Design of a Portable Low-Cost I-V Curve Tracer for On-Line and In Situ Inspection of PV Modules
Abstract
1. Introduction
2. Materials and Methods
2.1. Principle of Operation
2.2. Device Implementation
2.2.1. Disconnecting Circuit
2.2.2. Control Unit
- The START command is sent to the MCU from the remote controller.
- The MCU electrically disconnects the PV module under test by deactivating the disconnecting MOSFET (MDISC).
- A preliminary measurement of VOC (VEXT1 and VEXT2 are set to 0 and MSC is deactivated) and ISC (VEXT1 = VEXT2 = 0 and MSC is activated).
- The MCU controller computes the current and voltage resolution as follows:where N is the number of points (set to 128). ∆IPV corresponds to the minimum current distance between two consecutive operating points captured in the vertical branch of the I-V curve, and ∆VPV corresponds to the minimum voltage distance between two consecutive operating points captured in the horizontal branch of the I-V curve. Equation 4 assumes a square-shaped I-V characteristic.
- The MCU calculates the required voltage steps:
- The complete flowchart of the I-V sweeping is systematically described in Algorithm 1. The first data point inserted into the buffer, k = 0, is the VOC previously acquired. The MCU measures the second data point (k = 1) incrementing VEXT1 and imposing VEXT2 = 0, assuming that it lies on the vertical branch of the I-V curve. The next task is the identification of the I-V branch. The MCU calculates the slope at the actual operating points as follows:where (Vk−1; Ik−1) is the data point acquired at the k − 1st iteration, whereas (Vk; Ik) is the data point acquired at the k-th iteration. The slope is compared to a threshold value, corresponding to the knee of the I-V curve, calculated as in [25]:
- 7.
- Once the measurement is completed, the MCU turns ON MDISC to restore the normal operation of the PV module under test.
- 8.
- The data points are sent to the remote controller over the wireless link.
| Algorithm 1. Flowchart of the I-V sweeping. | |
| Pseudo-code of the Algorithm | |
| 1 | k = 1 |
| 2 | VEXT1 = 0 |
| 3 | VEXT2 = 0 |
| 4 | V [0] = VOC |
| 5 | I [0] = 0 |
| 6 | WHILE k < N |
| 7 | IF k == 1 |
| 8 | VEXT1+ = ∆VEXT1 |
| 9 | VEXT2 = 0 |
| 10 | ELSE |
| 11 | COMPUTE |
| 12 | IF slope < knee |
| 13 | VEXT2+ = ∆VEXT2 |
| 14 | ELSE |
| 15 | VEXT1+ = ∆VEXT1 |
