A New Type of Si-Based MOSFET for Radiation Reinforcement
Abstract
1. Introduction
2. Device Design Principle and Simulation Result Analysis
2.1. Principle of Device Structure Design
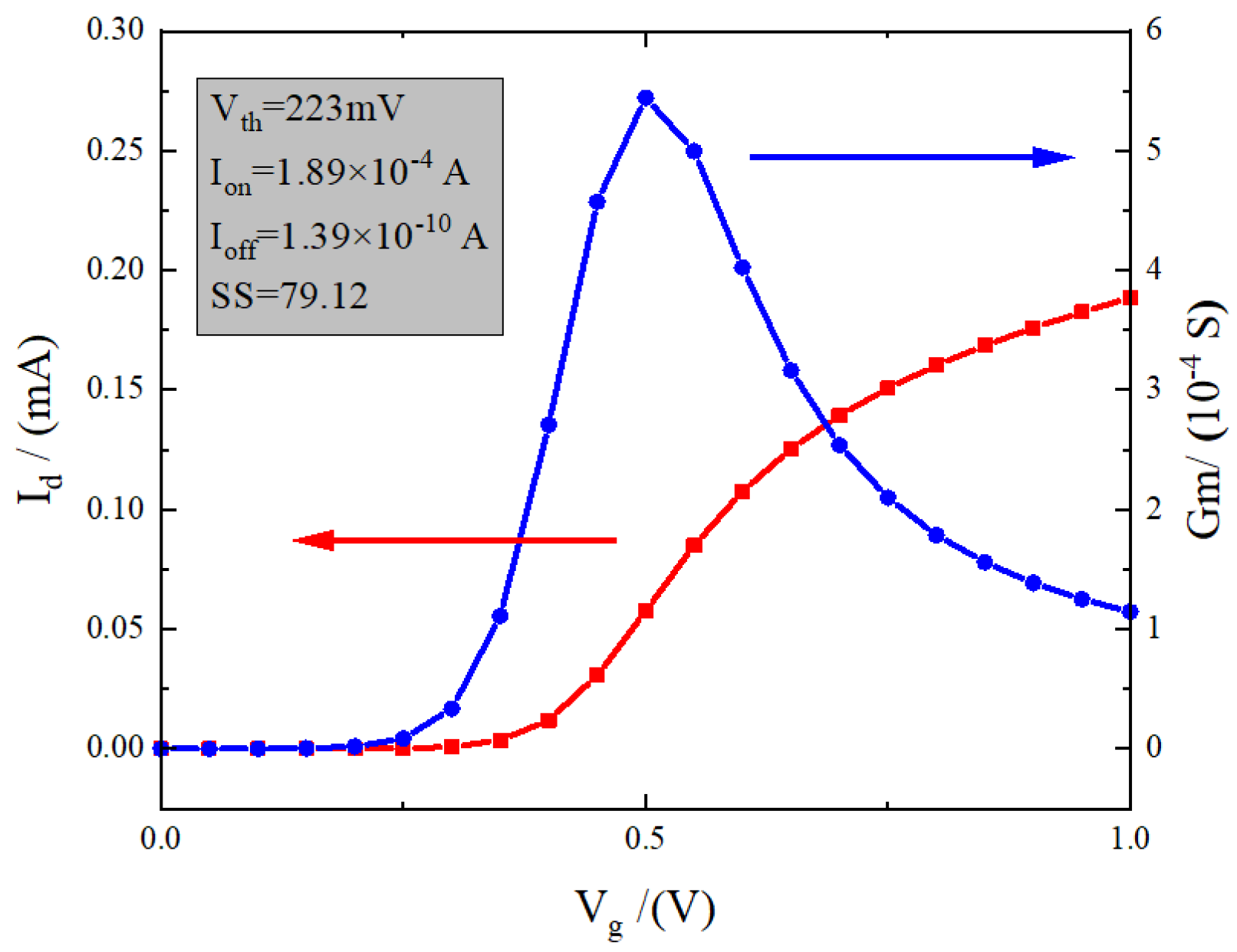
2.2. Device Simulation Model
2.3. Simulation Results Analysis of RELATIVELY LDD Region Growing Device Based on Electric Field Relaxation Theory
2.4. Simulation Results Analysis of Relatively LDD_pn Improved Device Based on Shunt Theory
3. Improvement in Device Single-Event Effect Influence Factor Analysis
3.1. Influence of Different LET Values on the Single-Event Effect of the Device
3.2. Influence of Different Incidence Positions on the Single-Event Effect of the Device
3.3. Influence of Different Incident Angles on the Single-Event Effect of the Device
3.4. Influence of PN Junction P-Type Doping Region Parameters on Single-Event Effect
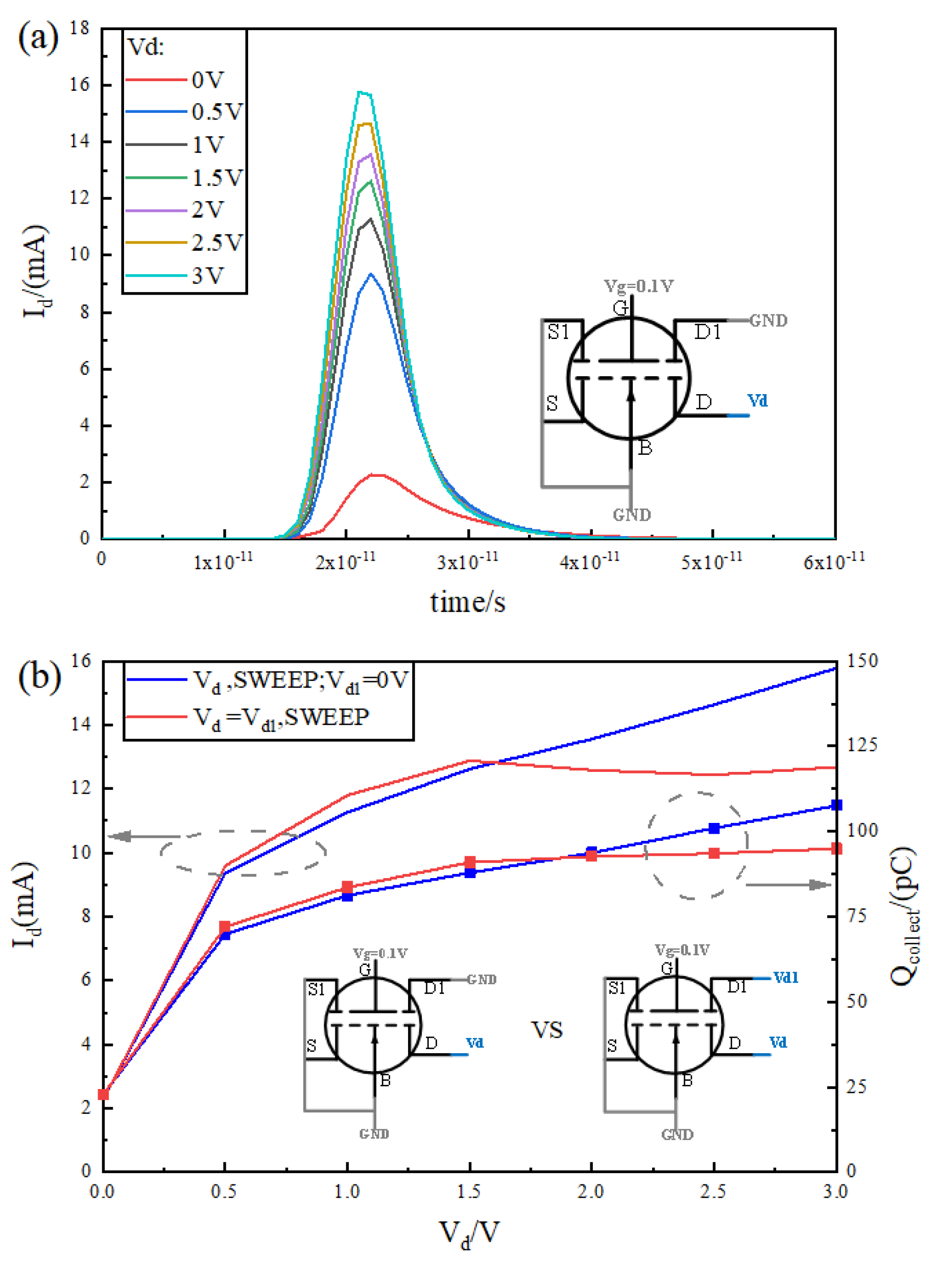
3.5. Influence of Electrode and Potential Conditions on Single-Event Effect
4. Summary
Author Contributions
Funding
Data Availability Statement
Conflicts of Interest
Abbreviations
| SEE | Single-Event Effects |
| NMOS | N-Metal-Oxide Semiconductor |
| MOS | Metal-Oxide Semiconductor |
| LET | Liner Energy Transfer |
| SRAM | Static Random-Access Memory |
| SOI | Silicon On Insulator |
| GAA | Gate All Ground |
| FinFET | Finned Field Effect Transistor |
| LDD | Lightly Doped Drain |
| TCAD | Technology Computer Aided Design |
| FWHW | Full Width at Half Maxima |
References
- Rathod, S.S.; Saxena, A.; Dasgupta, S. Radiation effects in MOS-based devices and circuits: A review. IETE Tech. Rev. 2011, 28, 451–469. [Google Scholar] [CrossRef]
- Han, Z. Introduction to Radiation Hardened Integrated Circuit; Tsinghua University Press: Beijing, China, 2011. [Google Scholar]
- Chen, R. Study of Single-Event Effects of Logic Circuits in Nanometer Bulk CMOS Process; Tsinghua University Press: Beijing, China, 2017. [Google Scholar]
