Analysis of a Flexible Photoconductor, Manufactured with Organic Semiconductor Films
Abstract
1. Introduction
2. Materials and Methods
3. Results and Discussion
3.1. Morphological Characterization of Heterostructure
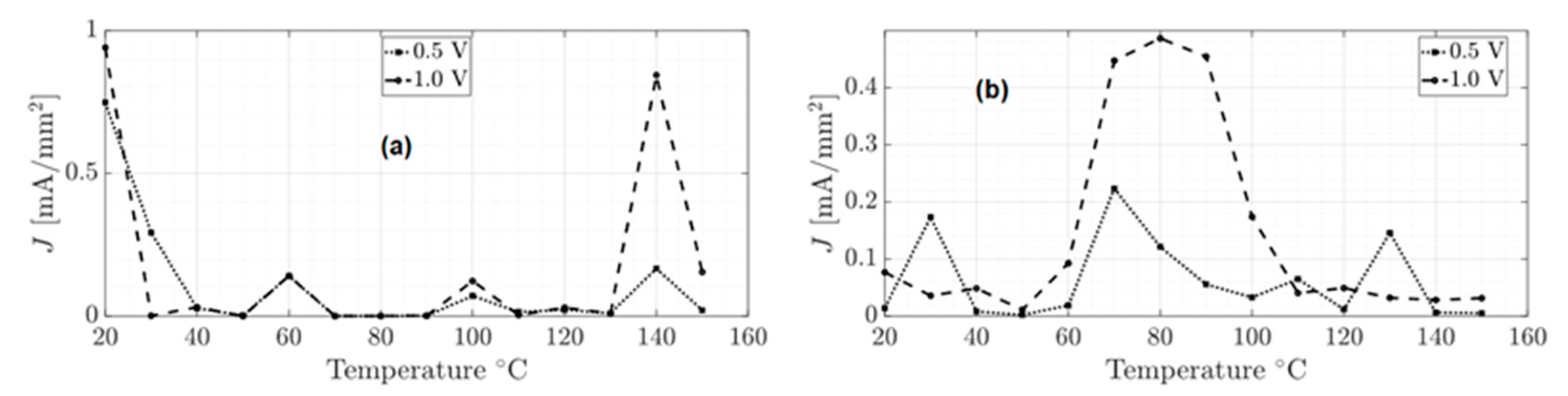
3.2. Electrical Characterization of the Device
4. Conclusions
Author Contributions
Funding
Data Availability Statement
Acknowledgments
Conflicts of Interest
References
- Catania, F.; De Souza Oliveira, H.; Lugoda, P.; Cantarella, G.; Münzenrieder, N. Thin-film electronics on active substrates: Review of materials, technologies, and applications. J. Phys. D Appl. Phys. 2022, 88, 323002. [Google Scholar] [CrossRef]
- Hamilton, M.C.; Martin, S.; Kanicki, J. Thin-film organic polymer phototransistors. IEEE Trans. Electron Devices 2004, 51, 877–885. [Google Scholar] [CrossRef]
- Mishra, A.; Bäuerle, P. Small molecule organic semiconductors on the move: Promises for future solar energy technology. Angew. Chem. Int. Ed. 2012, 51, 2020–2067. [Google Scholar] [CrossRef] [PubMed]
- Mattox, D.M. Physical vapor deposition (PVD) processes. Met. Finish. 2002, 100, 394–408. [Google Scholar] [CrossRef]
- Bonfiglio, A.; De Rossi, D.; Kirstein, T.; Locher, I.; Mameli, F.; Paradiso, R.; Vozzi, G. Organic field effect transistors for textile applications. IEEE Trans. Inf. Technol. Biomed. 2005, 9, 319–324. [Google Scholar] [CrossRef] [PubMed]
- Maccioni, M.; Orgiu, E.; Cosseddu, P.; Locci, S.; Bonfiglio, A. Towards the textile transistor: Assembly and characterization of an organic field effect transistor with a cylindrical geometry. Appl. Phys. Lett. 2006, 89, 143515. [Google Scholar] [CrossRef]
- Salvatore, G.A.; Münzenrieder, N.; Kinkeldei, T.; Petti, L.; Zysset, C.; Strebel, I.; Büthe, L.; Tröster, G. Wafer-scale design of lightweight and transparent electronics that wraps around hairs. Nat. Commun. 2014, 5, 2982. [Google Scholar] [CrossRef] [PubMed]
- Kim, K.S.; Ahn, C.H.; Kang, W.J.; Cho, S.W.; Jung, S.H.; Yoon, D.H.; Cho, H.K. An all oxide-based imperceptible thin-film transistor with humidity sensing properties. Materials 2017, 10, 530. [Google Scholar] [CrossRef] [PubMed]
- Kim, Y.-H.; Lee, E.; Um, J.G.; Mativenga, M.; Jang, J. Highly robust neutral plane oxide tfts withstanding 0.25 mm bending radius for stretchable electronics. Sci. Rep. 2016, 6, 25734. [Google Scholar] [CrossRef] [PubMed]
- Münzenrieder, N.; Cantarella, G.; Vogt, C.; Petti, L.; Büthe, L.; Salvatore, G.A.; Fang, Y.; Andri, R.; Lam, Y.; Libanori, R.; et al. Stretchable and conformable oxide thin-film electronics. Adv. Electron. Mater. 2015, 1, 1400038. [Google Scholar] [CrossRef]
- Coropceanu, V.; Cornil, J.; Silva Filho, D.A.S.; Olivier, Y.; Silbey, R.; Brédas, J.L. Charge Transport in Organic Semiconductors. Chem. Rev. 2007, 107, 926. [Google Scholar] [CrossRef]
- Sánchez Vergara, M.E.; Cantera Cantera, L.A.; Rios, C.; Salcedo, R.; Lozada Flores, O.; Dutt, A. Preparation of Hybrid Films Based in Aluminum 8-Hydroxyquinoline as Organic Semiconductor for Photoconductor Applications. Sensors 2023, 23, 7708. [Google Scholar] [CrossRef] [PubMed]
