Research on Key Technologies of Microarray Chips for Detecting Drug-Resistant Genes in Helicobacter pylori
Abstract
1. Introduction
2. Materials and Methods
2.1. Reagents and Instruments
2.2. Source of Samples
2.3. Chip Design
2.4. Detection System
2.5. Primers and Probes
2.6. Preparation of Microarray Chips
2.7. Experimental Section
2.7.1. Experimental Investigation of Substrate Materials for Microarray Chips
2.7.2. Verification of Optical Uniformity in the Fluorescence Signal Acquisition System
2.7.3. Linearity of the Fluorescence Signal Acquisition System
2.7.4. Identification of H. pylori Drug Resistance by the E-Test Method
2.7.5. Microarray Chip Detection
3. Results and Discussion
3.1. Verification of Excitation Light Path and Imaging System Performance
3.1.1. Verification of Excitation Light Path Performance
3.1.2. Verification of Imaging System Performance
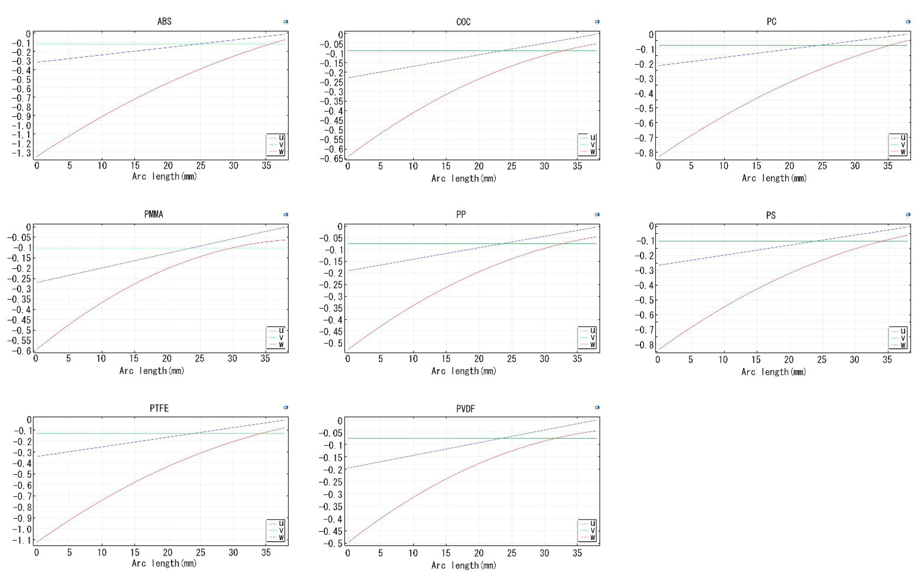
3.2. Optical and Thermal Characteristics of Chip Materials
3.2.1. Transparency Characteristics of Chip Material
3.2.2. Thermal Characteristics of Chip Material
3.2.3. Material Photoexcitation Effects
3.3. Device Performance Verification
3.3.1. Light Uniformity
3.3.2. Linearity
3.4. Detection of Helicobacter pylori Drug-Resistance Genes
4. Conclusions
Author Contributions
Funding
Data Availability Statement
Conflicts of Interest
References
- Gupta, R.S. Molecular signatures (unique proteins and conserved indels) that are specific for the epsilon proteobacteria (Campylobacterales). BMC Genom. 2006, 7, 167. [Google Scholar] [CrossRef] [PubMed]
- Bravo, D.; Hoare, A.; Soto, C.; Valenzuela, M.A.; Quest, A.F.G. Helicobacter pylori in human health and disease:Mechanisms for local gastric and systemic effects. World J. Gastroenterol. 2018, 24, 3071–3089. [Google Scholar] [CrossRef] [PubMed]
- Yoshii, S.; Mabe, K.; Watano, K.; Ohno, M.; Matsumoto, M.; Ono, S.; Kudo, T.; Nojima, M.; Kato, M.; Sakamoto, N. Validity of endoscopic features for the diagnosis of Helicobacter pylori infection status based on the Kyoto classification of gastritis. Dig. Endosc. 2019, 32, 74–83. [Google Scholar] [CrossRef]
- Souissi, S.; Makni, C.; Ammar, L.B.; Bousnina, O.; Kallel, L. Correlation between the intensity of Helicobacter pylori colonization and severity of gastritis: Results of a prospective study. Helicobacter 2022, 27, e12910. [Google Scholar] [CrossRef] [PubMed]
- Kotera, T.; Nishimi, Y.; Kushima, R.; Haruma, K. Regression of Autoimmune Gastritis after Eradication of Helicobacter pylori. Case Rep. Gastroenterol. 2023, 17, 34–40. [Google Scholar] [CrossRef]
- Khatun, S.; Shadia, K.; Mahmud, M.; Mazumder, S.; Haq, J.A. Helicobacter pylori infection in diabetes mellitus patients with peptic ulcer disease. IMC J. Med. Sci. 2021, 14, 27–32. [Google Scholar] [CrossRef]