- Cao, Z.; An, H.G.X. Single Event Effects of Electronic Devices and Integrated Circuits; Beijing Institute of Technology Press: Beijing, China, 2021. [Google Scholar]
- Fleetwood, D.M. Radiation Effects in a Post-Moore World. IEEE Trans. Nucl. Sci. 2021, 68, 509–545. [Google Scholar] [CrossRef]
- Griffoni, A.; Gerardin, S.; Meneghesso, G.; Paccagnella, A.; Simoen, E.; Put, S.; Claeys, C. Microdose and breakdown effects induced by heavy ions on sub 32-nm triple-gate SOI FETs. IEEE Trans. Nucl. Sci. 2008, 55, 3182–3188. [Google Scholar] [CrossRef]
- Griffoni, A.; Gerardin, S.; Meneghesso, G.; Paccagnella, A.; Simoen, E.; Claeys, C. Angular and Strain Dependence of Heavy-Ions Induced Degradation in SOI FinFETs. Nucl. Sci. IEEE Trans. 2010, 57, 1924–1932. [Google Scholar] [CrossRef]
- Chen, J.-J.; Chi, Y.-Q.; Liang, B. Mechanism of single-event transient pulse quenching between dummy gate isolated logic nodes. Chin. Phys. B 2015, 24, 404–410. [Google Scholar] [CrossRef][Green Version]
- Xue, S.; Wang, P.; Huang, R.; Zhang, X. Investigation of the off-State Behavior in Deep-Submicrometer NMOSFETs Under Heavy-Ion Irradiation by 3-D Simulation. IEEE Trans. Device Mater. Reliab. 2011, 11, 13–18. [Google Scholar] [CrossRef]
- Guo, Y.; Chen, J.J.; He, Y.B.; Liang, B.; Liu, B.W. The dual role of multiple-transistor charge sharing collection in single-event transients. Chin. Phys. B 2013, 22, 046103. [Google Scholar] [CrossRef]
- Zhao, W.; Chen, W.; Luo, Y.-H.; He, C.-H.; Shen, C. Relationship between ion track characteristics and single event transients in nanometer inverter chain. Acta Phys. Sin. 2021, 70, 126102. [Google Scholar] [CrossRef]
- Shen, R.-X.; Zhang, H.; Song, H.-J.; Hou, P.-F.; Li, B.; Liao, M.; Guo, H.-X.; Wang, J.-B.; Zhong, X.-L. Numerical simulation of single-event effects in fully-depleted silicon-on-insulator HfO2-based ferroelectric field-effect transistor memory cell. Acta Phys. Sin. 2022, 71, 068501. [Google Scholar] [CrossRef]
