Performance Improvement of In-Ga-Zn Oxide Thin-Film Transistors by Excimer Laser Annealing
Abstract
1. Introduction
2. Materials and Methods
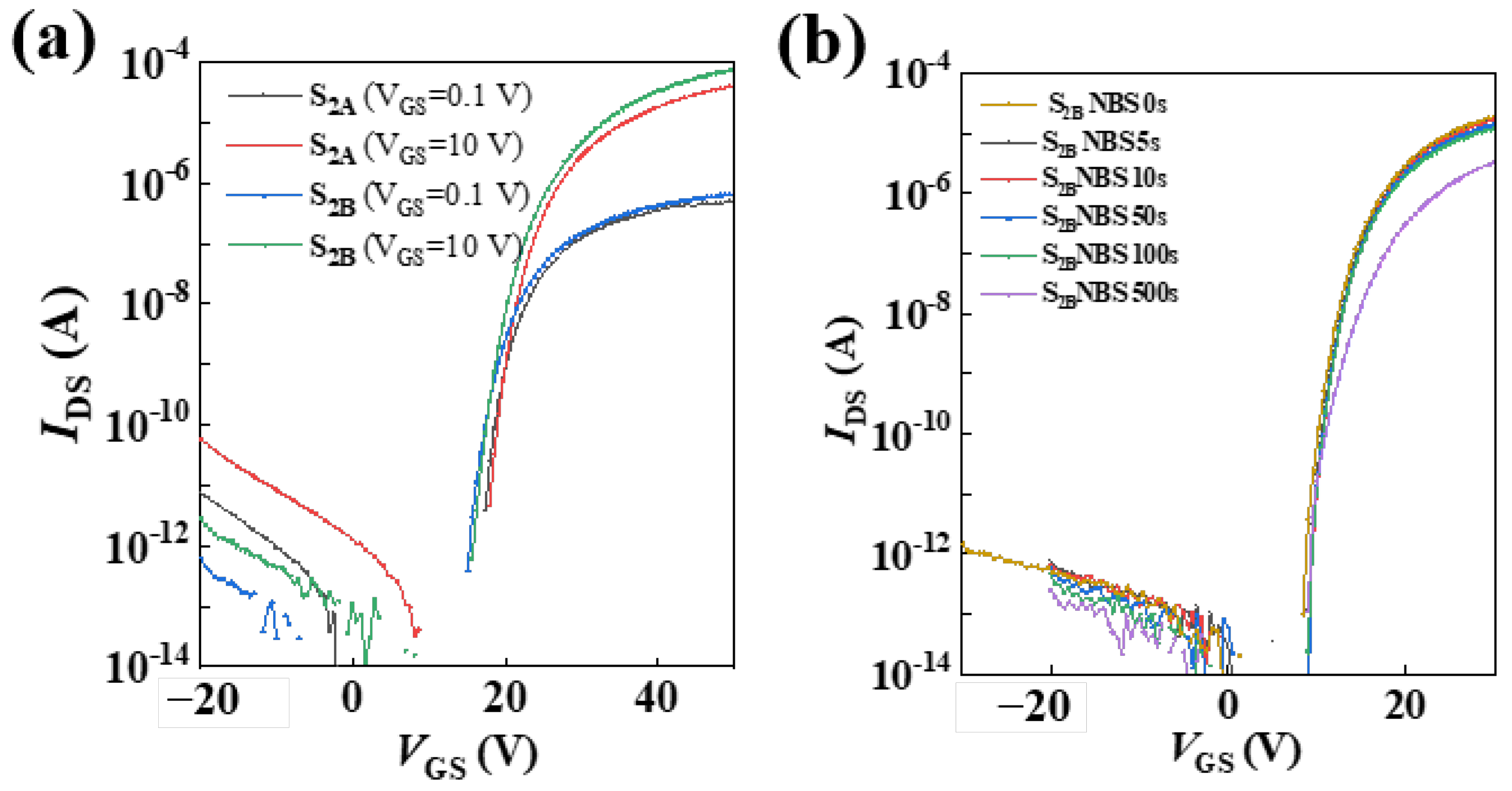
3. Results and Discussion
4. Conclusions
Author Contributions
Funding
Data Availability Statement
Conflicts of Interest
References
- Yang, Y.-H.; Yang, S.S.; Chou, K.-S. Characteristic Enhancement of Solution-Processed In–Ga–Zn Oxide Thin-Film Transistors by Laser Annealing. IEEE Electron Device Lett. 2010, 31, 969–971. [Google Scholar] [CrossRef]
- Kim, J.-J.; Bak, J.-Y.; Lee, J.-H.; Kim, H.S.; Jang, N.-W.; Yun, Y.; Lee, W.-J. Characteristics of laser-annealed ZnO thin film transistors. Thin Solid Film. 2010, 518, 3022–3025. [Google Scholar] [CrossRef]
- Wang, P.; Yang, H.; Li, J.; Zhang, X.; Wang, L.; Xiao, J.; Zhao, B.; Zhang, S.; Lu, L. Synergistically Enhanced Performance and Reliability of Abrupt Metal-Oxide Heterojunction Transistor. Adv. Electron. Mater. 2022, 9, 2200807. [Google Scholar] [CrossRef]
- Lee, J.-Y.; Shan, F.; Kim, H.-S.; Kim, S.-J. Effect of Femtosecond Laser Postannealing on a-IGZO Thin-Film Transistors. IEEE Trans. Electron Devices 2021, 68, 3371–3378. [Google Scholar] [CrossRef]
- Kim, S.; Kim, C.J.; Park, J.C.; Song, I.; Kim, S.W.; Yin, H.; Lee, E.; Lee, J.C.; Park, Y. High Performance oxide thin Film Transistors with Dual Active Layers. In Proceedings of the 2008 IEEE International Electron Devices Meeting, San Francisco, CA, USA, 15–17 December 2008; pp. 1–4. [Google Scholar]
- Xu, M.; Peng, C.; Yuan, Y.; Li, X.; Zhang, J. Enhancing the Performance of Solution-Processed Thin-Film Transistors via Laser Scanning Annealing. ACS Appl. Electron. Mater. 2020, 2, 2970–2975. [Google Scholar] [CrossRef]
- Shan, F.; Sun, H.-Z.; Lee, J.-Y.; Pyo, S.; Kim, S.-J. Improved High-Performance Solution Processed In2O3 Thin Film Transistor Fabricated by Femtosecond Laser Pre-Annealing Process. IEEE Access 2021, 9, 44453–44462. [Google Scholar] [CrossRef]
- Jo, G.; Koh, J.-H. Laser annealing effects on Ga dopants for ZnO Thin films for transparent conducting oxide applications. Ceram. Int. 2019, 45, 6190–6197. [Google Scholar] [CrossRef]
- Huang, X.; Yu, G.; Wu, C. IGZO TFT-based circuit with tunable threshold voltage by laser annealing. Superlattices Microstruct. 2017, 111, 1172–1176. [Google Scholar] [CrossRef]