- Choi, I.J.; Kook, M.C.; Kim, Y.I.; Cho, S.J.; Lee, J.Y.; Kim, C.G.; Park, B.; Nam, B.H. Helicobacter pylori Therapy for the Prevention of Metachronous Gastric Cancer. N. Engl. J. Med. 2018, 378, 1085–1095. [Google Scholar] [CrossRef]
- Moss, S.F. The Clinical Evidence Linking Helicobacter pylori to Gastric Cancer. Cell. Mol. Gastroenterol. Hepatol. 2017, 3, 183–191. [Google Scholar] [CrossRef] [PubMed]
- Phạm, H.K.; Dương, Q.H.; Nguyễn, Q.D.; Trần, T.H.T.; Vũ, V.K. Study on the Presence of Oipa and Dupa Genes of Helicobacter Pylori in Gastric Cancer Patients. J. Mil. Med. Pharm. 2023, 48, 73–80. [Google Scholar] [CrossRef]
- Ramirez, R.; Lopez, D.E.R.; Godinez, F.J.; Camey, C.; Gramajo, M. Helicobacter pylori-negative gastric cancer in Guatemala: Incidence, clinical characteristics, treatment modalities, and outcomes. J. Clin. Oncol. 2020, 38, 318. [Google Scholar] [CrossRef]
- Shim, H.I.; Lee, D.H.; Cho, J.H.; Shin, C.M.; Kim, N. Low-grade gastric mucosa-associated lymphoid tissue lymphoma: Clinicopathological factors associated with Helicobacter pylori eradication and tumor regression. J. Clin. Oncol. 2020, 38, 353. [Google Scholar] [CrossRef]
- Soliman, Y.; Chitnavis, M.V.; Chitnavis, V. S3115 Helicobacter pylori-Negative MALT Lymphoma: A Report of 2 Cases Directly Treated with Radiotherapy. Am. J. Gastroenterol. 2021, 116, S1285. [Google Scholar] [CrossRef]
- Versalovic, J.; Shortridge, D.; Kibler, K.; Griffy, M.V.; Beyer, J.; Flamm, R.K.; Tanaka, S.K.; Graham, D.Y.; Go, M.F. Mutations in 23S rRNA are associated with clarithromycin resistance in Helicobacter pylori. Antimicrob. Agents Chemother. 1996, 40, 477–480. [Google Scholar] [CrossRef]
- Occhialini, A.; Urdaci, M.; Doucet-Populaire, F.; CM, B.; Lamouliatte, H.; Mégraud, F. Macrolide resistance in Helicobacter pylori: Rapid detection of point mutations and assays of macrolide binding to ribosomes. Antimicrob. Agents Chemother. 1997, 41, 2724–2728. [Google Scholar] [CrossRef]
- Khademi, F.; Sahebkar, A. An Updated Systematic Review and Meta-Analysis on the Helicobacter pylori Antibiotic Resistance in Iran (2010–2020). Microb. Drug Resist. 2020, 26, 1186–1194. [Google Scholar] [CrossRef] [PubMed]
- Albasha, A.M.; Alnosh, M.M.; Osman, E.H.; Zeinalabdin, D.M.; Fadl, A.A.M.; Altayb, H.N. Helicobacter pylori 23S rRNA gene A2142G, A2143G, T2182C, and C2195T mutations associated with clarithromycin resistance detected in Sudanese patients. BMC Microbiol. 2021, 21, 38. [Google Scholar] [CrossRef] [PubMed]
- Versalovic, J.; Osato, M.S.; Spakovsky, K.; Dore, M.P.; Reddy, R.; Stone, G.G.; Shortridge, D.; Flamm, R.K.; Tanaka, S.K.; Graham, D.Y. Point mutations in the 23S rRNA gene of Helicobacter pylori associated with different levels of clarithromycin resistance. J. Antimicrob. Chemother. 1997, 40, 283–286. [Google Scholar] [CrossRef][Green Version]
