Ultra-Wideband Passive Polarization Conversion Metasurface for Radar Cross-Section Reduction Across C-, X-, Ku-, and K-Bands
Abstract
1. Introduction
2. Materials and Methods
2.1. Design of the PCM
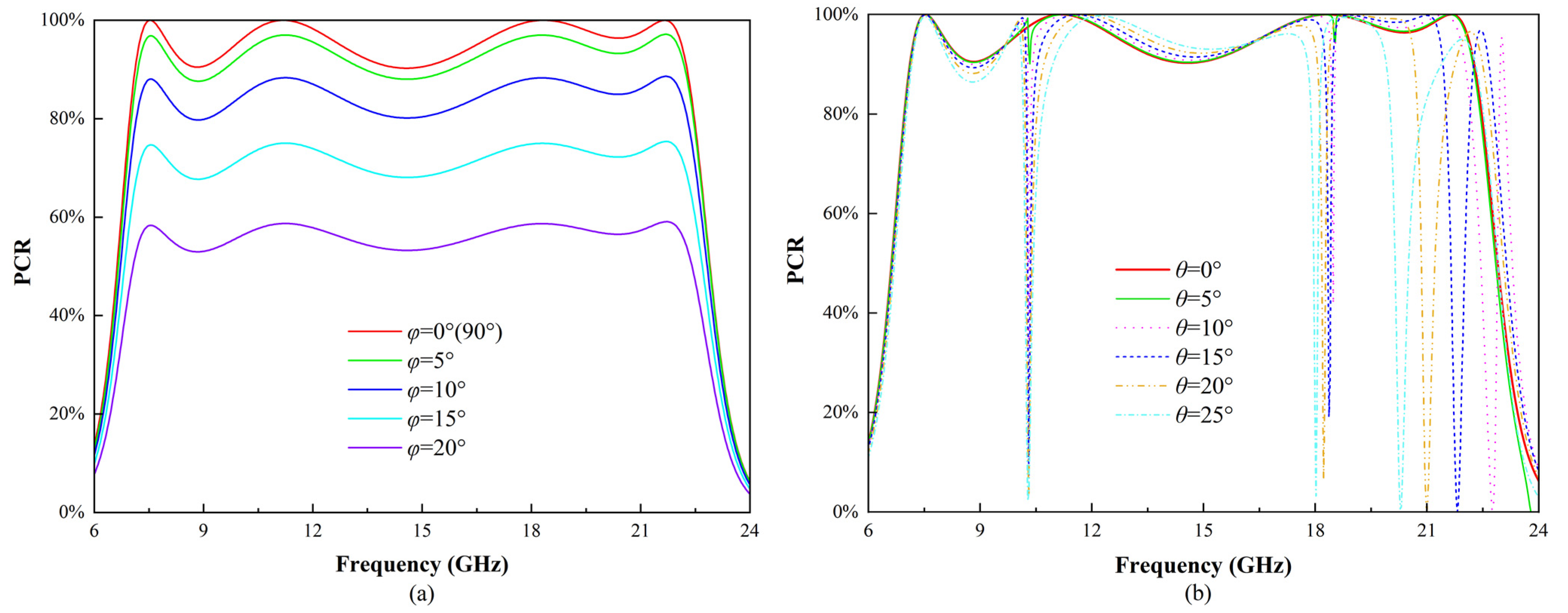
2.2. Simulation Results
3. Theoretical Analysis and Discussion
3.1. Physical Mechanisms Analysis
3.2. Surface Current Distributions
4. RCS Reduction
5. Experimental Verification and Comparative Analysis
6. Conclusions
Author Contributions
Funding
Data Availability Statement
Acknowledgments
Conflicts of Interest
References
- Soukoulis, C.M.; Wegener, M. Past Achievements and Future Challenges in the Development of Three-Dimensional Photonic Metamaterials. Nat. Photonics 2011, 5, 523–530. [Google Scholar] [CrossRef]
- Zheng, Y.; Chen, K.; Xu, Z.; Zhang, N.; Wang, J.; Zhao, J.; Feng, Y. Metasurface-Assisted Wireless Communication with Physical Level Information Encryption. Adv. Sci. 2022, 9, 2204558. [Google Scholar] [CrossRef] [PubMed]
- Liaskos, C.; Nie, S.; Tsioliaridou, A.; Pitsillides, A.; Ioannidis, S.; Akyildiz, I. A New Wireless Communication Paradigm through Software-Controlled Metasurfaces. IEEE Commun. Mag. 2018, 56, 162–169. [Google Scholar] [CrossRef]
- Ji, Z.; Cao, W.; Gao, M.; Liu, Y.; Chu, W.; Zhang, Q. Mirror-Symmetric Double-Negative Metamaterial Resonator with Polarization Insensitivity and Tunable Sandwiched Structure for Multiband Wireless Communications. Heliyon 2023, 9, e21731. [Google Scholar] [CrossRef]
- Katletz, S.; Pfleger, M.; Pühringer, H.; Mikulics, M.; Vieweg, N.; Peters, O.; Scherger, B.; Scheller, M.; Koch, M.; Wiesauer, K. Polarization Sensitive Terahertz Imaging: Detection of Birefringence and Optical Axis. Opt. Express 2012, 20, 23025. [Google Scholar] [CrossRef]
- van der Valk, N.C.J.; van der Marel, W.A.M.; Planken, P.C.M. Terahertz Polarization Imaging. Opt. Lett. 2005, 30, 2802. [Google Scholar] [CrossRef]
- Singh, R.; Plum, E.; Menzel, C.; Rockstuhl, C.; Azad, A.K.; Cheville, R.A.; Lederer, F.; Zhang, W.; Zheludev, N.I. Terahertz Metamaterial with Asymmetric Transmission. Phys. Rev. B-Condens. Matter Mater. Phys. 2009, 80, 153104. [Google Scholar] [CrossRef]
- Larouche, S.; Tsai, Y.J.; Tyler, T.; Jokerst, N.M.; Smith, D.R. Infrared Metamaterial Phase Holograms. Nat. Mater. 2012, 11, 450–454. [Google Scholar] [CrossRef]
- Zheng, G.; Mühlenbernd, H.; Kenney, M.; Li, G.; Zentgraf, T.; Zhang, S. Metasurface Holograms Reaching 80% Efficiency. Nat. Nanotechnol. 2015, 10, 308–312. [Google Scholar] [CrossRef]
- Ye, M.; Yu, Y.; Zou, J.; Yang, W.; Zhang, X. On-Chip Multiplexing Conversion between Wavelength Division Multiplexing–Polarization Division Multiplexing and Wavelength Division Multiplexing–Mode Division Multiplexing. Opt. Lett. 2014, 39, 758. [Google Scholar] [CrossRef]
