.; Xiao, P.; Li, J.; Wu, W.; Luo, H. 0.08 ppm Scale Factor Nonlinearity in Whole-Angle Hemispherical Resonator Gyroscopes Enabled by Rapid Detection Signal Nonlinearity Suppression. IEEE Electron Device Lett. 2025, 46, 2134–2137. [Google Scholar] [CrossRef]
- Wang, R.; Yi, G.; Xie, W.; Wang, C. High-Precision Identification and Compensation of Nonlinear Error in Hemispherical Resonator Gyro. Measurement 2024, 237, 114945. [Google Scholar] [CrossRef]
- Eichler, A.; Moser, J.; Chaste, J.; Zdrojek, M.; Wilson-Rae, I.; Bachtold, A. Nonlinear Damping in Mechanical Resonators Made from Carbon Nanotubes and Graphene. Nat. Nanotechnol. 2011, 6, 339–342. [Google Scholar] [CrossRef] [PubMed]
- Hu, Z.; Gallacher, B.J. Effects of Nonlinearity on the Angular Drift Error of an Electrostatic MEMS Rate Integrating Gyroscope. IEEE Sens. J. 2019, 19, 10271–10280. [Google Scholar] [CrossRef]
- Xia, X.; Jiang, W.J.; Yang, H.; Song, X.C.; Zhao, W.L. Noise identification of hemispherical resonant gyroscope circuit based on Allan varian. J. Chin. Inert. Technol. 2025, 33, 615–621. [Google Scholar]
- Zhang, T.; Fang, H.B.; Bu, J.J.; Lei, T. Research on Noise Characteristics of Hemispherical Resonator Gyro. Piezoelectrics Acoustooptics 2025, 47, 496–499. [Google Scholar]
- Li, Q.S.; Wang, P.; Xiao, D.B.; Wu, X.Z. Quantization Noise Suppression Technology of MEMS Gyroscopes with Dither Signal Injection. Navig. Control 2023, 22, 62–67. [Google Scholar]












| Simulation Parameter | Initial Value |
|---|---|
| Maximum Resonant Frequency | 7000.001 Hz |
| Minimum Resonant Frequency | 7000.000 Hz |
| Maximum Decay Time Constant | 370.40 s |
| Minimum Decay Time Constant | 348.80 s |
| Stiffness Axis Angle | 4.2 deg |
| Damping Axis Angle | 8.7 deg |
| Initial Electrode Gap | 100 m |
| Initial Quadrature Amplitude | 0.0 LSB |
| Initial Standing Wave Azimuth | 0 deg |
| DC Bias Voltage | 300 V |
| Pre-amplifier Circuit Gain | 1.00 |
| Reference Signal Amplitude A | 2.00 |
| External Rotation Rate | 100 deg/s |
| Azimuth (deg) | Error—10 Bits (deg) | Error—12 Bits (deg) | Error—14 Bits (deg) | Error—16 Bits (deg) |
|---|---|---|---|---|
| 0 | 3.5110 | 1.3936 | 1.8378 | 0.2024 |
| 45 | −1.4527 | −1.5561 | −0.1101 | −0.1923 |
| 90 | 3.3977 | 1.5509 | 1.8351 | 0.2428 |
| 135 | −1.4607 | −1.4607 | −0.1521 | −0.2206 |
| 180 | 3.4999 | 1.5482 | 1.8404 | 0.2013 |
| 225 | −1.4651 | −1.5720 | −0.1579 | −0.2114 |
| 270 | 3.5238 | 1.5413 | 1.7682 | 0.2041 |
| 315 | 1.4848 | −1.5207 | −0.1767 | −0.1709 |
| 360 | 3.4427 | 1.4491 | 1.8887 | 0.1981 |
Disclaimer/Publisher’s Note: The statements, opinions and data contained in all publications are solely those of the individual author(s) and contributor(s) and not of MDPI and/or the editor(s). MDPI and/or the editor(s) disclaim responsibility for any injury to people or property resulting from any ideas, methods, instructions or products referred to in the content. |
© 2026 by the authors. Licensee MDPI, Basel, Switzerland. This article is an open access article distributed under the terms and conditions of the Creative Commons Attribution (CC BY) license.
Share and Cite
Yan, X.; Li, J.; Xiao, P.; Xia, T.; Tang, X.; Pan, Y.; Yang, K.; Luo, H. Influence Mechanism of Quantization Error on the Key Parameters of the Whole-Angle Hemisphere Resonator Gyroscope. Micromachines 2026, 17, 143. https://doi.org/10.3390/mi17010143
Yan X, Li J, Xiao P, Xia T, Tang X, Pan Y, Yang K, Luo H. Influence Mechanism of Quantization Error on the Key Parameters of the Whole-Angle Hemisphere Resonator Gyroscope. Micromachines. 2026; 17(1):143. https://doi.org/10.3390/mi17010143
Chicago/Turabian StyleYan, Xiuyue, Jingyu Li, Pengbo Xiao, Tao Xia, Xingyuan Tang, Yao Pan, Kaiyong Yang, and Hui Luo. 2026. "Influence Mechanism of Quantization Error on the Key Parameters of the Whole-Angle Hemisphere Resonator Gyroscope" Micromachines 17, no. 1: 143. https://doi.org/10.3390/mi17010143
APA StyleYan, X., Li, J., Xiao, P., Xia, T., Tang, X., Pan, Y., Yang, K., & Luo, H. (2026). Influence Mechanism of Quantization Error on the Key Parameters of the Whole-Angle Hemisphere Resonator Gyroscope. Micromachines, 17(1), 143. https://doi.org/10.3390/mi17010143

