Anisotropic Diffusion of Elongated Particles in Active Coherent Flows
Abstract
1. Introduction
2. Materials and Methods
2.1. Experimental Setup
2.2. Bacterial Culture and Sample Preparation
3. Results and Discussion
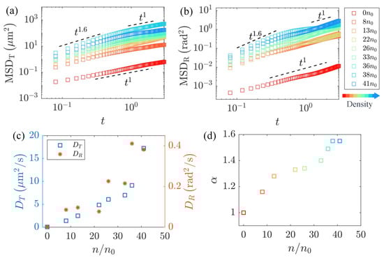
3.1. Superdiffusion of Elongated Particles in Active Flows
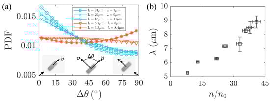
3.2. Anisotropic Diffusion of Elongated Particles in Active Flows
4. Conclusions
Author Contributions
Funding
Data Availability Statement
Conflicts of Interest
References
- Zhang, H.P.; Be’er, A.; Florin, E.L.; Swinney, H.L. Collective motion and density fluctuations in bacterial colonies. Proc. Natl. Acad. Sci. USA 2010, 107, 13626–13630. [Google Scholar] [CrossRef]
- Leptos, K.C.; Guasto, J.S.; Gollub, J.P.; Pesci, A.I.; Goldstein, R.E. Dynamics of enhanced tracer diffusion in suspensions of swimming eukaryotic microorganisms. Phys. Rev. Lett. 2009, 103, 198103. [Google Scholar] [CrossRef]
- Wensink, H.H.; Dunkel, J.; Heidenreich, S.; Drescher, K.; Goldstein, R.E.; Löwen, H.; Yeomans, J.M. Meso-scale turbulence in living fluids. Proc. Natl. Acad. Sci. USA 2012, 109, 14308–14313. [Google Scholar] [CrossRef] [PubMed]
- Saintillan, D.; Shelley, M.J. Orientational order and instabilities in suspensions of self-locomoting rods. Phys. Rev. Lett. 2007, 99, 058102. [Google Scholar] [CrossRef] [PubMed]
- Bratanov, V.; Jenko, F.; Frey, E. New class of turbulence in active fluids. Proc. Natl. Acad. Sci. USA 2015, 112, 15048–15053. [Google Scholar] [CrossRef] [PubMed]
- Duclos, G.; Erlenkämper, C.; Joanny, J.F.; Silberzan, P. Topological defects in confined populations of spindle-shaped cells. Nat. Phys. 2017, 13, 58–62. [Google Scholar] [CrossRef]
- Wu, K.T.; Hishamunda, J.B.; Chen, D.T.; DeCamp, S.J.; Chang, Y.W.; Fernández-Nieves, A.; Fraden, S.; Dogic, Z. Transition from turbulent to coherent flows in confined three-dimensional active fluids. Science 2017, 355, eaal1979. [Google Scholar] [CrossRef] [PubMed]
- Pérez Estay, B.I. Characterization of E. coli Swimming Near Sinusoidal Surfaces. Master’s Thesis, Universidad de Chile, Santiago, Chile, 2022. [Google Scholar]
- Toner, J.; Tu, Y. Flocks, herds, and schools: A quantitative theory of flocking. Phys. Rev. E 1998, 58, 4828. [Google Scholar] [CrossRef]
- Ballerini, M.; Cabibbo, N.; Candelier, R.; Cavagna, A.; Cisbani, E.; Giardina, I.; Lecomte, V.; Orlandi, A.; Parisi, G.; Procaccini, A.; et al. Interaction ruling animal collective behavior depends on topological rather than metric distance: Evidence from a field study. Proc. Natl. Acad. Sci. USA 2008, 105, 1232–1237. [Google Scholar] [CrossRef]
- Toner, J.; Guttenberg, N.; Tu, Y. Swarming in the dirt: Ordered flocks with quenched disorder. Phys. Rev. Lett. 2018, 121, 248002. [Google Scholar] [CrossRef]
- Couzin, I.D.; Franks, N.R. Self-organized lane formation and optimized traffic flow in army ants. Proc. R. Soc. Lond. Ser. Biol. Sci. 2003, 270, 139–146. [Google Scholar] [CrossRef]
- Bazazi, S.; Buhl, J.; Hale, J.J.; Anstey, M.L.; Sword, G.A.; Simpson, S.J.; Couzin, I.D. Collective motion and cannibalism in locust migratory bands. Curr. Biol. 2008, 18, 735–739. [Google Scholar] [CrossRef]