- Sun, S.; Jiang, W.; Li, X.; Liu, P.; Gong, S. Ultrawideband High-Efficiency 2.5-Dimensional Polarization Conversion Metasurface and Its Application in Rcs Reduction of Antenna. IEEE Antennas Wirel. Propag. Lett. 2019, 18, 881–885. [Google Scholar] [CrossRef]
- Zhang, L.; Wu, R.Y.; Bai, G.D.; Wu, H.T.; Ma, Q.; Chen, X.Q.; Cui, T.J. Transmission-Reflection-Integrated Multifunctional Coding Metasurface for Full-Space Controls of Electromagnetic Waves. Adv. Funct. Mater. 2018, 28, 1802205. [Google Scholar] [CrossRef]
- Bai, G.D.; Ma, Q.; Iqbal, S.; Bao, L.; Jing, H.B.; Zhang, L.; Wu, H.T.; Wu, R.Y.; Zhang, H.C.; Yang, C.; et al. Multitasking Shared Aperture Enabled with Multiband Digital Coding Metasurface. Adv. Opt. Mater. 2018, 6, 1800657. [Google Scholar] [CrossRef]
- Pan, Y.; Lan, F.; Zhang, Y.; Zeng, H.; Wang, L.; Song, T.; He, G.; Yang, Z. Dual-Band Multifunctional Coding Metasurface with a Mingled Anisotropic Aperture for Polarized Manipulation in Full Space. Photonics Res. 2022, 10, 416. [Google Scholar] [CrossRef]
- Liu, M.; Kozyrev, A.B.; Shadrivov, I.V. Time-Varying Metasurfaces for Broadband Spectral Camouflage. Phys. Rev. Appl. 2019, 12, 1. [Google Scholar] [CrossRef]
- Pitilakis, A.; Seckel, M.; Tasolamprou, A.C.; Liu, F.; Deltsidis, A.; Manessis, D.; Ostmann, A.; Kantartzis, N.V.; Liaskos, C.; Soukoulis, C.M.; et al. Multifunctional Metasurface Architecture for Amplitude, Polarization and Wave-Front Control. Phys. Rev. Appl. 2022, 17, 1. [Google Scholar] [CrossRef]
- Ding, X.; Monticone, F.; Zhang, K.; Zhang, L.; Gao, D.; Nawaz Burokur, S.; De Lustrac, A.; Wu, Q.; Qiu, C.W.; AlùProf, A. Ultrathin Pancharatnam-Berry Metasurface with Maximal Cross-Polarization Efficiency. Adv. Mater. 2015, 27, 1195–1200. [Google Scholar] [CrossRef]
- Glybovski, S.B.; Tretyakov, S.A.; Belov, P.A.; Kivshar, Y.S.; Simovski, C.R. Metasurfaces: From Microwaves to Visible. Phys. Rep. 2016, 634, 1–72. [Google Scholar] [CrossRef]
- Chen, H.T.; Taylor, A.J.; Yu, N. A Review of Metasurfaces: Physics and Applications. Reports Prog. Phys. 2016, 79, 076401. [Google Scholar] [CrossRef]
- Gao, X.; Singh, L.; Yang, W.; Zheng, J.; Li, H.; Zhang, W. Bandwidth Broadening of a Linear Polarization Converter by Near-Field Metasurface Coupling. Sci. Rep. 2017, 7, 6817. [Google Scholar] [CrossRef]
- Grady, N.K.; Heyes, J.E.; Chowdhury, D.R.; Zeng, Y.; Reiten, M.T.; Azad, A.K.; Taylor, A.J.; Dalvit, D.A.R.; Chen, H.T. Terahertz Metamaterials for Linear Polarization Conversion and Anomalous Refraction. Science 2013, 340, 1304–1307. [Google Scholar] [CrossRef] [PubMed]