- Huang, H.-Y.; Wang, S.-J.; Wu, C.-H.; Lu, C.-Y. Improvement of Electrical Performance of InGaZnO/HfSiO TFTs with 248-nm Excimer Laser Annealing. Electron. Mater. Lett. 2014, 10, 899–902. [Google Scholar] [CrossRef]
- Huang, H.; Hu, H.; Zhu, J.; Guo, T. Inkjet-Printed In-Ga-Zn Oxide Thin-Film Transistors with Laser Spike Annealing. J. Electron. Mater. 2017, 46, 4497–4502. [Google Scholar] [CrossRef]
- Xu, M.; Hu, S.; Peng, C.; Jing, B.; Li, X.; Zhang, J. High Performance of Patterned Solution-Processed WZnSnO Thin Film Transistor Using Fiber-Coupler Semiconductor Laser Annealing. IEEE Trans. Electron Devices 2022, 69, 1858–1863. [Google Scholar] [CrossRef]
- Corsino, D.; Bermundo, J.P.; Fujii, M.N.; Ishikawa, Y.; Ikenoue, H.; Uraoka, Y. High Performance All-Solution Processed InZnO Thin-Film Transistors via Photo-Functionalization at Varying Fluence and Annealing Environment. SID Symp. Dig. Tech. Pap. 2022, 51, 1350–1353. [Google Scholar] [CrossRef]
- Nakata, M.; Takechi, K.; Azuma, K.; Tokumitsu, E.; Yamaguchi, H.; Kaneko, S. Improvement of InGaZnO4 Thin Film Transistors Characteristics Utilizing Excimer Laser Annealing. Appl. Phys. Express 2009, 2, 021102. [Google Scholar] [CrossRef]
- Li, Y.; Deng, C.; Huang, B.; Yang, S.; Xu, J.; Zhang, G.; Hu, S.; Wang, D.; Liu, B.; Zhong, J.; et al. High-Performance Solar-Blind UV Phototransistors Based on ZnO/Ga2O3 Heterojunction Channels. ACS Appl. Mater. Interfaces 2023, 15, 18372–18378. [Google Scholar] [CrossRef]
- Shi, J.W.; Wang, H.B.; Song, D.; Tian, H.K.; Geng, Y.H.; Yan, D.H. n-Channel, Ambipolar, and p-Channel Organic Heterojunction Transistors Fabricated with Various Film Morphologies. Adv. Funct. Mater. 2007, 17, 397–400. [Google Scholar] [CrossRef]
- Billah, M.-M.; Siddik, A.-B.; Kim, J.-B.; Yim, D.-K.; Choi, S.-Y.; Liu, J.; Severin, D.; Hanika, M.; Bender, M.; Jang, J. High-Performance Coplanar Dual-Channel a-InGaZnO/a-InZnO Semiconductor Thin-Film Transistors with High Field-Effect Mobility . Adv. Electron. Mater. 2021, 7, 2000896. [Google Scholar] [CrossRef]
- Khim, D.; Lin, Y.-H.; Nam, S.; Faber, H.; Tetzner, K.; Li, R.; Zhang, Q.; Li, J.; Zhang, X.; Anthopoulos, T.D. Modulation-Doped In2O3/ZnO Heterojunction Transistors Processed from Solution. Adv. Mater. 2017, 29, 1605837. [Google Scholar] [CrossRef] [PubMed]