| 16 | END IF-ELSE |
| 17 | END IF-ELSE |
| 18 | SEND VEXT1 AND VEXT2 TO DAC |
| 19 | RECEIVE VNEW AND INEW FROM ADC |
| 20 | COMPUTE |
| 21 | COMPUTE |
| 22 | IF OR |
| 23 | V[k] = VNEW |
| 24 | I[k] = INEW |
| 25 | k++ |
| 26 | END IF |
| 27 | END WHILE |
2.2.3. Wireless Communication Module
2.3. Experimental Setup
3. Results
3.1. Prototype Design
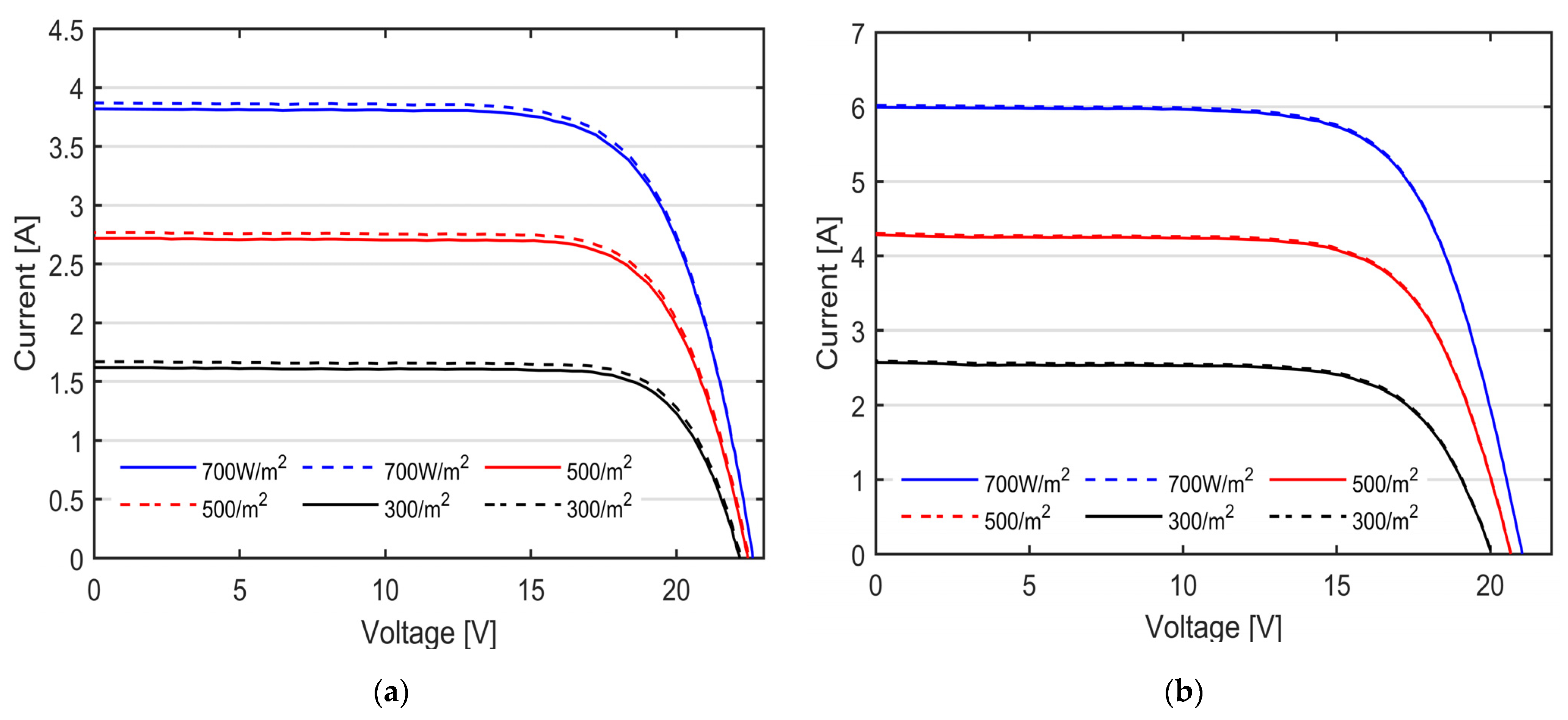
3.2. Measured I-V Curves
4. Discussion
5. Conclusions
Author Contributions
Funding
Data Availability Statement
Conflicts of Interest
References
- Afridi, M.; Kumar, A.; Mahmood, F.I.; Tamizhmani, G. Hotspot testing of glass/backsheet and glass/glass PV modules pre-stressed in extended thermal cycling. Sol. Energy 2023, 249, 467–475. [Google Scholar] [CrossRef]
- Dhimish, M.; Badran, G. Field Study of Photovoltaic Systems with Anti-Potential-Induced-Degradation Mechanism: UVF, EL, and Performance Ratio Investigations. Photonics 2023, 10, 225. [Google Scholar] [CrossRef]
- Chaichan, M.T.; Kazem, H.A.; Al-Waeli, A.H.A.; Sopian, K.; Fayad, M.A.; Alawee, W.H.; Dhahad, H.A.; Isahak, W.N.R.W.; Al-Amiery, A.A. Sand and Dust Storms’ Impact on the Efficiency of the Photovoltaic Modules Installed in Baghdad: A Review Study with an Empirical Investigation. Energies 2023, 16, 3938. [Google Scholar] [CrossRef]
- Dhimish, M.; d’Alessandro, V.; Daliento, S. Investigating the impact of cracks on solar cells performance: Analysis based on non-uniform and uniform crack distributions. IEEE Trans. Ind. Inform. 2021, 18, 1684–1693. [Google Scholar] [CrossRef]
- Dhimish, M.; Lazaridis, P.I. An empirical investigation on the correlation between solar cell cracks and hotspots. Sci. Rep. 2021, 11, 23961. [Google Scholar] [CrossRef]
- Jordan, D.C.; Anderson, K.; Perry, K.; Muller, M.; Deceglie, M.; White, R.; Deline, C. Photovoltaic fleet degradation insights Progress in Photovoltaics: Research and Applications. Prog. Photovolt. Res. Appl. 2022, 30, 1166–1175. [Google Scholar] [CrossRef]
- Chaibi, Y.; Malvoni, M.; Chouder, A.; Boussetta, M.; Salhi, M. Simple and efficient approach to detect and diagnose electrical faults and partial shading in photovoltaic systems. Energy Convers. Manag. 2019, 196, 330–343. [Google Scholar] [CrossRef]