- Wang, J.; Liu, D.; Yu, L.; Liu, F.; Niu, J.; Yang, G.; Lu, C.; Lu, N.; Li, L.; Liu, M. Collective transport for nonlinear current-voltage characteristics of doped conducting polymers. Phys. Rev. Lett. 2023, 130, 177001. [Google Scholar] [CrossRef] [PubMed]
- Li, L.; Lu, N.; Liu, M.; Bässler, H. General Einstein relation model in disordered organic semiconductors under quasiequilibrium. Phys. Rev. B 2014, 90, 214107. [Google Scholar] [CrossRef]
- Lu, N.; Li, L.; Liu, M. Universal carrier thermoelectric-transport model based on percolation theory in organic semiconductors. Phys. Rev. B 2015, 91, 195205. [Google Scholar] [CrossRef]
- Ihnatsenka, S.; Crispin, X.; Zozoulenko, I.V. Understanding hopping transport and thermoelectric properties of conducting polymers. Phys. Rev. B 2015, 92, 035201. [Google Scholar] [CrossRef]
- Varo, P.L.; Tejada, J.J.; Villanueva, J.L.; Carceller, J.E.; Deen, M.J. Modeling the transition from ohmic to space charge limited current in organic semiconductors. Org. Electron 2012, 13, 1700–1709. [Google Scholar] [CrossRef]
- Haldi, A.; Sharma, A.; Potscavage, W.J.; Kippelen, B. Equivalent circuit model for organic single-layer diodes. J. Appl. Phys. 2008, 104, 064503. [Google Scholar] [CrossRef]
- Lin, C.-F.; Zhang, M.; Liu, S.-W.; Chiu, T.-L.; Lee, J.-H. High Photoelectric Conversion Efficiency of Metal Phthalocyanine/Fullerene Heterojunction Photovoltaic Device. Int. J. Mol. Sci. 2011, 12, 476–505. [Google Scholar] [CrossRef] [PubMed]
- Chang, C.-C.; Lin, C.-F.; Chiou, J.-M.; Ho, T.-H.; Tai, Y.; Lee, J.-H.; Chen, Y.-F.; Wang, J.-K.; Chen, L.-C.; Chen, K.-H. Effects of cathode buffer layers on the efficiency of bulk-heterojunction solar cells. Appl. Phys. Lett. 2010, 96, 263506:1–263506:3. [Google Scholar] [CrossRef]
- Melville, O.A.; Grant, T.M.; Lochhead, K.; King, B.; Ambrose, R.; Rice, N.A.; Boileau, N.T.; Peltekoff, A.J.; Tousignant, M.; Hill, I.G.; et al. Contact Engineering Using Manganese, Chromium and Bathocuproine in Group 14 Phthalocyanine Organic Thin-Film Transistors. ACS Appl. Electron. Mater. 2020, 2, 1313–1322. [Google Scholar] [CrossRef]
- Hill, I.G.; Kahn, A. Organic Semiconductor Heterointerfaces Containing Bathocuproine. J. Appl. Phys. 1999, 86, 4515–4519. [Google Scholar] [CrossRef]
- Toyoshima, S.; Kuwabara, K.; Sakurai, T.; Taima, T.; Saito, K.; Kato, H.; Akimoto, K. Electronic Structure of Bathocuproine on Metal Studied by Ultraviolet Photoemission Spectroscopy. Jpn. J. Appl. Phys. 2007, 46, 2692–2695. [Google Scholar] [CrossRef]
- Brabec, C.J.; Cravino, A.; Meissner, D.; Sariciftci, N.S.; Fromherz, T.; Rispens, M.T.; Sanchez, L.; Hummelen, J.C. Origin of the open circuit voltage of plastic solar cells. Adv. Funct. Mater. 2001, 11, 374–380. [Google Scholar] [CrossRef]
- Kumar, A.; Sista, S.; Yang, Y. Dipole induced anomalous S-shape I-V curves in polymer solar cells. J. Appl. Phys. 2009, 105, 094512:1–094512:6. [Google Scholar] [CrossRef]
- Cantarella, G.; Vogt, C.; Hopf, R.; Münzenrieder, N.; Andrianakis, P.; Petti, L.; Daus, A.; Knobelspies, S.; Büthe, L.; Tröster, G.; et al. Buckled thin-film transistors and circuits on soft elastomers for stretchable electronics. ACS Appl. Mater. Interfaces 2017, 9, 28750–28757. [Google Scholar] [CrossRef] [PubMed]