- Becco, C.; Vandewalle, N.; Delcourt, J.; Poncin, P. Experimental evidences of a structural and dynamical transition in fish school. Phys. Stat. Mech. Appl. 2006, 367, 487–493. [Google Scholar] [CrossRef]
- Makris, N.C.; Ratilal, P.; Jagannathan, S.; Gong, Z.; Andrews, M.; Bertsatos, I.; Godø, O.R.; Nero, R.W.; Jech, J.M. Critical population density triggers rapid formation of vast oceanic fish shoals. Science 2009, 323, 1734–1737. [Google Scholar] [CrossRef]
- Bricard, A.; Caussin, J.B.; Desreumaux, N.; Dauchot, O.; Bartolo, D. Emergence of macroscopic directed motion in populations of motile colloids. Nature 2013, 503, 95–98. [Google Scholar] [CrossRef] [PubMed]
- Vicsek, T.; Czirók, A.; Ben-Jacob, E.; Cohen, I.; Shochet, O. Novel type of phase transition in a system of self-driven particles. Phys. Rev. Lett. 1995, 75, 1226. [Google Scholar] [CrossRef] [PubMed]
- Grégoire, G.; Chaté, H. Onset of collective and cohesive motion. Phys. Rev. Lett. 2004, 92, 025702. [Google Scholar] [CrossRef]
- Narayan, V.; Ramaswamy, S.; Menon, N. Long-lived giant number fluctuations in a swarming granular nematic. Science 2007, 317, 105–108. [Google Scholar] [CrossRef]
- Nagai, K.H.; Sumino, Y.; Montagne, R.; Aranson, I.S.; Chaté, H. Collective motion of self-propelled particles with memory. Phys. Rev. Lett. 2015, 114, 168001. [Google Scholar] [CrossRef]
- Di Leonardo, R. Controlled collective motions. Nat. Mater. 2016, 15, 1057–1058. [Google Scholar] [CrossRef] [PubMed]
- Sanchez, T.; Chen, D.T.; DeCamp, S.J.; Heymann, M.; Dogic, Z. Spontaneous motion in hierarchically assembled active matter. Nature 2012, 491, 431–434. [Google Scholar] [CrossRef]
- Schaller, V.; Bausch, A.R. Topological defects and density fluctuations in collectively moving systems. Proc. Natl. Acad. Sci. USA 2013, 110, 4488–4493. [Google Scholar] [CrossRef]
- Einstein, A. On the motion of small particles suspended in liquids at rest required by the molecular-kinetic theory of heat. Ann. Phys. 1905, 17, 208. [Google Scholar]
- Libchaber, A. From biology to physics and back: The problem of Brownian movement. Annu. Rev. Condens. Matter Phys. 2019, 10, 275–293. [Google Scholar] [CrossRef]
- Sokolov, A.; Goldstein, R.E.; Feldchtein, F.I.; Aranson, I.S. Enhanced mixing and spatial instability in concentrated bacterial suspensions. Phys. Rev. E 2009, 80, 031903. [Google Scholar] [CrossRef]
- Kurtuldu, H.; Guasto, J.S.; Johnson, K.A.; Gollub, J.P. Enhancement of biomixing by swimming algal cells in two-dimensional films. Proc. Natl. Acad. Sci. USA 2011, 108, 10391–10395. [Google Scholar] [CrossRef]
- Bechinger, C.; Di Leonardo, R.; Löwen, H.; Reichhardt, C.; Volpe, G.; Volpe, G. Active particles in complex and crowded environments. Rev. Mod. Phys. 2016, 88, 045006. [Google Scholar] [CrossRef]
- Saintillan, D. Rheology of active fluids. Annu. Rev. Fluid Mech. 2018, 50, 563–592. [Google Scholar] [CrossRef]
- Zhu, Z.; Liu, Q.X. Enhanced transport of nutrients powered by microscale flows of the self-spinning dinoflagellate Symbiodinium sp. J. Exp. Biol. 2019, 222, jeb197947. [Google Scholar]
- Ye, S.; Liu, P.; Ye, F.; Chen, K.; Yang, M. Active noise experienced by a passive particle trapped in an active bath. Soft Matter 2020, 16, 4655–4660. [Google Scholar] [CrossRef] [PubMed]