- Karamirad, M.; Ghobadi, C.; Nourinia, J. Metasurfaces for Wideband and Efficient Polarization Rotation. IEEE Trans. Antennas Propag. 2021, 69, 1799–1804. [Google Scholar] [CrossRef]
- Xu, P.; Wang, S.Y.; Geyi, W. A Linear Polarization Converter with near Unity Efficiency in Microwave Regime. J. Appl. Phys. 2017, 121, 144502. [Google Scholar] [CrossRef]
- Zhang, L.; Zhou, P.; Lu, H.; Zhang, L.; Xie, J.; Deng, L. Realization of Broadband Reflective Polarization Converter Using Asymmetric Cross-Shaped Resonator. Opt. Mater. Express 2016, 6, 1393. [Google Scholar] [CrossRef]
- Fang, C.; Cheng, Y.; He, Z.; Zhao, J.; Gong, R. Design of a Wideband Reflective Linear Polarization Converter Based on the Ladder-Shaped Structure Metasurface. Optik 2017, 137, 148–155. [Google Scholar] [CrossRef]
- Loncar, J.; Grbic, A.; Hrabar, S. A Reflective Polarization Converting Metasurface at X -Band Frequencies. IEEE Trans. Antennas Propag. 2018, 66, 3213–3218. [Google Scholar] [CrossRef]
- Wei, Z.; Cao, Y.; Fan, Y.; Yu, X.; Li, H. Broadband Polarization Transformation via Enhanced Asymmetric Transmission through Arrays of Twisted Complementary Split-Ring Resonators. Appl. Phys. Lett. 2011, 99, 2–5. [Google Scholar] [CrossRef]
- Feng, M.; Wang, J.; Ma, H.; Mo, W.; Ye, H.; Qu, S. Broadband Polarization Rotator Based on Multi-Order Plasmon Resonances and High Impedance Surfaces. J. Appl. Phys. 2013, 114, 074508. [Google Scholar] [CrossRef]
- Huang, X.; Yang, H.; Zhang, D.; Luo, Y. Ultrathin Dual-Band Metasurface Polarization Converter. IEEE Trans. Antennas Propag. 2019, 67, 4636–4641. [Google Scholar] [CrossRef]
- Chen, H.; Ma, H.; Wang, J.; Qu, S.; Pang, Y.; Yan, M.; Li, Y. Ultra-Wideband Transparent 90° Polarization Conversion Metasurfaces. Appl. Phys. A Mater. Sci. Process. 2016, 122, 463. [Google Scholar] [CrossRef]
- Cheng, Y.; Gong, R.; Wu, L. Ultra-Broadband Linear Polarization Conversion via Diode-Like Asymmetric Transmission with Composite Metamaterial for Terahertz Waves. Plasmonics 2017, 12, 1113–1120. [Google Scholar] [CrossRef]
- Ako, R.T.; Lee, W.S.L.; Atakaramians, S.; Bhaskaran, M.; Sriram, S.; Withayachumnankul, W. Ultra-Wideband Tri-Layer Transmissive Linear Polarization Converter for Terahertz Waves. APL Photonics 2020, 5, 046101. [Google Scholar] [CrossRef]
- Xu, J.; Li, R.; Wang, S.; Han, T. Ultra-Broadband Linear Polarization Converter Based on Anisotropic Metasurface. Opt. Express 2018, 26, 26235. [Google Scholar] [CrossRef] [PubMed]
- Park, J.; Kim, S.J.; Landreman, P.; Brongersma, M.L. An Over-Coupled Phase-Change Metasurface for Efficient Reflection Phase Modulation. Adv. Opt. Mater. 2020, 8, 2000745. [Google Scholar] [CrossRef]