- De Francesco, V.; Zullo, A.; Giorgio, F.; Saracino, I.; Zaccaro, C.; Hassan, C.; Ierardi, E.; Di Leo, A.; Fiorini, G.; Castelli, V. Change of point mutations in Helicobacter pylori rRNA associated with clarithromycin resistance in Italy. J. Med. Microbiol. 2014, 63, 453–457. [Google Scholar] [CrossRef] [PubMed]
- Ducournau, A.; Bénéjat, L.; Sifré, E.; Bessède, E.; Lehours, P.; Mégraud, F. Helicobacter pylori resistance to antibiotics in 2014 in France detected by phenotypic and genotypic methods. Clin. Microbiol. Infect. 2016, 22, 715–718. [Google Scholar] [CrossRef]
- Stone, G.G. A PCR-oligonucleotide ligation assay to determine the prevalence of 23S rRNA gene mutations in clarithromycin-resistant Helicobacter pylori. Antimicrob. Agents Chemother. 1997, 41, 712–714. [Google Scholar] [CrossRef]
- Tamayo, E.; Montes, M.; Fernández-Reyes, M.; Lizasoain, J.; Ibarra, B.; Mendarte, U.; Zapata, E.; Mendiola, J.; Pérez-Trallero, E. Clarithromycin resistance in Helicobacter pylori and its molecular determinants in Northern Spain, 2013–2015. J. Glob. Antimicrob. Resist. 2017, 9, 43–46. [Google Scholar] [CrossRef]
- Vianna, J.S.; Ramis, I.B.; Ramos, D.F.; Von Groll, A.; da Silva, P.E.A. Drug Resistance in Helicobacter pylori. Arq. Gastroenterol. 2016, 53, 213–214. [Google Scholar] [CrossRef]
- Shetty, V.; Lamichhane, B.; Tay, C.Y.; Pai, G.C.; Lingadakai, R.; Balaraju, G.; Shetty, S.; Ballal, M.; Chua, E.G. High primary resistance to metronidazole and levofloxacin, and a moderate resistance to clarithromycin in Helicobacter pylori isolated from Karnataka patients. Gut Pathog. 2019, 11, 21. [Google Scholar] [CrossRef]
- Dramanac, R.; Labat, I.; Brukner, I.; Crkvenjakov, R. Sequencing of megabase plus DNA by hybridization: Theory of the method. Genomics 1989, 4, 114–128. [Google Scholar] [CrossRef]
- Fodor, S.; Read, J.; Pirrung, M.; Stryer, L.; Lu, A.; Solas, D. Light-directed, spatially addressable parallel chemical synthesis. Science 1991, 251, 767–773. [Google Scholar] [CrossRef] [PubMed]
- Brunetti, G.; Conteduca, D.; Armenise, M.N.; Ciminelli, C. Novel Micro-Nano Optoelectronic Biosensor for Label-Free Real-Time Biofilm Monitoring. Biosensors 2021, 11, 361. [Google Scholar] [CrossRef] [PubMed]
- Therisod, R.; Tardif, M.; Marcoux, P.R.; Picard, E.; Jager, J.B.; Hadji, E.; Peyrade, D.; Houdré, R. Gram-type differentiation of bacteria with 2D hollow photonic crystal cavities. Appl. Phys. Lett. 2018, 113, 111101. [Google Scholar] [CrossRef]
- Wang, Y.; Reardon, C.P.; Read, N.; Thorpe, S.; Evans, A.; Todd, N.; Van Der Woude, M.; Krauss, T.F. Attachment and antibiotic response of early-stage biofilms studied using resonant hyperspectral imaging. NPJ Biofilms Microbiomes 2020, 6, 57. [Google Scholar] [CrossRef] [PubMed]