- Yin, M.-J.; Yin, Z.; Zhang, Y.; Zheng, Q.; Zhang, A.P. Micropatterned elastic ionic polyacrylamide hydrogel for low-voltage capacitive and organic thin-film transistor pressure sensors. Nano Energy 2019, 58, 96–104. [Google Scholar] [CrossRef]
- Grant, T.M.; Josey, D.S.; Sampson, K.L.; Mudigonda, T.; Bender, T.P.; Lessard, B.H. Boron Subphthalocyanines and Silicon Phthalocyanines for Use as Active Materials in Organic Photovoltaics. Chem. Rec. 2019, 19, 1093–1112. [Google Scholar] [CrossRef] [PubMed]
- Osifeko, O.L.; Nyokong, T. Efects of symmetry and the number of positive charges on the photocatalytic activity of indium phthalocyanines when embedded in electrospun fibers. Inorg. Chim. Acta 2017, 458, 50–57. [Google Scholar] [CrossRef]
- Köksoy, M.A.; Köksoy, B.; Durmus¸, M.; Bulut, M. Preparation, characterization and photophysicochemical properties of novel tetra 7-(diethyl 2-methylmalonatoxy)-3-(p-oxyphenyl) coumarin-substituted zinc(II) and indium(III)chloride phthalocyanines. J. Organomet. Chem. 2016, 822, 125–134. [Google Scholar] [CrossRef]
- Sevim, A.M.; Yenilmez, H.Y.; Aydemir, M.; Koca, A.; Bayır, Z.A. Synthesis, electrochemical and spectroelectrochemical properties of novel phthalocyanine complexes of manganese, titanium and indium. Electrochim. Acta 2014, 137, 602–615. [Google Scholar] [CrossRef]
- Yamamoto, Y.; Harada, S.; Yamamoto, D.; Honda, W.; Arie, T.; Akita, S.; Takei, K. Printed multifunctional flexible device with an integrated motion sensor for health care monitoring. Sci. Adv. 2016, 2, e1601473. [Google Scholar] [CrossRef] [PubMed]
- Gangopadhyay, A.; Nablo, B.J.; Rao, M.V.; Reyes, D.R. Flexible thin-film electrodes on porous polyester membranes for wearable sensors. Adv. Eng. Mater. 2017, 19, 1600592. [Google Scholar] [CrossRef]
- Reeder, J.; Kaltenbrunner, M.; Ware, T.; Arreaga-Salas, D.; Avendano-Bolivar, A.; Yokota, T.; Inoue, Y.; Sekino, M.; Voit, W.; Sekitani, T.; et al. Mechanically adaptive organic transistors for implantable electronics. Adv. Mater. 2014, 26, 4967–4973. [Google Scholar] [CrossRef] [PubMed]
- Li, C.; Islam, M.M.; Moore, J.; Sleppy, J.; Morrison, C.; Konstantinov, K.; Dou, S.X.; Renduchintala, C.; Thomas, J. Wearable energy-smart ribbons for synchronous energy harvest and storage. Nat. Commun. 2016, 7, 13319. [Google Scholar] [CrossRef] [PubMed]
- Lee, C.Y.; Lin, M.Y.; Wu, W.H.; Wang, J.Y.; Chou, Y.; Su, W.F.; Chen, Y.F.; Lin, C.F. Flexible ZnO transparent thin-film transistors by a solution-based process at various solution concentrations. Semicond. Sci. Technol. 2010, 25, 105008. [Google Scholar] [CrossRef]
- Murphy, A.R.; Fréchet, J.M.J. Organic Semiconducting Oligomers for Use in Thin Film Transistors. Chem. Rev. 2007, 107, 1071. [Google Scholar] [CrossRef]
- Tiwari, S.; Greenham, N.C. Charge mobility measurement techniques in organic semiconductors. Opt. Quant. Electron. 2009, 41, 69–89. [Google Scholar] [CrossRef]