- Elwailly, A.; Saltin, J.; Gadlage, M.J.; Wong, H.Y. Radiation Hardness Study of LG = 20 nm FinFET and Nanowire SRAM Through TCAD Simulation. IEEE Trans. Electron Devices 2021, 68, 2289–2294. [Google Scholar] [CrossRef]
- Keller, A.M.; Whiting, T.A.; Sawyer, K.B.; Wirthlin, M.J. Dynamic SEU Sensitivity of Designs on Two 28-nm SRAM-based FPGA Architectures. IEEE Trans. Nucl. Sci. 2017, 65, 280–287. [Google Scholar] [CrossRef]
- Nidhin, T.S.; Bhattacharyya, A.; Behera, R.P.; Jayanthi, T. A Review on SEU Mitigation Techniques for FPGA Configuration Memory. IETE Tech. Rev. 2018, 35, 157–168. [Google Scholar] [CrossRef]
- Huang, P.; Chen, S.; Chen, J.; Liu, B. Novel N-hit single event transient mitigation technique via open guard transistor in 65 nm bulk CMOS process. Sci. China Technol. Sci. 2013, 56, 271–279. [Google Scholar] [CrossRef]
- Qin, J.R.; Chen, S.M.; Li, D.W.; Liang, B.; Liu, B.W. Temperature and drain bias dependence of single event transient in 25-nm FinFET technology. Chin. Phys. B 2012, 21, 089401. [Google Scholar] [CrossRef]
- Yu, J.T.; Chen, S.M.; Chen, J.J.; Huang, P.C. Fin width and height dependence of bipolar amplification in bulk FinFETs submitted to heavy ion irradiation. Chin. Phys. B 2015, 24, 119401. [Google Scholar] [CrossRef]
- Zhuo, Q.-Q.; Liu, H.-X.; Wang, Z. Single event effect of 3D H-gate SOI NMOS devices in total dose ionizing. Acta Phys. Sin. 2013, 62, 176106. [Google Scholar] [CrossRef]
- Thery, T.; Gasiot, G.; Malherbe, V.; Autran, J.L.; Roche, P. TIARA: Industrial Platform for Monte Carlo Single-Event Simulations in Planar Bulk, FD-SOI, and FinFET. IEEE Trans. Nucl. Sci. 2021, 68, 603–610. [Google Scholar] [CrossRef]
- Jha, C.K.; Aditya, K.; Gupta, C.; Gupta, A.; Dixit, A. Single Event Transients in Sub-10nm SOI MuGFETs due to Heavy-Ion Irradiation. IEEE Trans. Device Mater. Reliab. 2020, 20, 395–403. [Google Scholar] [CrossRef]
- Wu, Z.; Zhu, B.; Yi, T.; Li, C.; Liu, Y.; Yang, Y. 3D numerical simulations of single-event transient effects in SOI FinFETs. J. Comput. Electron. 2018, 17, 1608–1614. [Google Scholar] [CrossRef]