- di Toma, A.; Brunetti, G.; Chiriaco, M.S.; Ferrara, F.; Ciminelli, C. A Novel Hybrid Platform for Live/Dead Bacteria Accurate Sorting by On-Chip DEP Device. Int. J. Mol. Sci. 2023, 24, 7077. [Google Scholar] [CrossRef] [PubMed]
- Leva-Bueno, J.; Peyman, S.A.; Millner, P.A. A review on impedimetric immunosensors for pathogen and biomarker detection. Med. Microbiol. Immunol. 2020, 209, 343–362. [Google Scholar] [CrossRef] [PubMed]
- Yin, G.; Bie, S.; Gu, H.; Shu, X.; Zheng, W.; Peng, K.; Zhao, H.; Li, F.; Chen, B.; Botchway, B.O.A.; et al. Application of gene chip technology in the diagnostic and drug resistance detection of Helicobacter pylori in children. J. Gastroenterol. Hepatol. 2020, 35, 1331–1339. [Google Scholar] [CrossRef]
- Wu, W.; Cheng, P.; Lyu, J.; Zhang, Z.; Xu, J. Tag Array gene chip rapid diagnosis anti-tuberculosis drug resistance in pulmonary tuberculosis—A feasibility study. Tuberculosis 2018, 110, 96–103. [Google Scholar] [CrossRef] [PubMed]
- Yu, Q.; Wang, Y.; Gao, Z.; Yang, H.; Liu, S.; Tan, J.; Yang, L. DNA microarray chip assay in new use: Early diagnostic value in cutaneous mycobacterial infection. Front. Cell. Infect. Microbiol. 2023, 13, 1183078. [Google Scholar] [CrossRef]
- Southern, E.M.; Case-Green, S.C.; Elder, J.K.; Johnson, M.; Mir, K.U.; Wang, L.; Williams, J.C. Arrays of complementary oligonucleotides for analysing the hybridisation behaviour of nucleic acids. Nucleic Acids Res. 1994, 22, 1368–1373. [Google Scholar] [CrossRef]
- Lamture, J.B.; Kenneth, L.; Burke, B.E.; Eggers, M.D.; Ehrlich, D.J.; Rick, F.; Hollis, M.A.; Kosicki, B.B.; Reich, R.K.; Smith, S.R. Direct detection of nucleic acid hybridization on the surface of a charge coupled device. Nucleic Acids Res. 1994, 22, 2121–2125. [Google Scholar] [CrossRef]
- Hoheisel, J.D.; Maier, E.; Mott, R.; Mccarthy, L.; Lehrach, H. High resolution cosmid and P1 maps spanning the 14 Mb genome of the fission yeast S. pombe. Cell 1993, 73, 109–120. [Google Scholar] [CrossRef] [PubMed]
- Nimse, S.; Song, K.; Sonawane, M.; Sayyed, D.; Kim, T. Immobilization Techniques for Microarray: Challenges and Applications. Sensors 2014, 14, 22208–22229. [Google Scholar] [CrossRef]
- Sola, L.; Cretich, M.; Damin, F.; Chiari, M. Surface modifications by polymers for biomolecule conjugation. Methods Mol. Biol. 2013, 1025, 95–107. [Google Scholar] [PubMed]
- Draghici, S.; Khatri, P.; Eklund, A.C.; Szallasi, Z. Reliability and reproducibility issues in DNA microarray measurements. Trends Genet. 2006, 22, 101–109. [Google Scholar] [CrossRef]
- Jordan, B.R. Is there a niche for DNA microarrays in molecular diagnostics? Expert Rev. Mol. Diagn. 2010, 10, 875–882. [Google Scholar] [CrossRef]
