Impact of Impeller Speed Adjustment Interval on Hemolysis Performance of an Intravascular Micro-Axial Blood Pump
Abstract
1. Introduction
2. Materials and Methods
2.1. Hemolysis Prediction Method Based on Power-Law Model
2.2. Design and Simulation of Intravascular Micro-Axial Blood Pump
2.2.1. Intravascular Micro-Axial Blood Pump Design and Hydraulic Performance Test
2.2.2. Simulation Settings of Intravascular Micro-Axial Blood Pump
2.3. Drainage Tube with 3 mm Diameter: CFD Study Settings
2.4. Hemolysis Experiment Settings Based on Drainage Tube with 3 mm Diameter
3. Results
3.1. Simulation Result of Drainage Tube with 3 mm Diameter and Blood Pump
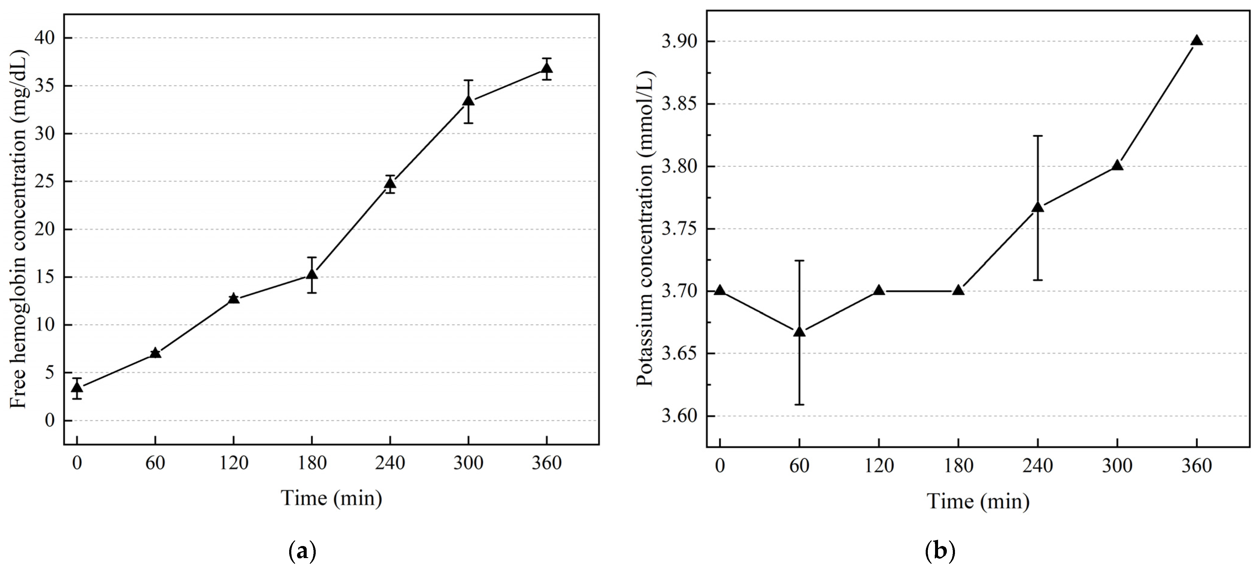
3.2. Results of Hemolysis Experiment Based on Drainage Tube
3.3. Comparison of Hemolysis Simulation and Experimental Results
3.4. Experimental and Simulation Results for Intravascular Micro-Axial Blood Pump
4. Discussion
5. Conclusions
Author Contributions
Funding
Institutional Review Board Statement
Data Availability Statement
Conflicts of Interest
References
- Camboni, D.; Schmid, C.; Mueller, T.; Lunz, D.; Rastogi, P.; Floerchinger, B.; Philipp, A.; Vasin, S. Increasing use of the Impella®-pump in severe cardiogenic shock: A word of caution. Interact. CardioVascular Thorac. Surg. 2020, 30, 711–714. [Google Scholar] [CrossRef]
- Li, Y.; Liu, X.; Sun, A.; Deng, X.; Chen, Z.; Fan, Y. Multi-Method Investigation of Blood Damage Induced by Blood Pumps in Different Clinical Support Modes. ASAIO J. 2024, 70, 280–292. [Google Scholar] [CrossRef]
- Jing, T.; Sun, H.; Cheng, J.; Zhou, L. Optimization of a Screw Centrifugal Blood Pump Based on Random Forest and Multi-Objective Gray Wolf Optimization Algorithm. Micromachines 2023, 14, 406. [Google Scholar] [CrossRef]
- Ezad, S.M.; Ryan, M.; Donker, D.W.; Pappalardo, F.; Barrett, N.; Camporota, L.; Price, S.; Kapur, N.K.; Perera, D. Unloading the Left Ventricle in Venoarterial ECMO: In Whom, When, and How? Circulation 2023, 147, 1237–1250. [Google Scholar] [CrossRef]
- Yin, A.; Wen, B.; Cao, Z.; Xie, Q.; Dai, M. Regurgitation during the fully supported condition of the percutaneous left ventricular assist device. Physiol. Meas. 2023, 44, 095005. [Google Scholar] [CrossRef]
- Bhatia, K.; Jain, V.; Hendrickson, M.J.; Aggarwal, D.; Aguilar-Gallardo, J.S.; Lopez, P.D.; Narasimhan, B.; Wu, L.; Arora, S.; Joshi, A.; et al. Meta-Analysis Comparing Venoarterial Extracorporeal Membrane Oxygenation With or Without Impella in Patients With Cardiogenic Shock. Am. J. Cardiol. 2022, 181, 94–101. [Google Scholar] [CrossRef]