- Hassan, A.G.; Sumaid, M.; Ahmed, F.; Shoaib, N.; Abbasi, Q.H.; Nikolaou, S. Reconfigurable Absorptive and Polarization Conversion Metasurface Consistent for Wide Angles of Incidence. Sci. Rep. 2023, 13, 18209. [Google Scholar] [CrossRef]
- Jing, X.; Gui, X.; Zhou, P.; Hong, Z. Physical Explanation of Fabry-Pérot Cavity for Broadband Bilayer Metamaterials Polarization Converter. J. Light. Technol. 2018, 36, 2322–2327. [Google Scholar] [CrossRef]
- Tung, N.T.; Thuy, V.T.T.; Park, J.W.; Rhee, J.Y.; Lee, Y. Left-Handed Transmission in a Simple Cut-Wire Pair Structure. J. Appl. Phys. 2010, 107, 023530. [Google Scholar] [CrossRef]
- Samadi, F.; Akbari, M.; Chaharmir, M.R.; Sebak, A. Scatterer Surface Design for Wave Scattering Application. IEEE Trans. Antennas Propag. 2019, 67, 1202–1211. [Google Scholar] [CrossRef]
- Liu, C.; Gao, R.; Wang, Q.; Liu, S. A Design of Ultra-Wideband Linear Cross-Polarization Conversion Metasurface with High Efficiency and Ultra-Thin Thickness. J. Appl. Phys. 2020, 127, 153103. [Google Scholar] [CrossRef]
- Shukoor, M.A.; Dey, S.; Koul, S.K.; Poddar, A.K.; Rohde, U.L. Broadband Linear-Cross and Circular-Circular Polarizers with Minimal Bandwidth Reduction at Higher Oblique Angles for RCS Applications. Int. J. RF Microw. Comput. Eng. 2021, 31, e22693. [Google Scholar] [CrossRef]
- Nguyen, T.K.T.; Nguyen, T.M.; Nguyen, H.Q.; Cao, T.N.; Le, D.T.; Bui, X.K.; Bui, S.T.; Truong, C.L.; Vu, D.L.; Nguyen, T.Q.H. Simple Design of Efficient Broadband Multifunctional Polarization Converter for X-Band Applications. Sci. Rep. 2021, 11, 2032. [Google Scholar] [CrossRef] [PubMed]
- Yan, M.; Wang, J.; Pang, Y.; Xu, C.; Chen, H.; Zheng, L.; Zhang, J.; Qu, S. An FSS-Backed Dual-Band Reflective Polarization Conversion Metasurface. IEEE Access 2019, 7, 104435–104442. [Google Scholar] [CrossRef]
- Habashi, A.; Ghobadi, C.; Nourinia, J. A Dual-Broadband h-Shaped Metasurface for Cross-Polarization and Asymmetric Transmission with High Stable Incidence Angle. AEU-Int. J. Electron. Commun. 2022, 143, 154021. [Google Scholar] [CrossRef]
- Murtaza, M.; Rashid, A.; Tahir, F.A. A Highly Efficient Low-Cost Reflective Anisotropic Metasurface for Linear to Linearly Cross- and Circular-Polarization Conversion. Microw. Opt. Technol. Lett. 2021, 63, 1346–1353. [Google Scholar] [CrossRef]
- Nguyen, T.Q.H.; Nguyen, T.K.T.; Nguyen, T.Q.M.; Cao, T.N.; Phan, H.L.; Luong, N.M.; Le, D.T.; Bui, X.K.; Truong, C.L.; Vu, D.L. Simple Design of a Wideband and Wide-Angle Reflective Linear Polarization Converter Based on Crescent-Shaped Metamaterial for Ku-Band Applications. Opt. Commun. 2021, 486, 126773. [Google Scholar] [CrossRef]