- Yang, B.; Yu, T.; Zhang, X.; Li, H.; Shu, H.; Sang, Y.; Jiang, L. Dynamic leader based collective intelligence for maximum power point tracking of PV systems affected by partial shading condition. Energy Convers. Manag. 2019, 179, 286–303. [Google Scholar] [CrossRef]
- González, I.; Portalo, J.M.; Calderón, A.J. Configurable IoT Open-Source Hardware and Software I-V Curve Tracer for Photovoltaic Generators. Sensors 2021, 21, 7650. [Google Scholar] [CrossRef]
- Shapsough, S.; Takrouri, M.; Dhaouadi, R.; Zualkernan, I. An IoT-based remote IV tracing system for analysis of city-wide solar power facilities. Sustain. Cities Soc. 2020, 57, 102041. [Google Scholar] [CrossRef]
- Xiao, W.; Yan, Y.; Wu, H.; Liu, B.; Li, Y. Two sets of capacitor load based IV curve tracer for photovoltaic cell. J. Instrum. 2023, 18, P09028. [Google Scholar] [CrossRef]
- Morales-Aragonés, J.I.; Gómez, V.A.; Gallardo-Saavedra, S.; Redondo-Plaza, A.; Fernández-Martínez, D.; Hernández-Callejo, L. Low-Cost Three-Quadrant Single Solar Cell I-V Tracer. Appl. Sci. 2022, 12, 6623. [Google Scholar] [CrossRef]
- Cáceres, M.; Firman, A.; Montes-Romero, J.; Mayans, A.R.G.; Vera, L.H.; Fernández, E.F.; Higueras, J.d.l.C. Low-cost I–V tracer for PV modules under real operating conditions. Energies 2020, 13, 4320. [Google Scholar] [CrossRef]
- Sayyad, J.; Nasikkar, P. Design and development of low cost, portable, on-field IV curve tracer based on capacitor loading for high power rated solar photovoltaic modules. IEEE Access 2021, 9, 70715–70731. [Google Scholar] [CrossRef]
- Londoño, C.D.; Cano, J.B.; Velilla, E. Capacitive tracer design to mitigate incomplete I-V curves in outdoor tests. Sol. Energy 2022, 243, 361–369. [Google Scholar] [CrossRef]
- Casado, P.; Blanes, J.M.; Torres, C.; Orts, C.; Marroquí, D.; Garrigós, A. Raspberry Pi based photovoltaic I-V curve tracer. HardwareX 2022, 11, e00262. [Google Scholar] [CrossRef] [PubMed]
- Kongphet, V.; Migan-Dubois, A.; Delpha, C.; Lechenadec, J.-Y.; Diallo, D. Low-Cost I–V Tracer for PV Fault Diagnosis Using Single-Diode Model Parameters and I–V Curve Characteristics. Energies 2022, 15, 5350. [Google Scholar] [CrossRef]
- Amiry, H.; Benhmida, M.; Bendaoud, R.; Hajjaj, C.; Bounouar, S.; Yadir, S.; Raïs, K.; Sidki, M. Design and implementation of a photovoltaic I-V curve tracer: Solar modules characterization under real operating conditions. Energy Convers. Manag. 2018, 169, 206–216. [Google Scholar] [CrossRef]