- Schrage, B.; Becher, P.M.; Bernhardt, A.; Bezerra, H.; Blankenberg, S.; Brunner, S.; Colson, P.; Cudemus Deseda, G.; Dabboura, S.; Eckner, D.; et al. Left Ventricular Unloading Is Associated With Lower Mortality in Patients With Cardiogenic Shock Treated With Venoarterial Extracorporeal Membrane Oxygenation. Circulation 2020, 142, 2095–2106. [Google Scholar] [CrossRef]
- Roberts, N.; Chandrasekaran, U.; Das, S.; Qi, Z.; Corbett, S. Hemolysis associated with Impella heart pump positioning: In vitro hemolysis testing and computational fluid dynamics modeling. Int. J. Artif. Organs 2020, 43, 710–718. [Google Scholar] [CrossRef]
- Jing, T.; Xin, T.; Wang, F.; Zhang, Z.; Zhou, L. Control Strategy Design of a Microblood Pump Based on Heart-Rate Feedback. Micromachines 2022, 13, 358. [Google Scholar] [CrossRef]
- Fiedler, A.G.; Dalia, A.; Axtell, A.L.; Ortoleva, J.; Thomas, S.M.; Roy, N.; Villavicencio, M.A.; D’Alessandro, D.A.; Cudemus, G. Impella Placement Guided by Echocardiography Can Be Used as a Strategy to Unload the Left Ventricle During Peripheral Venoarterial Extracorporeal Membrane Oxygenation. J. Cardiothorac. Vasc. Anesthesia 2018, 32, 2585–2591. [Google Scholar] [CrossRef]
- Shu, F.; Vandenberghe, S.; Antaki, J.F. The Importance of dQ/dt on the Flow Field in a Turbodynamic Pump With Pulsatile Flow. Artif. Organs 2009, 33, 757–762. [Google Scholar] [CrossRef]
- Wang, Y.; Shen, P.; Zheng, M.; Fu, P.; Liu, L.; Wang, J.; Yuan, L. Influence of Impeller Speed Patterns on Hemodynamic Characteristics and Hemolysis of the Blood Pump. Appl. Sci. 2019, 9, 4689. [Google Scholar] [CrossRef]
- Cheng, A.; Williamitis, C.A.; Slaughter, M.S. Comparison of continuous-flow and pulsatile-flow left ventricular assist devices: Is there an advantage to pulsatility? Ann. Cardiothorac. Surg. 2014, 3, 573–581. [Google Scholar] [CrossRef]
- Ozturk, C.; Rosalia, L.; Roche, E.T. A Multi-Domain Simulation Study of a Pulsatile-Flow Pump Device for Heart Failure With Preserved Ejection Fraction. Front. Physiol. 2022, 13, 815787. [Google Scholar] [CrossRef]
- Shi, Y.; Brown, A.G.; Lawford, P.V.; Arndt, A.; Nuesser, P.; Hose, D.R. Computational modelling and evaluation of cardiovascular response under pulsatile impeller pump support. Interface Focus 2011, 1, 320–337. [Google Scholar] [CrossRef]
- Gil, A.; Navarro, R.; Quintero, P.; Mares Bou, A. Transient Performance Analysis of Centrifugal Left Ventricular Assist Devices Coupled with Windkessel Model: Les Study on Continuous and Pulsatile Flow Operation. J. Biomech. Eng. 2024, 146, 101008. [Google Scholar] [CrossRef]