- Pradhan, K.P.; Saha, S.K.; Artola, L.; Sahu, P.K. 3-D TCAD Assessment of Fin-Based Hybrid Devices Under Heavy Ion Irradiation in 20-nm Technology. IEEE Trans. Device Mater. Reliab. 2018, 18, 474–480. [Google Scholar] [CrossRef]
- Qin, J.; Chen, S.; Chen, J. 3-D TCAD simulation study of the single event effect on 25 nm raised source-drain FinFET. Sci. China Technol. Sci. 2012, 55, 1576–1580. [Google Scholar] [CrossRef]
- Kim, Y.; Kang, M. The Analysis of SEU in Nanowire FETs and Nanosheet FETs. Electronics 2021, 10, 863. [Google Scholar] [CrossRef]
- Shi, M.; Wu, G. Physics of Semiconductor Devices; Xi’an Jiaotong University Press: Xi’an, China, 2008. [Google Scholar]
- Liu, X. The Study of Single Event Effect and Hardening Technique in FDSOI Circuits. Master’s Thesis, Xidian University, Xi’an, China, 2020. [Google Scholar]
- Zhuo, Q.Q.; Liu, H.Y. Two-dimensional numerical analysis of the collection mechanism of single event transient current in NMOSFET. Acta Phys. Sin. 2012, 61, 7. [Google Scholar]
- Bai, W.; Yang, H.; Wang, S.; Lee, K.; Huang, Z.; Hu, Z. Development of Low Leakage Current in Extreme PFET Device. In Proceedings of the 2020 China Semiconductor Technology International Conference (CSTIC), Shanghai, China, 26 June–17 July 2020. [Google Scholar] [CrossRef]
- Zhang, L.; Cao, Y.; Ren, C.; Ma, M.; Liu, H.; Liu, L.; Zheng, X.; Ma, X. Single Event Effect of 28 nm MOSFET device. Mod. Appl. Phys. 2022, 13, 9. [Google Scholar] [CrossRef]
- Li, C. Simulation of Single Event Effects in FinFET. Master’s Thesis, Xidian University, Xi’an, China, 2017. [Google Scholar]











| Parameters | Value |
|---|---|
| Gate length/width | 28 nm/1 m |
| Substrate doping concentration (P-type) | 1 × 1015 cm−3 |
| Channel doping concentration (P-type) | 3 × 1018 cm−3 |
| Source–drain doping concentration (N-type) | 4 × 1020 cm−3 |
| RELATIVELY LDD doping concentration (N-type) | 1 × 1019 cm−3 |