- Shi, L.; Tong, W.; Goodsaid, F.; Frueh, F.W.; Fang, H.; Han, T.; Fuscoe, J.C.; Casciano, D.A. QA/QC: Challenges and pitfalls facing the microarray community and regulatory agencies. Expert Rev. Mol. Diagn. 2004, 4, 761. [Google Scholar] [CrossRef] [PubMed]
- Yauk, C.L.; Berndt, M.L. Review of the literature examining the correlation among DNA microarray technologies. Environ. Mol. Mutagen. 2007, 48, 380–394. [Google Scholar] [CrossRef] [PubMed]











| Primers | Sequence (5′-3′) | Corresponding Site(s) |
|---|---|---|
| 16s rRNA-F | CTCATGCGAAGGCGACCT | 16s rRNA |
| 16s rRNA-R | TCTAATCCTGTTTGCTCCCCA | 16s rRNA |
| 16s rRNA-P | FAM-ATTACTGACGCTGATTGCGCGAAAGC-MGB | 16s rRNA |
| CagA-F | ATAATGCTAAATTAGACAACTTGAGCGA | CagA |
| CagA-R | TTAGAATAATCAACAAACATCACGCCAT | CagA |
| CagA-P | FAM-TCAGCTAGCCCTGAACCCATTTACGCTAC-MGB | CagA |
| A2115G-F | CAGTGAAATTGTAGTGGAGGTGATG | A2115G |
| G2141A-F | ACCCGCGGCAAGACAA | G2141A |
| A2142G-F | CCGCGGCAAGACTGG | A2142G |
| A2142C-F | CCGCGGCAAGACAGC | A2142C |
| A2142T-F | ACCCGCGGCAAGACAGT | A2142T |
| A2143G-F | CCGCGGCAAGACGTAG | A2143G |
| A2143C-F | CCCGCGGCAAGACGTAC | A2143C |
| A2144G-F | GCGGCAAGACGGATGG | A2144G |
| A2146G-F | GCGGCAAGACGGAAAAG | A2146G |
| A2146C-F | CGGCAAGACGGAACGC | A2146C |
| T2190C-F | CAACTTAGCACTGCTAATGGGAATAC | T2190C |
| A2192G-F | ACTTAGCACTGCTAATGGGAATATCATCT | A2192G |
| C2195T-F | CTTAGCACTGCTAATGGGAATATCATCT | C2195T |
| G2204C-F | GGAATATCATGCGCAGGATGC | G2204C |
| T2215C-F | AGGATAGGTGGGAGGCCC | T2215C |
| A2223G-F | GTGGGAGGCTTTGAAGTCG | A2223G |
| G2224A-F | GGTGGGAGGCTTTGAAGTACA | G2224A |
| A2143G-A2142G-F | CCGCGGCAAGACGGGG | A2143G-A2142G |
| A2143G-A2142C-F | CCGCGGCAAGACGGGG | A2143G-A2142C |
| R-1 | GGCTTTGGCTCTTATGGAGC | A2115G; G2141A; A2142G; A2142C; A2142T; A2143G; A2143C; A2144G; A2146G; A2146C; |
| R-2 | GGGTGGTATCTCAAGGATGGCT | T2190C; A2192G; C2195T; G2204C; T2215C; A2223G; G2224A |
| P1 | FAM-CCGTGGACCTTTACTACAA-MGB | A2115G; G2141A; A2142G; A2142C; A2142T; A2143G; A2143C; A2144G; A2146G; A2146C |
| P2 | FAM-ATAGGTGGGAGGCTTT-MGB | T2190C; A2192G; C2195T |
| P3 | FAM-CTTTGGCTCTTATGGAG-MGB | G2204C; T2215C; A2223G; G2224A |
| IC-F | CTGGAGCTAGGCATGATTGGA | Reference gene (IC) |
| IC-R | CACATTGTTGCCTTGTTGGTCTTT | Reference gene (IC) |
| IC-P | FAM-ACGGTGGCGTTCCAATCA-MGB | Reference gene (IC) |
| Columns | Fluor per μm2 | μM Labeled |
|---|---|---|
| 15 | 40,960 | 8.14778 |
| 14 | 20,480 | 4.07389 |
| 13 | 10,240 | 2.03695 |
| 12 | 5120 | 1.01847 |
| 11 | 2560 | 0.50924 |
| 10 | 1280 | 0.25462 |
| 9 | 640 | 0.12731 |
| 8 | 320 | 0.06365 |
| 7 | 160 | 0.03183 |
| 6 | 80 | 0.01591 |
| 5 | 40 | 0.00796 |
| 4 | 20 | 0.00398 |
| 3 | 10 | 0.00199 |
| 2 | 5 | 0.00099 |
| 1 | 0 | 0 |