- Shen, Z.; Zhang, Q.; Huang, X.; Wu, J.; Yang, H. Simultaneous Transmissive and Reflective Polarization Conversion Cross Different Operating Bands in a Single Metasurface. Opt. Laser Technol. 2024, 169, 110071. [Google Scholar] [CrossRef]
- Pouyanfar, N.; Nourinia, J.; Ghobadi, C. Multiband and Multifunctional Polarization Converter Using an Asymmetric Metasurface. Sci. Rep. 2021, 11, 9306. [Google Scholar] [CrossRef]













| Ref | d/λ1 | OB (GHz) | OBWb(GHz) | RB (%) |
|---|---|---|---|---|
| [22] | 0.068 | 10.2–20.5 | 10.3 | 67% |
| [39] | 0.066 | 9.04–20.83 | 11.79 | 79% |
| [40] | 0.071 | 17.97–40.23 | 22.26 | 76.5% |
| [41] | 0.042 | 8–12 | 4 | 40% |
| [42] | 0.11 | 5.66–9.46 16.9–18.9 | 3.8 | 50% |
| [33] | 0.077 | 6.67–17.1 | 10.43 | 87.7% |
| [43] | 0.05 | 7.5–8.6, 15–16.6 | 1.1, 1.6 | 13.7%, 10.1% |
| [44] | 0.043 | 6.45–6.87, 9.94–11.34, 15.99–18.60 | 0.42, 1.4, 2.62 | 6.3%, 13.2%, 15.1% |
| [45] | 0.064 | 12–18 | 6 | 40% |
| [46] | 0.071 | 7.07–7.46, 16.59–16.91 | 0.39, 0.32 | 5.3%, 2% |
| [47] | 0.103 | 15.5–16.5 | 1 | 6.3% |
| This Work | 0.084 | 7.1–22.3 | 15.2 | 103.4% |
Disclaimer/Publisher’s Note: The statements, opinions and data contained in all publications are solely those of the individual author(s) and contributor(s) and not of MDPI and/or the editor(s). MDPI and/or the editor(s) disclaim responsibility for any injury to people or property resulting from any ideas, methods, instructions or products referred to in the content. |
© 2025 by the authors. Licensee MDPI, Basel, Switzerland. This article is an open access article distributed under the terms and conditions of the Creative Commons Attribution (CC BY) license (https://creativecommons.org/licenses/by/4.0/).
Share and Cite
Ren, X.; Liu, Y.; Ji, Z.; Zhang, Q.; Cao, W. Ultra-Wideband Passive Polarization Conversion Metasurface for Radar Cross-Section Reduction Across C-, X-, Ku-, and K-Bands. Micromachines 2025, 16, 292. https://doi.org/10.3390/mi16030292
Ren X, Liu Y, Ji Z, Zhang Q, Cao W. Ultra-Wideband Passive Polarization Conversion Metasurface for Radar Cross-Section Reduction Across C-, X-, Ku-, and K-Bands. Micromachines. 2025; 16(3):292. https://doi.org/10.3390/mi16030292
Chicago/Turabian StyleRen, Xiaole, Yunqing Liu, Zhonghang Ji, Qiong Zhang, and Wei Cao. 2025. "Ultra-Wideband Passive Polarization Conversion Metasurface for Radar Cross-Section Reduction Across C-, X-, Ku-, and K-Bands" Micromachines 16, no. 3: 292. https://doi.org/10.3390/mi16030292
APA StyleRen, X., Liu, Y., Ji, Z., Zhang, Q., & Cao, W. (2025). Ultra-Wideband Passive Polarization Conversion Metasurface for Radar Cross-Section Reduction Across C-, X-, Ku-, and K-Bands. Micromachines, 16(3), 292. https://doi.org/10.3390/mi16030292