- Lim, D.U.; Jo, S.B.; Kang, J.; Cho, J.H. Multi-State Heterojunction Transistors Based on Field-Effect Tunneling–Transport Transitions. Adv. Mater. 2021, 33, 2101243. [Google Scholar] [CrossRef] [PubMed]
- Faber, H.; Das, S.; Lin, Y.-H.; Pliatsikas, N.; Zhao, K.; Kehagias, T.; Dimitrakopulos, G.; Amassian, A.; Patsalas, P.A.; Anthopoulos, T.D. Heterojunction oxide thin-film transistors with unprecedented electron mobility grown from solution. Sci. Adv. 2017, 3, e160264. [Google Scholar] [CrossRef] [PubMed]
- Lee, J.-Y.; Tukhtaev, A.; Yoo, S.; Kim, Y.; Choi, S.; Ryu, H.G.; Jeong, Y.; Kim, S.-J. Improvement of Device Characteristics of Low Temperature IGZO Thin-film Transistors through Laser Post Annealing. Korean J. Met. Mater. 2022, 60, 557–563. [Google Scholar] [CrossRef]
- Huang, X.; Wu, C.; Lu, H.; Ren, F.; Chen, D.; Liu, Y.; Yu, G.; Zhang, R.; Zheng, Y.; Wang, Y. Large-Swing a-IGZO Inverter with a Depletion Load Induced by Laser Annealing. IEEE Electron Device Lett. 2014, 35, 1034–1036. [Google Scholar] [CrossRef]
- Fujii, M.; Ishikawa, Y.; Ishihara, R.; Cingel, J.; Mofrad, M.R.T.; Horita, M.; Uraoka, Y. Low temperature high-mobility InZnO thin-film transistors fabricated by excimer laser annealing. Appl. Phys. Lett. 2013, 102, 122107. [Google Scholar] [CrossRef]
- Lee, D.H.; Park, H.; Clevenger, M.; Kim, H.; Kim, C.; Liu, M.; Kim, G.; Song, H.W.; No, K.; Kim, S.Y.; et al. High-Performance Oxide-Based p–n Heterojunctions Integrating p-SnOx and n-InGaZnO. ACS Appl. Mater. Interfaces 2021, 13, 55676–55686. [Google Scholar] [CrossRef]
- Nakata, M.; Takechi, K.; Yamaguchi, S.; Tokumitsu, E.; Yamaguchi, H.; Kaneko, S. Effects of Excimer Laser Annealing on InGaZnO4 Thin-Film Transistors Having Different Active-Layer Thicknesses Compared with Those on Polycrystalline Silicon. Jpn. J. Appl. Phys. 2009, 48, 115505. [Google Scholar] [CrossRef]
- Wu, C.H.; Huang, H.Y.; Wang, S.J.; Chang, K.M. High-Mobility InGaZnO TFTs Using Atmospheric Pressure Plasma Jet Technique and 248-nm Excimer Laser Annealing. IEEE Electron Device Lett. 2014, 35, 1031–1033. [Google Scholar] [CrossRef]
- Nakata, M.; Takechi, K.; Eguchi, T.; Tokumitsu, E.; Yamaguchi, H.; Kaneko, S. Flexible High-Performance Amorphous InGaZnO4 Thin-Film Transistors Utilizing Excimer Laser Annealing. Jpn. J. Appl. Phys. 2009, 48, 081607. [Google Scholar] [CrossRef]