- Wiegmann, L.; Thamsen, B.; de Zélicourt, D.; Granegger, M.; Boës, S.; Schmid Daners, M.; Meboldt, M.; Kurtcuoglu, V. Fluid Dynamics in the HeartMate 3: Influence of the Artificial Pulse Feature and Residual Cardiac Pulsation. Artif. Organs 2018, 43, 363–376. [Google Scholar] [CrossRef]
- Huang, F.; Lei, H.; Ying, S.; Fu, Y.; Li, Q.; Ruan, X. Numerical hemolysis performance evaluation of a rotary blood pump under different speed modulation profiles. Front. Physiol. 2023, 14, 1116266. [Google Scholar] [CrossRef]
- Boraschi, A.; Bozzi, S.; Thamsen, B.; Granegger, M.; Wiegmann, L.; Pappalardo, F.; Slepian, M.J.; Kurtcuoglu, V.; Redaelli, A.; De Zélicourt, D.; et al. Thrombotic Risk of Rotor Speed Modulation Regimes of Contemporary Centrifugal Continuous-flow Left Ventricular Assist Devices. ASAIO J. 2020, 67, 737–745. [Google Scholar] [CrossRef]
- Chen, C.; Zhang, M.; Hao, P.; He, F.; Zhang, X. An in silico analysis of unsteady flow structures in a microaxial blood pump under a pulsating rotation speed. Comput. Methods Programs Biomed. 2024, 243, 107919. [Google Scholar] [CrossRef]
- Li, Y.; Yu, J.; Wang, H.; Xi, Y.; Deng, X.; Chen, Z.; Fan, Y. Investigation of the influence of blade configuration on the hemodynamic performance and blood damage of the centrifugal blood pump. Artif. Organs 2022, 46, 1817–1832. [Google Scholar] [CrossRef]
- Wang, L.; Yun, Z.; Yao, J.; Tang, X.; Feng, Y.; Xiang, C. A novel model for hemolysis estimation in rotating impeller blood pumps considering red blood cell aging. Front. Physiol. 2023, 14, 1174188. [Google Scholar] [CrossRef]
- Giersiepen, M.; Wurzinger, L.J.; Opitz, R.; Reul, H. Estimation of shear stress-related blood damage in heart valve prostheses--in vitro comparison of 25 aortic valves. Int. J. Artif. Organs 1990, 13, 300–306. [Google Scholar] [CrossRef]
- Bludszuweit, C. Three-dimensional numerical prediction of stress loading of blood particles in a centrifugal pump. Artif. Organs 1995, 19, 590–596. [Google Scholar] [CrossRef]
- Myagmar, O. Evaluation of CFD Based Hemolysis Prediction Methods. Thesis. Rochester Institute of Technology. 2011. Available online: https://repository.rit.edu/theses/5822 (accessed on 22 May 2024).
- Xu, Z.; Yang, M.; Wang, X.; Wang, Z. The Influence of Different Operating Conditions on the Blood Damage of a Pulsatile Ventricular Assist Device. ASAIO J. 2015, 61, 656–663. [Google Scholar] [CrossRef]
- ASTM F1841-19; Standard Practice for Assessment of Hemolysis in Continuous Flow Blood Pumps. ASTM: West Conshohocken, PA, USA, 2021.
