Numerical Simulation of Hybrid Electric–Structural Control for Microdroplet Formation in Ribbed T-Junction Microchannels
Abstract
1. Introduction
2. Numerical Methods
2.1. Governing Equations
2.2. T-Junction Microchannel Geometry
3. Model Validation
3.1. Grid Independence Verification
3.2. Data Validation
4. Results and Discussion
4.1. The Droplet Formation Mechanism
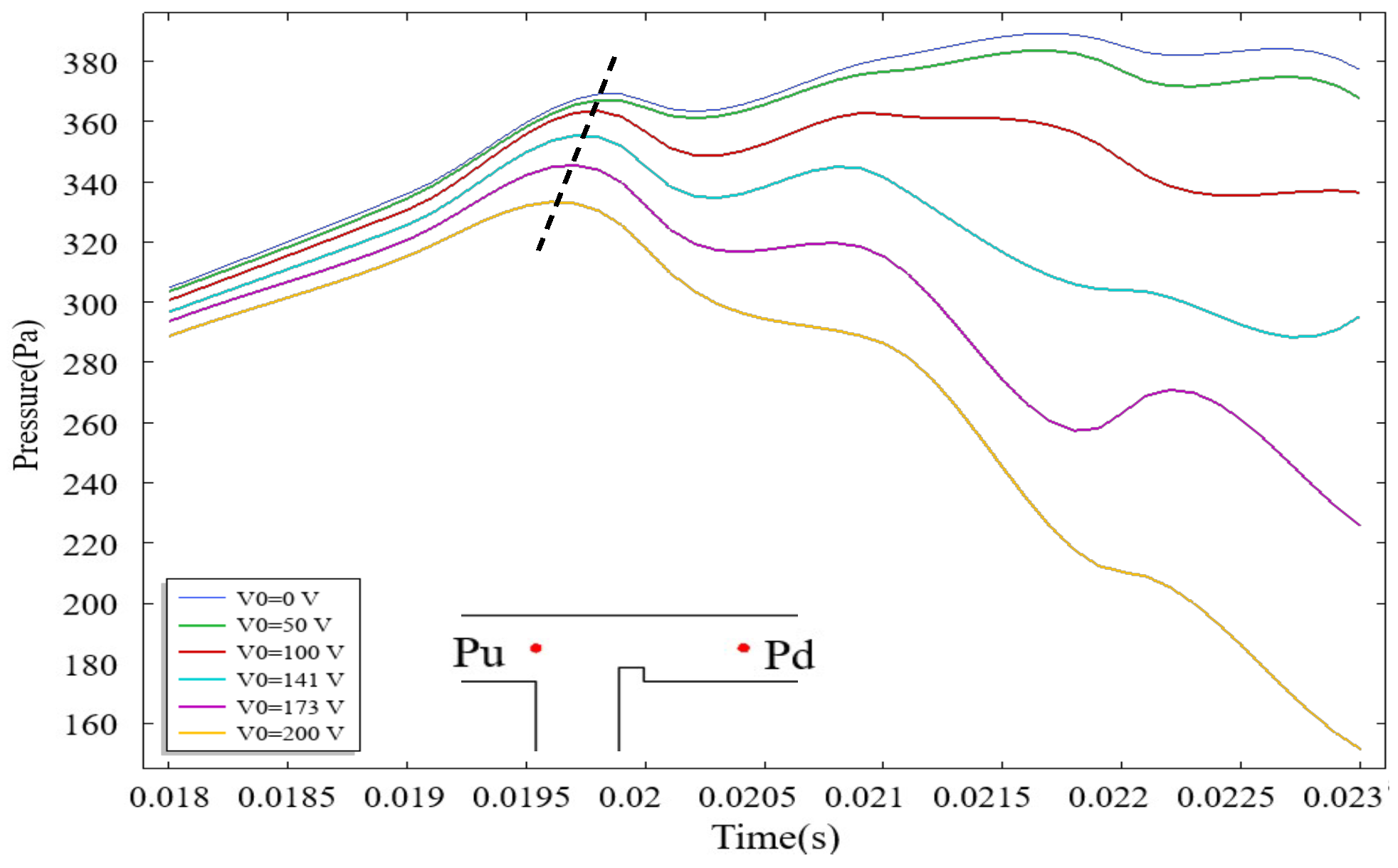
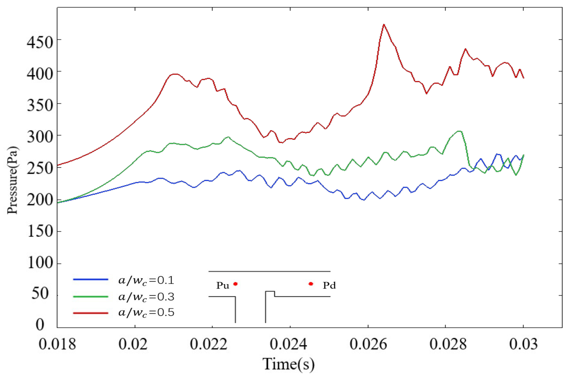
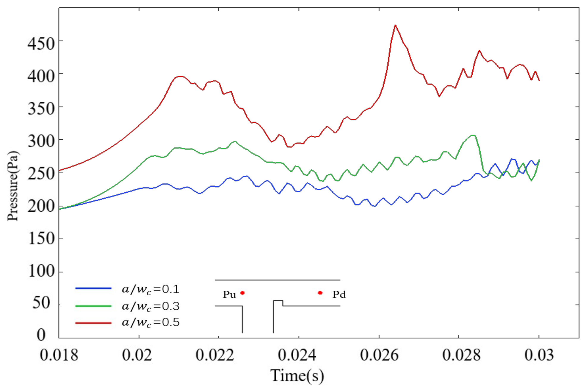
4.2. Flow Diagram of the Dispersed Phase
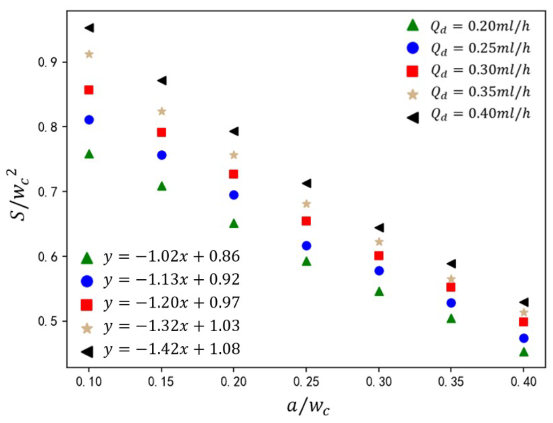
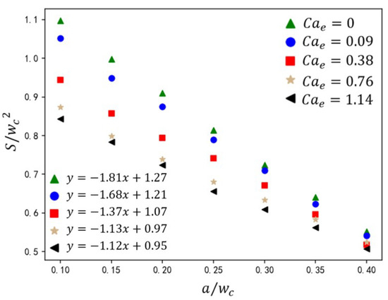
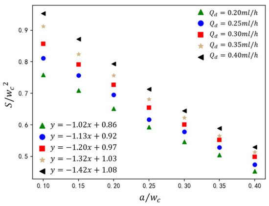
4.3. Droplet Size of Microdroplets
5. Conclusions
Funding
Data Availability Statement
Acknowledgments
Conflicts of Interest
References
- Chong, W.H.; Huang, Y.; Wong, T.N.; Ooi, K.T.; Zhu, G.P. Magnetic nanorobots, generating vortexes inside nanoliter droplets for effective mixing. Adv. Mater. Technol. 2018, 3, 1700312. [Google Scholar] [CrossRef]
- Yakimov, A.S.; Denisov, I.A.; Bukatin, A.S.; Lukyanenko, K.A.; Belousov, K.I.; Kukhtevich, I.V.; Esimbekova, E.N.; Evstrapov, A.A.; Belobrov, P.I. Droplet Microfluidic Device for Chemoenzymatic Sensing. Micromachines 2022, 13, 1146. [Google Scholar] [CrossRef] [PubMed]
- Zheng, L.; Liu, X.; Yang, G.; Liu, J.; Jiang, B.; Liu, Y.; Li, X.; Hu, X.; Zhang, Z. Highly efficient synthesis of cyclic carbonates via deep eutectic solvents from CO2 at the gas-liquid interface of microdroplet under atmospheric pressure condition. Chem. Eng. Sci. 2024, 289, 119867. [Google Scholar] [CrossRef]
- Avesar, J.; Arye, T.B.; Levenberg, S. Frontier microfluidic techniques for short and long-term single cell analysis. Lab Chip 2014, 14, 2161–2167. [Google Scholar] [CrossRef]
- Liu, D.; Sun, M.; Zhang, J.; Hu, R.; Fu, W.; Xuanyuan, T.; Liu, W. Single-cell droplet microfluidics for biomedical applications. Analyst 2022, 147, 2294–2316. [Google Scholar] [CrossRef]
- Cai, Y.; Sun, R.; Ren, Y.; Gou, Y. Development of droplet-based microfluidics in generation, manipulation and biomedical application. Microchem. J. 2025, 211, 113101. [Google Scholar] [CrossRef]
- Shestopalov, I.; Tice, J.D.; Ismagilov, R.F. Multi-step synthesis of nanoparticles performed on millisecond time scale in a microfluidic droplet-based system. Lab Chip 2004, 4, 316–321. [Google Scholar] [CrossRef]
- Fontana, F.; Martins, J.P.; Torrieri, G.; Santos, H.A. Nuts and bolts: Microfluidics for the production of biomaterials. Adv. Mater. Technol. 2019, 4, 1800611. [Google Scholar] [CrossRef]
