Research on Precise Temperature Monitoring and Thermal Management Optimization of Automobile Engines Based on High-Precision Thin-Film Thermocouple Technology
Abstract
1. Introduction
2. Thermocouple Temperature Measurement Principle
3. Preparation Process of NiCr/NiSi Thin-Film Thermocouple
4. Characterization of Micro-Properties of NiCr/NiSi Thin-Film Thermocouple
5. Static Calibration Experiment of NiCr/NiSi Thin-Film Thermocouple and K-Wire Thermocouple
5.1. Experimental Process
5.2. Non-Uniformity of Oil Temperature and Correction of Experimental Error
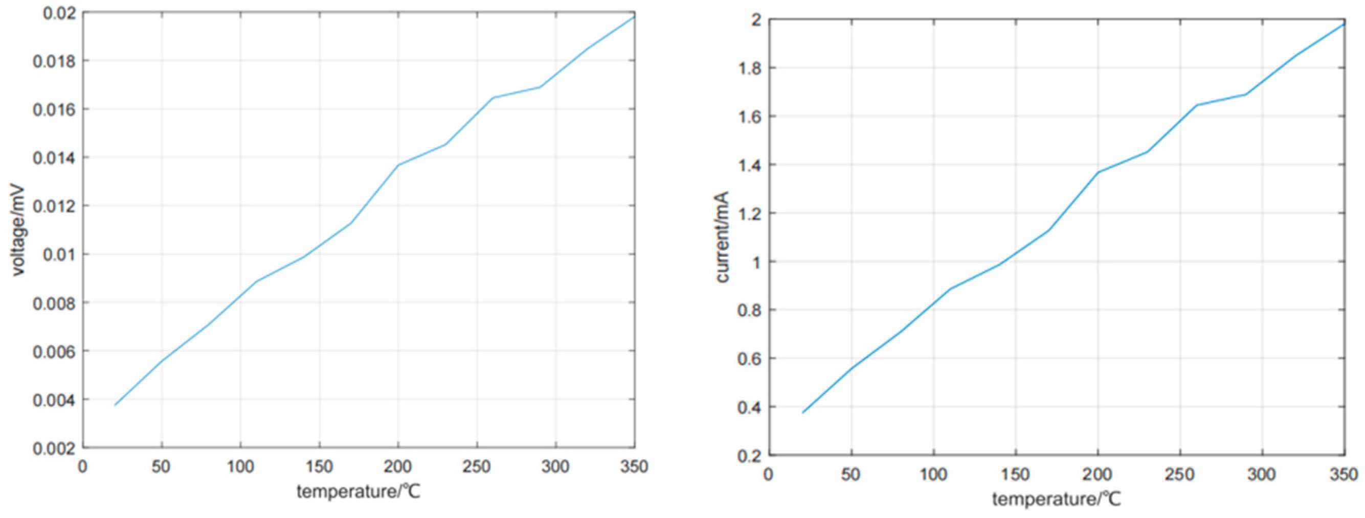
5.3. Experimental Results
5.4. Consistency and Repeatability Experiments
6. Temperature Measurement Experiment of NiCr/NiSi Thin-Film Thermocouple and K-Wire Thermocouple
6.1. Experimental Process
6.2. Experimental Results
7. Conclusions
Author Contributions
Funding
Data Availability Statement
Conflicts of Interest
References
- Xiao, G. Bigwigs Gathers in Pengcheng to Discuss Innovative Design—China Industrial Design Collaborative Innovation Summit was successfully held in Shenzhen. China Sci. Technol. Ind. 2023, 24–25. [Google Scholar]
- Chang, G.; Chang, S.; Zhang, Y. Design and analysis of high-precision thermocouple temperature measurement circuit. Comput. Meas. Control. 2021, 29, 67–71. [Google Scholar]
- Li, Y. Thermocouple Temperature Measurement System Design. Electron. Des. Eng. 2013, 21, 97–99. [Google Scholar]
- Ding, R.; Zhen, G.; Zhang, K. Design of S-type thermocouple temperature measuring circuit of temperature sensor. China Test 2020, 46, 99–104. [Google Scholar]
- Zhou, G. Design and Implementation of Multi-Channel Thermocouple Temperature Measurement System. Master’s Thesis, North University of China, Taiyuan, China, 2023. [Google Scholar]
- Li, P.; Jia, Y. Principle and application analysis of thermocouple temperature measurement technology. Electron. Test. 2020, 56–57. [Google Scholar]
- Jia, Y.; Sun, B.; Zeng, Q.; Xu, J. Preparation of NiCr/NiSi thin-film thermocouple temperature sensor by magnetron sputtering. Instrum. Technol. Sens. 2006, 2, 1–3. [Google Scholar]
- Ruan, Y.; Xiao, Q.; Han, Y.; Liu, H.; Li, J.; Wu, Y.; Shi, M.; Dong, H. High-precision NiCr/NiSi thin-film thermocouple high-temperature testing system. Instrum. Technol. Sens. 2024, 1–5+10. [Google Scholar]
- Zhang, W.; Shen, T.; Wang, L.; Zhao, W.; Deng, Y. Pt/PtRh high temperature thin filmthermocouple sensor integration process based on magnetron sputtering. Mater. Eng. 2024, 52, 27–33. [Google Scholar]
- Xiong, Z.; Zhang, Z.; Ling, Y. Preparation of T-shaped flexible thin-filmthermocouple by magnetron sputtering. China Surf. Eng. 2022, 35, 231–236. [Google Scholar]
- Wang, W. Preparation of In2O3/ITO Transparent Thin-Film Thermocouple by Magnetron Sputtering and Its Performance Study. Master’s Thesis, Xi’an University of Architecture and Technology, Xi’an, China, 2019. [Google Scholar] [CrossRef]
- Chen, R. Research on Calibration Method of Static Characteristics of Thin Film Thermocouple Based on Temperature Extrapolation. Master’s Thesis, China Metrology University, Hangzhou, China, 2018. [Google Scholar]
- Wang, G.; Yao, J.; Wang, B.; Cheng, P.; Ding, G. Study on dynamic performance of Pt/PtRh thin-film thermocouple. Sens. Microsyst. 2021, 40, 37–39. [Google Scholar]
- Ma, X.; Yuan, X.; Ma, B.; Deng, J. Preparation and performance study of thin-film thermocouple based on CFCC-SiC. J. Sens. Technol. 2014, 27, 304–307. [Google Scholar]
- Zhang, J. Preparation and Performance Study of High-Temperature Thin-Film Thermocouple. Master’s Thesis, Shanghai Jiaotong University, Shanghai, China, 2016. [Google Scholar] [CrossRef]
- Cui, Y. Research on NiCr/NiSi Thin Film Thermocouple Temperature Measuring Tool for Transient Cutting. Ph.D. Thesis, Dalian University of Technology, Dalian, China, 2011. [Google Scholar]