- Kokil, A.; Yang, K.; Kumar, J. Techniques for characterization of charge carrier mobility in organic semiconductors. J. Polym. Sci. B Polym. Phys. 2012, 50, 1130–1144. [Google Scholar] [CrossRef]
- Baeg, K.-J.; Binda, M.; Natali, D.; Caironi, M.; Noh, Y.-Y. Organic Light Detectors: Photodiodes and Phototransistors. Adv. Mater. 2013, 25, 4267–4295. [Google Scholar] [CrossRef] [PubMed]
- Koopmans, M.; Leiviskä, M.A.T.; Liu, J.; Dong, J.; Qiu, L.; Hummelen, J.C.; Portale, G.; Heiber, M.C.; Jan Anton Koster, L. Electrical conductivity of doped organic semiconductors limited by carrier–carrier interactions. ACS Appl. Mater. Interfaces 2020, 12, 56222–56230. [Google Scholar] [CrossRef] [PubMed]
- Gopinathan, T.G.; Menon, C.S. Studies on the electrical and optical properties of magnesium phthalocyanine thin films. J. Chem. 2004, 1, 231–236. [Google Scholar] [CrossRef]
- Chen, Y.; Yao, Q.; Qu, S.; Shi, W.; Li, H.; Chen, L. Significantly Enhanced Thermoelectric Properties of Copper Phthalocyanine/Single-Walled Carbon Nanotube Hybrids by Iodine Doping. ACS Appl. Mater. Interfaces 2021, 13, 55156–55163. [Google Scholar] [CrossRef] [PubMed]
- Senaed, F.A.; Hussein, M.T. Organic-inorganic ITO/CuPc/CdS/CuPc/Al solar cell prepared via pulsed laser deposition. AIP Conf. Proc. 2022, 2400, 030016. [Google Scholar] [CrossRef]
- Yadav, H.O. Relation between the thermal activation energy of conduction and the first excited singlet state energy—A case of photo-conducting organic materials. Thin Solid Film. 2005, 477, 222–226. [Google Scholar] [CrossRef]
- Varghese, A.; Menon, C. Electrical conductivity studies of mixed phthalocyanine thin films. Open Phys. 2005, 3, 8–14. [Google Scholar] [CrossRef]
- Farag, A.A.M. Optical absorption studies of copper phthalocyanine thin films. Opt. Laser Technol. 2007, 39, 728–732. [Google Scholar] [CrossRef]












| Device | Root Mean Square Roughness, RMS (nm) | Average Roughness, Ra (nm) | Mechanical Resistance, σ (MPa) | Deformation, ε | Knoop Hardness HK |
|---|---|---|---|---|---|
| Unannealed | 516.3 | 437.1 | 8.47 | 0.79 | 0.707 |
| Annealing | 686.1 | 594.9 | 5.72 | 0.95 | 8.061 |
| Light | Test 1 | Test 2 | ||
|---|---|---|---|---|
| RMSE | RMSE | |||
| Natural | 0.08705979 | 0.00617437 | 0.09471705 | 0.00212908 |
| White | 0.04529801 | 0.0019811 | 0.04627688 | 0.00049613 |
| Blue | 0.03446765 | 0.00388346 | 0.02908861 | 0.00053178 |
| Green | 0.11644374 | 0.00676704 | 0.06317508 | 0.00144987 |
| Yellow | 0.16776354 | 0.00712602 | 0.12015676 | 0.00120055 |
| Orange | 0.16147168 | 0.00611561 | 0.14180718 | 0.00168812 |
| Red | 0.18024985 | 0.0060544 | 0.14394332 | 0.00165194 |
| UV | 0.17918761 | 0.00560352 | 0.16777995 | 0.00106624 |
| Darkness | 0.1780607 | 0.00632636 | 0.16046157 | 0.00127097 |
| Light | Test 1 | Test 2 | ||
|---|---|---|---|---|
| RMSE | RMSE | |||
| Natural | 0.17147882 | 0.03089169 | 0.01467322 | 0.00023808 |
| White | 0.00976286 | 0.00161872 | 0.01311807 | 0.00023409 |
| Blue | 0.0254416 | 0.00835951 | 0.04990492 | 0.00071396 |
| Green | 0.02858158 | 0.00168213 | 0.05118732 | 0.00062774 |
| Yellow | 0.03048879 | 0.00105127 | 0.0334294 | 0.00047129 |
| Orange | 0.02773862 | 0.00140013 | 0.03134337 | 0.00045289 |