- Yang, C.G.; Xu, Z.R.; Wang, J.H. Manipulation of droplets in microfluidic systems. TrAC Trends Anal. Chem. 2010, 29, 141–157. [Google Scholar] [CrossRef]
- Sesen, M.; Alan, T.; Neild, A. Droplet control technologies for microfluidic high throughput screening (μHTS). Lab Chip 2017, 17, 2372–2394. [Google Scholar] [CrossRef]
- Chong, Z.Z.; Tan, S.H.; Gañán-Calvo, A.M.; Tor, S.B.; Loh, N.H.; Nguyen, N.T. Active droplet generation in microfluidics. Lab Chip 2016, 16, 35–58. [Google Scholar] [CrossRef] [PubMed]
- Zhu, P.; Wang, L. Passive and active droplet generation with microfluidics: A review. Lab Chip 2017, 17, 34–75. [Google Scholar] [CrossRef]
- Liu, Z.; Zhang, L.; Pang, Y.; Wang, X.; Li, M. Micro-PIV investigation of the internal flow transitions inside droplets traveling in a rectangular microchannel. Microfluid. Nanofluidics 2017, 21, 1–8. [Google Scholar] [CrossRef]
- Si, T.; Li, F.; Yin, X.Y.; Yin, X.Z. Modes in flow focusing and instability of coaxial liquid–gas jets. J. Fluid Mech. 2009, 629, 1–23. [Google Scholar] [CrossRef]
- Hong, Y.; Wang, F. Flow rate effect on droplet control in a co-flowing microfluidic device. Microfluid. Nanofluidics 2007, 3, 341–346. [Google Scholar] [CrossRef]
- Thorsen, T.; Roberts, R.W.; Arnold, F.H.; Quake, S.R. Dynamic pattern formation in a vesicle-generating microfluidic device. Phys. Rev. Lett. 2001, 86, 4163. [Google Scholar] [CrossRef]
- Nisisako, T.; Torii, T.; Higuchi, T. Droplet formation in a microchannel network. Lab Chip 2002, 2, 24–26. [Google Scholar] [CrossRef]
- Fu, H.; Zeng, W.; Li, S. Quantitative study of the production rate of droplets in a T-junction microdroplet generator. J. Micromech. Microeng. 2017, 27, 125020. [Google Scholar] [CrossRef]
- Yao, J.; Lin, F.; Kim, H.S.; Park, J. The effect of oil viscosity on droplet generation rate and droplet size in a T-junction microfluidic droplet generator. Micromachines 2019, 10, 808. [Google Scholar] [CrossRef]
- Garstecki, P.; Fuerstman, M.J.; Stone, H.A.; Whitesides, G.M. Formation of droplets and bubbles in a microfluidic T-junction—Scaling and mechanism of break-up. Lab Chip 2006, 6, 437–446. [Google Scholar] [CrossRef]
- Glawdel, T.; Elbuken, C.; Ren, C.L. Droplet formation in microfluidic T-junction generators operating in the transitional regime. I. Experimental observations. Phys. Rev. E 2012, 85, 016322. [Google Scholar] [CrossRef]
- Xu, J.H.; Li, S.; Tan, J.; Luo, G. Correlations of droplet formation in T-junction microfluidic devices: From squeezing to dripping. Microfluid. Nanofluidics 2008, 5, 711–717. [Google Scholar] [CrossRef]