- Wei, M.; Zhang, K.; Zhang, J.; Fang, C.; Xu, F. Fitting method of thermoelectric characteristic curve of thin-film thermocouple based on polynomial interpolation. Ind. Metrol. 2023, 33, 9–13. [Google Scholar]
- Zhang, J.; Wang, G.; Li, Z.; Liu, Y.; Liang, H.; Huang, M. Study on dynamic characteristics of In2O3/ITO thin-film thermocouple. Sens. Microsyst. 2022, 41, 37–40. [Google Scholar]
- Song, L. Research on Transient Temperature Measurement Technology of Diesel Engine Piston. Master’s Thesis, Dalian Jiaotong University, Dalian, China, 2019. [Google Scholar] [CrossRef]
- Xue, S. Research on Transient Temperature Measurement Technology of Piston Surface of High-Speed and High-Power Diesel Engine. Master’s Thesis, Dalian Jiaotong University, Dalian, China, 2018. [Google Scholar]
- Nie, Z.; Guo, H.; Ye, F.; Ma, C. Development of contact testing technology for internal temperature of fuel cells. Mod. Chem. Ind. 2011, 31, 17–22. [Google Scholar]
- Huang, M.; Li, S.; Zhang, M.; Liang, X.; Zhang, Z.; Tian, B. Analysis of the research status of typical preparation technology of high-temperature thin-film thermocouple. Meas. Control. Technol. 2022, 41, 42–46. [Google Scholar]
- Liu, Y. Preparation and Performance Study of High-Temperature Oxidation-Resistant Thin-Film Temperature Strain Sensor. Master’s Thesis, University of Electronic Science and Technology of China, Chengdu, China, 2024. [Google Scholar] [CrossRef]
- Lv, X. Preparation and Performance Study of Graphene Single-Material Thin-Film Thermocouple. Master’s Thesis, North University of China, Taiyuan, China, 2023. [Google Scholar]
- Kou, Z.; Wang, Q.; Li, G.; Zhang, W. Application of thermocouple temperature measurement technology on high-temperature wall of aero-engine. Therm. Power Eng. 2023, 38, 202–210. [Google Scholar]
- Liu, Y. Research on Milling Temperature Testing Technology Based on Thin Film Thermocouple. Master’s Thesis, Dalian Jiaotong University, Dalian, China, 2018. [Google Scholar]
- Cui, Y.; Xue, S.; Zhou, T.; Li, D.; Mu, Y. Preparation and performance study of thin film transient temperature sensor. Chin. J. Sci. Instrum. 2017, 38, 3028–3035. [Google Scholar]












Disclaimer/Publisher’s Note: The statements, opinions and data contained in all publications are solely those of the individual author(s) and contributor(s) and not of MDPI and/or the editor(s). MDPI and/or the editor(s) disclaim responsibility for any injury to people or property resulting from any ideas, methods, instructions or products referred to in the content. |
© 2025 by the authors. Licensee MDPI, Basel, Switzerland. This article is an open access article distributed under the terms and conditions of the Creative Commons Attribution (CC BY) license (https://creativecommons.org/licenses/by/4.0/).
Share and Cite
Zhao, G.; Li, X.; Liu, Z. Research on Precise Temperature Monitoring and Thermal Management Optimization of Automobile Engines Based on High-Precision Thin-Film Thermocouple Technology. Micromachines 2025, 16, 249. https://doi.org/10.3390/mi16030249
Zhao G, Li X, Liu Z. Research on Precise Temperature Monitoring and Thermal Management Optimization of Automobile Engines Based on High-Precision Thin-Film Thermocouple Technology. Micromachines. 2025; 16(3):249. https://doi.org/10.3390/mi16030249
Chicago/Turabian StyleZhao, Guangyuan, Xin Li, and Zhihui Liu. 2025. "Research on Precise Temperature Monitoring and Thermal Management Optimization of Automobile Engines Based on High-Precision Thin-Film Thermocouple Technology" Micromachines 16, no. 3: 249. https://doi.org/10.3390/mi16030249
APA StyleZhao, G., Li, X., & Liu, Z. (2025). Research on Precise Temperature Monitoring and Thermal Management Optimization of Automobile Engines Based on High-Precision Thin-Film Thermocouple Technology. Micromachines, 16(3), 249. https://doi.org/10.3390/mi16030249