- Bermundo, J.P.S.; Ishikawa, Y.; Fujii, M.N.; Ikenoue, H.; Uraoka, Y. H and Au diffusion in high mobility a-InGaZnO thin-film transistors via low temperature KrF excimer laser annealing. Appl. Phys. Lett. 2017, 110, 133503. [Google Scholar] [CrossRef]
- Corsino, D.; Bermundo, J.; Kulchaisit, C.; Fujii, M.; Ishikawa, Y.; Ikenoue, H.; Uraoka, Y. High-Performance Fully Solution-Processed Oxide Thin-Film Transistors via Photo-Assisted Role Tuning of InZnO. ACS Appl. Electron. Mater. 2020, 2, 2398–2407. [Google Scholar] [CrossRef]
- Bae, E.-J.; Lee, J.Y.; Han, S.-Y.; Chang, C.-H.; Ryu, S. A Study on Indium Gallium Oxide Thin Film Transistors prepared by a Solution-based Deposition Method. Korean J. Chem. Eng. 2011, 49, 600–604. [Google Scholar] [CrossRef]
- Ebata, K.; Tomai, S.; Tsuruma, Y.; Iitsuka, T.; Matsuzaki, S.; Yano, K. High-Mobility Thin-Film Transistors with Polycrystalline In-Ga-O Channel Fabricated by DC Magnetron Sputtering. Appl. Phys. Express 2012, 5, 011102. [Google Scholar] [CrossRef]
- Rabbi, M.H.; Ali, A.; Park, C.; Jang, J. High Performance Amorphous In0.5Ga0.5O Thin-Film Transistor Embedded with Nanocrystalline In2O3 Dots for Flexible Display Application. Adv. Electron. Mater. 2023, 9, 2300169. [Google Scholar] [CrossRef]
- Huang, W.-L.; Hsu, M.-H.; Chang, S.-P.; Chang, S.-L.; Chiou, Y.-Z. Indium Gallium Oxide Thin Film Transistor for Two-Stage UV Sensor Application. ECS J. Solid State Sci. Technol. 2019, 8, Q3140–Q3143. [Google Scholar] [CrossRef]
- Park, S.; Cho, K.; Oh, H.; Kim, S. Electrical and mechanical characteristics of fully transparent IZO thin-film transistors on stress-relieving bendable substrates. Appl. Physis. Lett. 2016, 109, 143504. [Google Scholar] [CrossRef]
- Jeong, W.H.; Rim, Y.S.; Kim, D.L.; Kim, H.J. Improvement of electrical characteristics of solution-processed InZnO thin-film transistor by vacuum annealing and nitrogen pressure treatment at 200 °C. Jpn. J. Appl. Phys. 2015, 54, 126502. [Google Scholar] [CrossRef]
- Yao, J.; Xu, N.; Deng, S.; Chen, J.; She, J.; Shieh, H.-D.; Liu, P.; Huang, Y.-P. Electrical and photosensitive characteristics of a-IGZO TFTs related to oxygen vacancy. IEEE Trans. Electron Devices 2011, 58, 1121–1126. [Google Scholar]