- De Menech, M.; Garstecki, P.; Jousse, F.; Stone, H.A. Transition from squeezing to dripping in a microfluidic T-shaped junction. J. Fluid Mech. 2008, 595, 141–161. [Google Scholar] [CrossRef]
- Li, X.; He, L.; He, Y.; Gu, H.; Liu, M. Numerical study of droplet formation in the ordinary and modified T-junctions. Phys. Fluids 2019, 31, 082101. [Google Scholar] [CrossRef]
- Cui, Y.; Li, Y.; Wang, K.; Deng, J.; Luo, G. Determination of dynamic interfacial tension during the generation of tiny droplets in the liquid–liquid jetting flow regime. Langmuir 2020, 36, 13633–13641. [Google Scholar] [CrossRef]
- Shen, F.; Chen, J.; Li, C.; Yuan, Y.; Liu, Z. Easy generation of droplets in a capillary inserted microchannel. Ind. Eng. Chem. Res. 2024, 63, 2021–2030. [Google Scholar] [CrossRef]
- Lv, Y.; Li, B.; Gao, S.; Korvink, J.G.; Deng, Y. Liquid metal droplet generation based on T-junction microchannels. Phys. Fluids 2025, 37, 022016. [Google Scholar] [CrossRef]
- Sahore, V.; Doonan, S.R.; Bailey, R.C. Droplet microfluidics in thermoplastics: Device fabrication, droplet generation, and content manipulation using integrated electric and magnetic fields. Anal. Methods 2018, 10, 4264–4274. [Google Scholar] [CrossRef]
- Bijarchi, M.A.; Dizani, M.; Honarmand, M.; Shafii, M.B. Splitting dynamics of ferrofluid droplets inside a microfluidic T-junction using a pulse-width modulated magnetic field in micro-magnetofluidics. Soft Matter 2021, 17, 1317–1329. [Google Scholar] [CrossRef]
- Tan, S.H.; Nguyen, N.T.; Yobas, L.; Kang, T.G. Formation and manipulation of ferrofluid droplets at a microfluidic T-junction. J. Micromech. Microeng. 2010, 20, 045004. [Google Scholar] [CrossRef]
- Feng, H.; Wong, T.N.; Che, Z.; Marcos, M. Chaotic micromixer utilizing electro-osmosis and induced charge electro-osmosis in eccentric annulus. Phys. Fluids 2016, 28, 062003. [Google Scholar] [CrossRef]
- Huang, Y.; Yin, S.; Chong, W.H.; Wong, T.N.; Ooi, K.T. Precise morphology control and fast merging of a complex multi-emulsion system: The effects of AC electric fields. Soft Matter 2019, 15, 5614–5625. [Google Scholar] [CrossRef] [PubMed]
- Park, S.; Ryu, J.; Han, K.H. Reusable EWOD-based microfluidic system for active droplet generation. Lab Chip 2025, 25, 225–234. [Google Scholar] [CrossRef]
- Porter, D.; Savage, J.R.; Cohen, I.; Spicer, P.; Caggioni, M. Temperature dependence of droplet breakup in 8CB and 5CB liquid crystals. Phys. Rev. E Stat. Nonlinear Soft Matter Phys. 2012, 85, 041701. [Google Scholar] [CrossRef] [PubMed]