| Red | 0.02720028 | 0.00134271 | 0.03661899 | 0.00048585 |
| UV | 0.02614121 | 0.001166 | 0.03263465 | 0.00051688 |
| Darkness | 0.02554637 | 0.00071586 | 0.02990165 | 0.00048967 |
| Light | Test 1 | Test 2 | ||
|---|---|---|---|---|
| RMSE | RMSE | |||
| Natural | 0.25940246 | 0.01071593 | 0.08966493 | 0.00313641 |
| White | 0.33061948 | 0.00621719 | 0.25260032 | 0.00263576 |
| Blue | 0.32881991 | 0.00647173 | 0.2300788 | 0.0028575 |
| Green | 0.29996569 | 0.00633598 | 0.19416457 | 0.00396543 |
| Yellow | 0.25940246 | 0.01071593 | 0.1492419 | 0.00348888 |
| Orange | 0.25940246 | 0.01071593 | 0.13641547 | 0.00331512 |
| Red | 0.25180822 | 0.00934293 | 0.12487324 | 0.00312465 |
| UV | 0.19141202 | 0.02708307 | 0.13176643 | 0.00334344 |
| Darkness | 0.19261198 | 0.02658968 | 0.11371691 | 0.00290263 |
| Light | |
|---|---|
| Natural | 0.0210 |
| White | 0.0019 |
| Blue | 0.0071 |
| Green | 0.0073 |
| Yellow | 0.0048 |
| Orange | 0.0045 |
| Red | 0.0052 |
| UV | 0.0046 |
| Darkness | 0.0042 |
| Light | ||
|---|---|---|
| Unannealed Device | Accelerated Illumination Conditions | |
| Natural | 5.4507 | 5.1600 |
| White | 2.9788 | 1.6260 |
| Blue | 4.9218 | 3.8930 |
| Green | 1.0422 | 3.2030 |
| Yellow | 3.0351 | 3.7697 |
| Orange | 3.8203 | 3.6751 |
| Red | 3.3192 | 2.8795 |
| UV | 4.3412 | 3.4094 |
| Darkness | 4.5313 | 3.2113 |
Disclaimer/Publisher’s Note: The statements, opinions and data contained in all publications are solely those of the individual author(s) and contributor(s) and not of MDPI and/or the editor(s). MDPI and/or the editor(s) disclaim responsibility for any injury to people or property resulting from any ideas, methods, instructions or products referred to in the content. |
© 2024 by the authors. Licensee MDPI, Basel, Switzerland. This article is an open access article distributed under the terms and conditions of the Creative Commons Attribution (CC BY) license (https://creativecommons.org/licenses/by/4.0/).
Share and Cite
Cantera Cantera, L.A.; Sánchez Vergara, M.E.; Hamui, L.; Mejía Prado, I.; Flores Huerta, A.; Martínez Plata, T.L. Analysis of a Flexible Photoconductor, Manufactured with Organic Semiconductor Films. Micromachines 2024, 15, 446. https://doi.org/10.3390/mi15040446
Cantera Cantera LA, Sánchez Vergara ME, Hamui L, Mejía Prado I, Flores Huerta A, Martínez Plata TL. Analysis of a Flexible Photoconductor, Manufactured with Organic Semiconductor Films. Micromachines. 2024; 15(4):446. https://doi.org/10.3390/mi15040446
Chicago/Turabian StyleCantera Cantera, Luis Alberto, María Elena Sánchez Vergara, Leon Hamui, Isidro Mejía Prado, Alejandro Flores Huerta, and Teresa Lizet Martínez Plata. 2024. "Analysis of a Flexible Photoconductor, Manufactured with Organic Semiconductor Films" Micromachines 15, no. 4: 446. https://doi.org/10.3390/mi15040446
APA StyleCantera Cantera, L. A., Sánchez Vergara, M. E., Hamui, L., Mejía Prado, I., Flores Huerta, A., & Martínez Plata, T. L. (2024). Analysis of a Flexible Photoconductor, Manufactured with Organic Semiconductor Films. Micromachines, 15(4), 446. https://doi.org/10.3390/mi15040446