- Sirichote, W.; Wuttikornkanarak, C.; Srathongkao, S.; Suttiyan, S.; Somdock, N.; Klongratog, B. IV Tracer For Photovoltaic Panel. In Proceedings of the 2021 7th International Conference on Engineering, Applied Sciences and Technology (ICEAST), Pattaya, Thailand, 1–3 April 2021; pp. 54–57. [Google Scholar] [CrossRef]
- Vega, A.; Valiño, V.; Conde, E.; Ramos, A.; Reina, P. Double sweep tracer for IV curves characterization and continuous monitoring of photovoltaic facilities. Sol. Energy 2019, 190, 622–629. [Google Scholar] [CrossRef]
- Pereira, T.A.; Schmitz, L.; dos Santos, W.M.; Martins, D.C.; Coelho, R.F. Design of a portable photovoltaic i–v curve tracer based on the dc–dc converter method. IEEE J. Photovolt. 2021, 11, 552–560. [Google Scholar] [CrossRef]
- Gao, Q.; Zhang, Y.; Yu, Y.; Meng, F.; Liu, Z. Effects of I–V Measurement Parameters on the Hysteresis Effect and Optimization in High-Capacitance PV Module Testing. IEEE J. Photovolt. 2018, 8, 710–718. [Google Scholar] [CrossRef]
- Nguyen-Duc, T.; Nguyen-Duc, H.; Le-Viet, T.; Takano, H. Single-Diode Models of PV Modules: A Comparison of Conventional Approaches and Proposal of a Novel Model. Energies 2020, 13, 1296. [Google Scholar] [CrossRef]
- Raya-Armenta, J.M.; Ortega, P.R.; Bazmohammadi, N.; Spataru, S.V.; Vasquez, J.C.; Guerrero, J.M. An Accurate Physical Model for PV Modules with Improved Approximations of Series-Shunt Resistances. IEEE J. Photovolt. 2021, 11, 699–707. [Google Scholar] [CrossRef]
- Sera, D.; Mathe, L.; Kerekes, T.; Spataru, S.V.; Teodorescu, R. On the Perturb-and-Observe and Incremental Conductance MPPT Methods for PV Systems. IEEE J. Photovolt. 2013, 3, 1070–1078. [Google Scholar] [CrossRef]
- Laird Connectivity, BT740-SC datasheet, July 2013, Rev. August 2020. Available online: https://docs.rs-online.com/84f8/A700000007224734.pdf (accessed on 12 June 2024).
- Mavromatakis, F.; Vignola, F.; Marion, B. Low irradiance losses of photovoltaic modules. Sol. Energy 2017, 157, 496–506. [Google Scholar] [CrossRef]
- Fernández-Solas, Á.; Micheli, L.; Almonacid, F.; Fernández, E.F. Optical degradation impact on the spectral performance of photovoltaic technology. Renewable and Sustainable Energy Rev. 2021, 141, 110782. [Google Scholar] [CrossRef]
- IEC 60904; Photovoltaic Devices. International Electrotechnical Commission: Geneva, Switzerland, 2020.