| Material Category | Thermal Conductivity (W/m/K) | Density (g/cm3) | Coefficient of Thermal Expansion | Constant-Pressure Heat Capacity (J/(kg × K)) | Young’s Modulus (Mpa) | Poisson’s Ratio |
|---|---|---|---|---|---|---|
| COC | 0.1200 | 1.0200 | 0.7000 × 10−4 | 1290 | 3200 | 0.3900 |
| PVDF | 0.1000 | 1.7800 | 0.6000 × 10−4 | 1170 | 1030 | 0.4000 |
| PMMA | 0.1920 | 1.1500 | 0.8300 × 10−4 | 1465 | 3160 | 0.3200 |
| PP | 0.1470 | 0.8900 | 0.5800 × 10−4 | 1881 | 890 | 0.4203 |
| PC | 0.1975 | 1.2000 | 0.6530 × 10−4 | 1172 | 2320 | 0.3902 |
| PS | 0.0800 | 1.0500 | 0.8000 × 10−4 | 1300 | 3000 | 0.3870 |
| PTFE | 0.2560 | 2.1000 | 1.0300 × 10−4 | 1000 | 1140 | 0.4000 |
| ABS | 0.2256 | 1.0200 | 0.9500 × 10−4 | 1386 | 2000 | 0.3940 |
| Materials | Deformation (mm) | Optical Transmittance | ||
|---|---|---|---|---|
| X | Y | Z | ||
| ABS | −0.32 | −0.12 | −1.35 | 0.82 |
| COC | −0.23 | −0.09 | −0.64 | 0.84 |
| PC | −0.22 | −0.08 | −0.83 | 0.84 |
| PMMA | −0.27 | −0.11 | −0.6 | 0.86 |
| PP | −0.19 | −0.07 | −0.53 | 0.86 |
| PS | −0.26 | −0.1 | −0.84 | 0.85 |
| PTFE | −0.34 | −0.13 | −1.13 | 0.91 |
| PVDF | −0.2 | −0.08 | −0.5 | 0.89 |
| Spot Area | AFI (Actual Fluorescence Intensity) | lg (AFI) | FCD (Fluorophore Cluster Density) | lg (FCD) | |
|---|---|---|---|---|---|
| 1 | 661 | 5.62 × 106 | 6.75 | 10,240 | 4.01 |
| 2 | 661 | 5.07 × 106 | 6.70 | 5120 | 3.71 |
| 3 | 661 | 4.56 × 106 | 6.66 | 2560 | 3.41 |
| 4 | 661 | 3.95 × 106 | 6.60 | 1280 | 3.11 |
| 5 | 661 | 3.52 × 106 | 6.55 | 640 | 2.81 |
| 6 | 661 | 3.08 × 106 | 6.49 | 320 | 2.51 |
| 7 | 661 | 2.66 × 106 | 6.43 | 160 | 2.20 |
| 8 | 661 | 1.90 × 106 | 6.28 | 80 | 1.90 |
| 9 | 661 | 1.32 × 106 | 6.12 | 40 | 1.60 |
| 10 | 661 | 9.56 × 105 | 5.98 | 20 | 1.30 |
| 11 | 661 | 9.32 × 105 | 5.97 | 10 | 1.00 |
| Background Points | 661 | 7.40 × 105 | / | / | / |
| Sample ID | E-Test | Fluorescence Intensity | Area | Genetic Mutation Locus | |||||||
|---|---|---|---|---|---|---|---|---|---|---|---|
| 16S rRNA Mean | CagA Mean | Reference Gene Mean | Mutant Gene Mean | Mutant/ BackM | Back Ground Value 1 | Back Ground Value 2 | Back Ground MEAN | ||||
| 8 | 32 | 247.94 | 251.02 | 249.37 | 252.48 | 4.25 | 77.84 | 41.03 | 59.44 | 124 | A2143C |
| 1 | 16 | 249.70 | 246.82 | 249.29 | 245.95 | 3.85 | 63.87 | 63.91 | 63.89 | 124 | A2413G |
| 15 | 8 | 254.06 | 254.63 | 254.98 | 204.82 | 3.07 | 49.93 | 83.56 | 66.74 | 124 | A2115G |
| 14 | 24 | 230.07 | 224.69 | 232.40 | 219.81 | 4.02 | 49.82 | 59.65 | 54.73 | 124 | A2143G |
| 11 | 24 | 247.15 | 243.77 | 242.63 | 248.09 | 3.93 | 74.98 | 51.33 | 63.15 | 124 | A2143G |
| 3 | 96 | 247.89 | 248.88 | 249.11 | 253.10 | 6.40 | 39.90 | 39.24 | 39.57 | 124 | A2115G |
| 241.09 | 6.09 | C2195T | |||||||||
| 5 | 12 | 253.81 | 254.34 | 254.17 | 251.57 | 3.41 | 69.72 | 77.64 | 73.68 | 124 | A2115G |