- Tan, S.H.; Murshed, S.S.; Nguyen, N.T.; Wong, T.N.; Yobas, L. Thermally controlled droplet formation in flow focusing geometry: Formation regimes and effect of nanoparticle suspension. J. Phys. D Appl. Phys. 2008, 41, 165501. [Google Scholar] [CrossRef]
- Cheung, Y.N.; Qiu, H. Acoustic microstreaming for droplet breakup in a microflow-focusing device. Appl. Phys. Lett. 2010, 97, 133111. [Google Scholar] [CrossRef]
- Park, J.; Destgeer, G.; Kim, H.; Cho, Y.; Sung, H.J. In-droplet microparticle washing and enrichment using surface acoustic wave-driven acoustic radiation force. Lab Chip 2018, 18, 2936–2945. [Google Scholar] [CrossRef]
- Eribol, P.; Uguz, A. Experimental investigation of electrohydrodynamic instabilities in micro channels. Eur. Phys. J. Spec. Top. 2015, 224, 425–434. [Google Scholar] [CrossRef]
- Kim, H.; Luo, D.; Link, D.; Weitz, D.A.; Marquez, M.; Cheng, Z. Controlled production of emulsion drops using an electric field in a flow-focusing microfluidic device. Appl. Phys. Lett. 2007, 91, 133106. [Google Scholar] [CrossRef]
- Shojaeian, M.; Hardt, S. Fast electric control of the droplet size in a microfluidic T-junction droplet generator. Appl. Phys. Lett. 2018, 112, 194102. [Google Scholar] [CrossRef]
- Altundemir, S.; Eribol, P.; Uğuz, A. Droplet formation and its mechanism in a microchannel in the presence of an electric field. Fluid Dyn. Res. 2018, 50, 051404. [Google Scholar] [CrossRef]
- Singh, R.; Bahga, S.; Gupta, A. Electrohydrodynamic droplet formation in a T-junction microfluidic device. J. Fluid Mech. 2020, 905, A29. [Google Scholar] [CrossRef]
- Liu, Z.; Cai, F.; Pang, Y.; Ren, Y.; Zheng, N.; Chen, R.; Zhao, S. Enhanced droplet formation in a T-junction microchannel using electric field: A lattice Boltzmann study. Phys. Fluids 2022, 34, 082006. [Google Scholar] [CrossRef]
- Li, Q.; Zhu, H.; Lu, S.; Lei, M.; Xu, W.; Liu, Z. Numerical investigation on formation mechanism and flow law of droplet in T-junction by electric field. Phys. Fluids 2023, 35, 062007. [Google Scholar]
- Wang, D.; Chagot, L.; Wang, J.; Angeli, P. Effect of electric field on droplet formation in a co-flow microchannel. Phys. Fluids 2025, 37, 023331. [Google Scholar] [CrossRef]
- Soh, G.Y.; Yeoh, G.H.; Timchenko, V. Numerical investigation on the velocity fields during droplet formation in a microfluidic T-junction. Chem. Eng. Sci. 2016, 139, 99–108. [Google Scholar] [CrossRef]
- Sherwood, J.D. Breakup of fluid droplets in electric and magnetic fields. J. Fluid Mech. 1988, 188, 133–146. [Google Scholar] [CrossRef]