- Caballero, J.A.; Fernández, E.F.; Theristis, M.; Almonacid, F.; Nofuentes, G. Spectral Corrections Based on Air Mass, Aerosol Optical Depth, and Precipitable Water for PV Performance Modeling. IEEE J. Photovolt. 2018, 8, 552–558. [Google Scholar] [CrossRef]
- Louzazni, M.; Al-Dahidi, S. Approximation of photovoltaic characteristics curves using Bézier Curve. Renew. Energy 2021, 174, 715–732. [Google Scholar] [CrossRef]
- Suntech, 415W Solar Panel, STP415S-C54, Datasheet. Available online: https://www.suntech-power.com (accessed on 12 June 2023).
- Wang, N.; Meng, F.; Zhang, L.; Liu, Z.; Liu, W. Light soaking of hydrogenated amorphous silicon: A short review. Carbon Neutrality 2024, 3, 18. [Google Scholar] [CrossRef]
- Badran, G.; Dhimish, M. A Comparative Study of Bifacial versus Monofacial PV Systems at the UK Largest Solar Plant. Clean Energy 2024, zkae043. [Google Scholar] [CrossRef]
- IEC 61646; Thin-Film Terrestrial Photovoltaic (PV) Modules—Design Qualification and Type Approval. International Electrotechnical Commission: Geneva, Switzerland, 2008.










| N-Type Mono-Si | Mono-Si | a-Si Thin Film | Poly-Si | |||
|---|---|---|---|---|---|---|
| #1 | #2 | A | B | |||
| Prated [Wp] | 415 | 20 | 100 | 100 | 120 | |
| VOC [V] | 37.67 | 21.6 | 22.5 | 23.75 | 22.0 | |
| ISC [A] | 13.95 | 1.1 | 5.75 | 5.5 | 7.93 | |
| VMPP [V] | 31.81 | 18.5 | 18.9 | 19.8 | 17.5 | |
| IMPP [A] | 13.05 | 0.7 | 5.29 | 5 | 6.98 | |
| Efficiency [%] | 21.3 | 19.2 | 19.2 | 23 | 17 | |
| T coefficient PMAX [%/°C] | −0.30 | −0.44 | −0.44 | −0.2 | −0.5 | |
| Bifaciality factor | 0.8 | - | - | - | - | |
| Description | Model | ||
|---|---|---|---|
| MCU | 16-bit, 70 MHz clock speed | DSPIC33EP256GM604-I-PT | |
| Current Sensor | Hall-sensor IC | LEM HY 15-P | |
| Voltage Sensor | Resistive voltage divider | - | |
| DAC | 12-bit double-channel | MCP4822-E/MS | |
| NPN Darlington | Leg 1 | 90 V, 50 A | MJ11032G |
| Leg 2 | 100 V, 20 A | MJH6284G | |
| PNP Darlington | 60 V, 4 A | BD678 | |
| R1 | 1 Ω, 100 W | Ohmite TEH100M1R00FE | |
| R2 | 10 Ω, 100 W | Ohmite TEH100M10R0FE | |
| MSC | 80 V, 120 A | PSMN2R8-80BS | |
| MDISC | 80 V, 120 A | PSMN2R8-80BS | |
| DBYP | 100 V, 30 A | VS-30CPQ100PBF | |
| BT | - | LAIRD TECNOLOGIES BT740-SC | |
| Battery | 3.7 V, 2050 mAh, 7.59 Wh | - | |
| Price (EUR) | |
|---|---|
| Proposed I-V tracer | 355.00 |
| Amprobe Solar-600 | 2048.05 |
| RS ISM 490A | 1261.63 |
| Seaward PV200 | 1720.80 |
| DS-100C | 5298.22 |
| Gf [W/m2] | Gb [W/m2] | TAMB [°C] | TPV [°C] | VOC [V] | ISC [A] | PMAX [W] | ||
|---|---|---|---|---|---|---|---|---|
| N-type mono-Si | #1 | 710 | 120 | 26 | 38 | 36.35 | 9.76 | 283.5 |