| 2 | 8 | 247.89 | 251.99 | 252.78 | 234.74 | 3.32 | 68.77 | 72.77 | 70.77 | 124 | A2115G |
| 9 | 16 | 253.10 | 252.78 | 248.70 | 245.79 | 3.80 | 63.25 | 66.04 | 64.65 | 124 | A2143G |
| 13 | 16 | 212.57 | 224.69 | 233.99 | 177.06 | 3.66 | 50.71 | 45.98 | 48.35 | 124 | A2143G |
| 10 | 32 | 248.70 | 245.84 | 249.70 | 232.19 | 4.38 | 42.78 | 63.22 | 53.00 | 124 | A2143G |
| 17 | 16 | 250.37 | 251.19 | 250.28 | 253.85 | 3.66 | 70.98 | 67.69 | 69.34 | 124 | A2143G |
| 18 | 64 | 253.84 | 254.27 | 252.70 | 251.72 | 5.48 | 40.32 | 51.57 | 45.94 | 124 | A2142G |
| 6 | 16 | 251.57 | 252.46 | 252.37 | 250.01 | 3.66 | 67.34 | 69.43 | 68.38 | 124 | A2143G |
| 16 | 24 | 254.04 | 252.19 | 254.88 | 249.87 | 3.98 | 48.79 | 76.81 | 62.80 | 124 | A2142G |
| 12 | 32 | 251.52 | 248.54 | 247.22 | 245.11 | 4.10 | 56.02 | 63.42 | 59.72 | 124 | A2143G |
| 19 | 8 | 253.40 | 253.46 | 253.84 | 188.90 | 2.60 | 73.50 | 71.68 | 72.59 | 124 | A2115G |
| 4 | 6 | 253.95 | 254.32 | 253.52 | 183.54 | 2.50 | 73.19 | 73.68 | 73.44 | 124 | A2115G |
| 7 | 1.5 | 252.90 | 249.10 | 251.02 | 120.53 | 1.61 | 70.93 | 79.05 | 74.99 | 124 | A2115G |
Disclaimer/Publisher’s Note: The statements, opinions and data contained in all publications are solely those of the individual author(s) and contributor(s) and not of MDPI and/or the editor(s). MDPI and/or the editor(s) disclaim responsibility for any injury to people or property resulting from any ideas, methods, instructions or products referred to in the content. |
© 2024 by the authors. Licensee MDPI, Basel, Switzerland. This article is an open access article distributed under the terms and conditions of the Creative Commons Attribution (CC BY) license (https://creativecommons.org/licenses/by/4.0/).
Share and Cite
Guo, H.; Jin, X.; Zhang, H.; Gong, P.; Wang, X.; Sun, T. Research on Key Technologies of Microarray Chips for Detecting Drug-Resistant Genes in Helicobacter pylori. Micromachines 2024, 15, 416. https://doi.org/10.3390/mi15030416
Guo H, Jin X, Zhang H, Gong P, Wang X, Sun T. Research on Key Technologies of Microarray Chips for Detecting Drug-Resistant Genes in Helicobacter pylori. Micromachines. 2024; 15(3):416. https://doi.org/10.3390/mi15030416
Chicago/Turabian StyleGuo, Hongzhuang, Xiuyan Jin, Hao Zhang, Ping Gong, Xin Wang, and Tingting Sun. 2024. "Research on Key Technologies of Microarray Chips for Detecting Drug-Resistant Genes in Helicobacter pylori" Micromachines 15, no. 3: 416. https://doi.org/10.3390/mi15030416
APA StyleGuo, H., Jin, X., Zhang, H., Gong, P., Wang, X., & Sun, T. (2024). Research on Key Technologies of Microarray Chips for Detecting Drug-Resistant Genes in Helicobacter pylori. Micromachines, 15(3), 416. https://doi.org/10.3390/mi15030416