| Secondary RELATIVELY LDD doping concentration (N-type) | 5 × 1019 cm−3 |
| RELATIVELY LDD length | 36 nm |
| Thickness of the gate oxide (SiO-2/HfO-2) | 2 nm/2.2 nm |
| P-region doping concentration on RELATIVELY LDD | 3 × 1018 cm−3 |
| Size of P area on RELATIVELY LDD (h/x) | 10 nm/10 nm |
| Parameters of the Heavy-Ion Model | Value | Other Physical Models |
|---|---|---|
| Direction | (0, −1, 0) | Fermi |
| Location/m | (0, 0, 0) | Hydrodynamic (eTemperature) |
| Time/s | 2 × 10−11 | eQuantumPotential |
| Length/m | 0.05 | SRH (DopingDependence) |
| Wt_hi/m | 0.015 m | Auger |
| LET/(pC/m) | 1 | Phumob/Enormal |
| Gaussian | PicoCoulomb | Enormal (Lombardi) |
Disclaimer/Publisher’s Note: The statements, opinions and data contained in all publications are solely those of the individual author(s) and contributor(s) and not of MDPI and/or the editor(s). MDPI and/or the editor(s) disclaim responsibility for any injury to people or property resulting from any ideas, methods, instructions or products referred to in the content. |
© 2024 by the authors. Licensee MDPI, Basel, Switzerland. This article is an open access article distributed under the terms and conditions of the Creative Commons Attribution (CC BY) license (https://creativecommons.org/licenses/by/4.0/).
Share and Cite
Liu, W.; Zhou, Z.; Zhang, D.; Song, J. A New Type of Si-Based MOSFET for Radiation Reinforcement. Micromachines 2024, 15, 229. https://doi.org/10.3390/mi15020229
Liu W, Zhou Z, Zhang D, Song J. A New Type of Si-Based MOSFET for Radiation Reinforcement. Micromachines. 2024; 15(2):229. https://doi.org/10.3390/mi15020229
Chicago/Turabian StyleLiu, Weifeng, Zhirou Zhou, Dong Zhang, and Jianjun Song. 2024. "A New Type of Si-Based MOSFET for Radiation Reinforcement" Micromachines 15, no. 2: 229. https://doi.org/10.3390/mi15020229
APA StyleLiu, W., Zhou, Z., Zhang, D., & Song, J. (2024). A New Type of Si-Based MOSFET for Radiation Reinforcement. Micromachines, 15(2), 229. https://doi.org/10.3390/mi15020229