- von Petersdorff-Campen, K.; Schmid Daners, M. Hemolysis Testing In Vitro: A Review of Challenges and Potential Improvements. ASAIO J. 2021, 68, 3–13. [Google Scholar] [CrossRef]
- Lippi, G.; Luca Salvagno, G.; Montagnana, M.; Brocco, G.; Cesare Guidi, G. Influence of hemolysis on routine clinical chemistry testing. Clin. Chem. Lab. Med. (CCLM) 2006, 44, 311–316. [Google Scholar] [CrossRef]
- Wu, P.; Gao, Q.; Hsu, P.L. On the representation of effective stress for computing hemolysis. Biomech. Model. Mechanobiol. 2019, 18, 665–679. [Google Scholar] [CrossRef]
- Garon, A.; Farinas, M.I. Fast Three-dimensional Numerical Hemolysis Approximation. Artif. Organs 2004, 28, 1016–1025. [Google Scholar] [CrossRef]
- Letzen, B.; Park, J.; Tuzun, Z.; Bonde, P. Design and Development of a Miniaturized Percutaneously Deployable Wireless Left Ventricular Assist Device: Early Prototypes and Feasibility Testing. ASAIO J. 2018, 64, 147–153. [Google Scholar] [CrossRef]















| Item | Parameter |
|---|---|
| Retention time | 12 h |
| Anticoagulant | Sodium citrate |
| Hematocrit | 36% |
| Temperature | 4 °C |
| Time (min) | NIH (g/100 L) | NIH (g/100 L) | NIH (g/100 L) | Average (g/100 L) |
|---|---|---|---|---|
| 60 | 0.016 | 0.0178 | 0.0156 | 0.01647 |
| 120 | 0.0289 | 0.0267 | 0.0297 | 0.02843 |
| 180 | 0.0055 | 0.0069 | 0.0196 | 0.01067 |
| 240 | 0.0461 | 0.0401 | 0.0385 | 0.04157 |
| 300 | 0.0266 | 0.0454 | 0.042 | 0.038 |
| 360 | 0.0085 | 0.0149 | 0.0169 | 0.01343 |
Disclaimer/Publisher’s Note: The statements, opinions and data contained in all publications are solely those of the individual author(s) and contributor(s) and not of MDPI and/or the editor(s). MDPI and/or the editor(s) disclaim responsibility for any injury to people or property resulting from any ideas, methods, instructions or products referred to in the content. |
© 2024 by the authors. Licensee MDPI, Basel, Switzerland. This article is an open access article distributed under the terms and conditions of the Creative Commons Attribution (CC BY) license (https://creativecommons.org/licenses/by/4.0/).
Share and Cite
Liu, Y.; Zhu, Y.; Wang, S.; Fu, H.; Lu, Z.; Yang, M. Impact of Impeller Speed Adjustment Interval on Hemolysis Performance of an Intravascular Micro-Axial Blood Pump. Micromachines 2024, 15, 934. https://doi.org/10.3390/mi15070934
Liu Y, Zhu Y, Wang S, Fu H, Lu Z, Yang M. Impact of Impeller Speed Adjustment Interval on Hemolysis Performance of an Intravascular Micro-Axial Blood Pump. Micromachines. 2024; 15(7):934. https://doi.org/10.3390/mi15070934
Chicago/Turabian StyleLiu, Yuan, Yuanfei Zhu, Shangting Wang, Hualin Fu, Zhexin Lu, and Ming Yang. 2024. "Impact of Impeller Speed Adjustment Interval on Hemolysis Performance of an Intravascular Micro-Axial Blood Pump" Micromachines 15, no. 7: 934. https://doi.org/10.3390/mi15070934
APA StyleLiu, Y., Zhu, Y., Wang, S., Fu, H., Lu, Z., & Yang, M. (2024). Impact of Impeller Speed Adjustment Interval on Hemolysis Performance of an Intravascular Micro-Axial Blood Pump. Micromachines, 15(7), 934. https://doi.org/10.3390/mi15070934