| 502 | 101 | 24 | 35 | 35.69 | 7.09 | 204.2 | ||
| 303 | 80 | 21 | 28 | 36.01 | 4.18 | 121.76 | ||
| #2 | 709 | 119 | 26 | 38 | 36.01 | 8.13 | 208.2 | |
| 502 | 101 | 24 | 35 | 35.15 | 5.80 | 126 | ||
| 320 | 82 | 21 | 28 | 35.60 | 3.48 | 60.2 | ||
| Mono-Si | A | 711 | - | 26 | 39 | 19.94 | 0.24 | 2.95 |
| 502 | - | 24 | 38 | 19.42 | 0.17 | 1.65 | ||
| 299 | 21 | 31 | 18.49 | 0.10 | 0.59 | |||
| B | 711 | - | 26 | 39 | 20.65 | 3.81 | 44.79 | |
| 510 | - | 24 | 37 | 20.29 | 2.71 | 30.09 | ||
| 312 | - | 21 | 31 | 19.94 | 1.65 | 20.59 | ||
| a-Si thin film | 699 | - | 26 | 38 | 22.62 | 3.82 | 62.25 | |
| 510 | - | 24 | 35 | 22.45 | 2.82 | 45.58 | ||
| 305 | - | 21 | 28 | 22.17 | 1.63 | 27.75 | ||
| Poly-Si | 700 | - | 26 | 39 | 21.04 | 5.99 | 88.94 | |
| 510 | - | 24 | 35 | 20.67 | 4.32 | 63.05 | ||
| 305 | - | 21 | 28 | 20.00 | 2.58 | 36.58 | ||
| Bifacial N-Type Mono-Si | Mono-Si | a-Si Thin Film | Poly-Si | |||
|---|---|---|---|---|---|---|
| #1 | #2 | A | B | |||
| Mean [%] | 0.94 | 1.69 | 2.13 | 3.04 | 1.28 | 0.38 |
| Standard Deviation [%] | 5.14 × 10−15 | 0.16 | 0.25 | 0.41 | 0.15 | 0.045 |
Disclaimer/Publisher’s Note: The statements, opinions and data contained in all publications are solely those of the individual author(s) and contributor(s) and not of MDPI and/or the editor(s). MDPI and/or the editor(s) disclaim responsibility for any injury to people or property resulting from any ideas, methods, instructions or products referred to in the content. |
© 2024 by the authors. Licensee MDPI, Basel, Switzerland. This article is an open access article distributed under the terms and conditions of the Creative Commons Attribution (CC BY) license (https://creativecommons.org/licenses/by/4.0/).
Share and Cite
De Riso, M.; Dhimish, M.; Guerriero, P.; Daliento, S. Design of a Portable Low-Cost I-V Curve Tracer for On-Line and In Situ Inspection of PV Modules. Micromachines 2024, 15, 896. https://doi.org/10.3390/mi15070896
De Riso M, Dhimish M, Guerriero P, Daliento S. Design of a Portable Low-Cost I-V Curve Tracer for On-Line and In Situ Inspection of PV Modules. Micromachines. 2024; 15(7):896. https://doi.org/10.3390/mi15070896
Chicago/Turabian StyleDe Riso, Monica, Mahmoud Dhimish, Pierluigi Guerriero, and Santolo Daliento. 2024. "Design of a Portable Low-Cost I-V Curve Tracer for On-Line and In Situ Inspection of PV Modules" Micromachines 15, no. 7: 896. https://doi.org/10.3390/mi15070896
APA StyleDe Riso, M., Dhimish, M., Guerriero, P., & Daliento, S. (2024). Design of a Portable Low-Cost I-V Curve Tracer for On-Line and In Situ Inspection of PV Modules. Micromachines, 15(7), 896. https://doi.org/10.3390/mi15070896