- Hua, J.; Lim, L.K.; Wang, C.H. Numerical simulation of deformation/motion of a drop suspended in viscous liquids under influence of steady electric fields. Phys. Fluids 2008, 20, 113302. [Google Scholar] [CrossRef]



















| Parameter | Value |
|---|---|
| Width of main channel, (m) | 100 |
| Width of side channel, (m) | 100 |
| Length of main channel, L (m) | 1500 |
| Length of side channel, (m) | 250 |
| Depth of channel (m) | 100 |
| Density of CP, (kg/m3) | 1000 |
| Density of DP, (kg/m3) | 1000 |
| Dynamic viscosity of CP, (Pas) | 0.005 |
| Dynamic viscosity of DP, (Pas) | 0.001 |
| Surface tension, (N/m) | 0.005 |
| Dielectric permittivity of CP, | 4.3 |
| Dielectric permittivity of DP, | 21.5 |
| Conductivity ratio, | 0.1 |
| Electric potential, U (V) | 0–250 |
| Parameter | Value |
|---|---|
| Width of main channel, (m) | 100 |
| Width of side channel, (m) | 50 |
| Depth of channel | 33 |
| Density of CP, (kg/m3) | 1000 |
| Density of DP, (kg/m3) | 1000 |
| Dynamic viscosity of CP, (Pas) | 0.01 |
| Dynamic viscosity of DP, (Pas) | 0.001 |
| Surface tension, (N/m) | 0.0365 |
Disclaimer/Publisher’s Note: The statements, opinions and data contained in all publications are solely those of the individual author(s) and contributor(s) and not of MDPI and/or the editor(s). MDPI and/or the editor(s) disclaim responsibility for any injury to people or property resulting from any ideas, methods, instructions or products referred to in the content. |
© 2025 by the author. Licensee MDPI, Basel, Switzerland. This article is an open access article distributed under the terms and conditions of the Creative Commons Attribution (CC BY) license (https://creativecommons.org/licenses/by/4.0/).
Share and Cite
Fu, R. Numerical Simulation of Hybrid Electric–Structural Control for Microdroplet Formation in Ribbed T-Junction Microchannels. Micromachines 2025, 16, 732. https://doi.org/10.3390/mi16070732
Fu R. Numerical Simulation of Hybrid Electric–Structural Control for Microdroplet Formation in Ribbed T-Junction Microchannels. Micromachines. 2025; 16(7):732. https://doi.org/10.3390/mi16070732
Chicago/Turabian StyleFu, Ruyi. 2025. "Numerical Simulation of Hybrid Electric–Structural Control for Microdroplet Formation in Ribbed T-Junction Microchannels" Micromachines 16, no. 7: 732. https://doi.org/10.3390/mi16070732
APA StyleFu, R. (2025). Numerical Simulation of Hybrid Electric–Structural Control for Microdroplet Formation in Ribbed T-Junction Microchannels. Micromachines, 16(7), 732. https://doi.org/10.3390/mi16070732