- Guo, M.; Ou, H.; Xie, D.; Zhu, Q.; Wang, M.; Liang, L.; Liu, F.; Ning, C.; Cao, H.; Yuan, G.; et al. Critical Assessment of the High Carrier Mobility of Bilayer In2O3/IGZO Transistors and the Underlying Mechanisms. Adv. Electron. Mater. 2023, 9, 2201184. [Google Scholar] [CrossRef]
- Kamiya, T.; Nomura, K.; Hosono, H. Origins of High Mobility and Low Operation Voltage of Amorphous Oxide TFTs: Electronic Structure, Electron Transport, Defects and Doping. J. Disp. Technol. 2009, 5, 273–288. [Google Scholar] [CrossRef]







| Chanel | Annealed | Vth (V) | SS (mV/dec) | μ (cm2/V·S) |
|---|---|---|---|---|
| S10 | As-deposited | 1.4 | 128 | 7.65 |
| S1A | ELA at 200 mJ/cm2 | 23.48 | 493 | 0.69 |
| S1B | ELA at 250 mJ/cm2 | 25.27 | 421 | 3.45 |
| S2A | ELA at 200 mJ/cm2 | 21.49 | 590 | 2.04 |
| S2B | ELA at 250 mJ/cm2 | 19.98 | 667 | 1.91 |
| S3B | ELA at 250 mJ/cm2 | 1.86 | 97 | 9.8 |
Disclaimer/Publisher’s Note: The statements, opinions and data contained in all publications are solely those of the individual author(s) and contributor(s) and not of MDPI and/or the editor(s). MDPI and/or the editor(s) disclaim responsibility for any injury to people or property resulting from any ideas, methods, instructions or products referred to in the content. |
© 2024 by the authors. Licensee MDPI, Basel, Switzerland. This article is an open access article distributed under the terms and conditions of the Creative Commons Attribution (CC BY) license (https://creativecommons.org/licenses/by/4.0/).
Share and Cite
Zhang, X.; Li, Y.; Li, Y.; Xie, X.; Yin, L. Performance Improvement of In-Ga-Zn Oxide Thin-Film Transistors by Excimer Laser Annealing. Micromachines 2024, 15, 225. https://doi.org/10.3390/mi15020225
Zhang X, Li Y, Li Y, Xie X, Yin L. Performance Improvement of In-Ga-Zn Oxide Thin-Film Transistors by Excimer Laser Annealing. Micromachines. 2024; 15(2):225. https://doi.org/10.3390/mi15020225
Chicago/Turabian StyleZhang, Xiaohui, Yaping Li, Yanwei Li, Xinwang Xie, and Longhai Yin. 2024. "Performance Improvement of In-Ga-Zn Oxide Thin-Film Transistors by Excimer Laser Annealing" Micromachines 15, no. 2: 225. https://doi.org/10.3390/mi15020225
APA StyleZhang, X., Li, Y., Li, Y., Xie, X., & Yin, L. (2024). Performance Improvement of In-Ga-Zn Oxide Thin-Film Transistors by Excimer Laser Annealing. Micromachines, 15(2), 225. https://doi.org/10.3390/mi15020225