- Granek, O.; Kafri, Y.; Tailleur, J. Anomalous transport of tracers in active baths. Phys. Rev. Lett. 2022, 129, 038001. [Google Scholar] [CrossRef]
- Xie, C.; Liu, Y.; Luo, H.; Jing, G. Activity-Induced Enhancement of Superdiffusive Transport in Bacterial Turbulence. Micromachines 2022, 13, 746. [Google Scholar] [CrossRef]
- Ning, L.; Lou, X.; Ma, Q.; Yang, Y.; Luo, N.; Chen, K.; Meng, F.; Zhou, X.; Yang, M.; Peng, Y. Hydrodynamics-Induced Long-Range Attraction between Plates in Bacterial Suspensions. Phys. Rev. Lett. 2023, 131, 158301. [Google Scholar] [CrossRef] [PubMed]
- Ariel, G.; Rabani, A.; Benisty, S.; Partridge, J.D.; Harshey, R.M.; Be’Er, A. Swarming bacteria migrate by Lévy Walk. Nat. Commun. 2015, 6, 8396. [Google Scholar] [CrossRef] [PubMed]
- Wen, X.; Sang, Y.; Zhang, Y.; Ge, F.; Jing, G.; He, Y. Direct Observation of Nanotracer Transport in Swarming Bacteria during Antibiotic Adaptation. ACS Nano 2023, 17, 10104–10112. [Google Scholar] [CrossRef] [PubMed]
- Wu, X.L.; Libchaber, A. Particle diffusion in a quasi-two-dimensional bacterial bath. Phys. Rev. Lett. 2000, 84, 3017. [Google Scholar] [CrossRef] [PubMed]
- Kim, M.J.; Breuer, K.S. Enhanced diffusion due to motile bacteria. Phys. Fluids 2004, 16, L78–L81. [Google Scholar] [CrossRef]
- Chen, D.T.; Lau, A.; Hough, L.A.; Islam, M.F.; Goulian, M.; Lubensky, T.C.; Yodh, A.G. Fluctuations and rheology in active bacterial suspensions. Phys. Rev. Lett. 2007, 99, 148302. [Google Scholar] [CrossRef] [PubMed]
- Mino, G.; Mallouk, T.E.; Darnige, T.; Hoyos, M.; Dauchet, J.; Dunstan, J.; Soto, R.; Wang, Y.; Rousselet, A.; Clement, E. Enhanced diffusion due to active swimmers at a solid surface. Phys. Rev. Lett. 2011, 106, 048102. [Google Scholar] [CrossRef]
- Wilson, L.G.; Martinez, V.A.; Schwarz-Linek, J.; Tailleur, J.; Bryant, G.; Pusey, P.; Poon, W.C. Differential dynamic microscopy of bacterial motility. Phys. Rev. Lett. 2011, 106, 018101. [Google Scholar] [CrossRef]
- Miño, G.; Dunstan, J.; Rousselet, A.; Clément, E.; Soto, R. Induced diffusion of tracers in a bacterial suspension: Theory and experiments. J. Fluid Mech. 2013, 729, 423–444. [Google Scholar] [CrossRef]
- Jepson, A.; Martinez, V.A.; Schwarz-Linek, J.; Morozov, A.; Poon, W.C. Enhanced diffusion of nonswimmers in a three-dimensional bath of motile bacteria. Phys. Rev. E 2013, 88, 041002. [Google Scholar] [CrossRef]
- Patteson, A.E.; Gopinath, A.; Purohit, P.K.; Arratia, P.E. Particle diffusion in active fluids is non-monotonic in size. Soft Matter 2016, 12, 2365–2372. [Google Scholar] [CrossRef]
- Valeriani, C.; Li, M.; Novosel, J.; Arlt, J.; Marenduzzo, D. Colloids in a bacterial bath: Simulations and experiments. Soft Matter 2011, 7, 5228–5238. [Google Scholar] [CrossRef]
- Vaccari, L.; Allan, D.B.; Sharifi-Mood, N.; Singh, A.R.; Leheny, R.L.; Stebe, K.J. Films of bacteria at interfaces: Three stages of behaviour. Soft Matter 2015, 11, 6062–6074. [Google Scholar] [CrossRef]
- Gupta, V.; Singla, R.; Singh, G.; Chanda, A. Development of Soft Composite Based Anisotropic Synthetic Skin for Biomechanical Testing. Fibers 2023, 11, 55. [Google Scholar] [CrossRef]
- Vakhrusheva, A.; Murashko, A.; Trifonova, E.; Efremov, Y.M.; Timashev, P.; Sokolova, O. Role of actin-binding proteins in the regulation of cellular mechanics. Eur. J. Cell Biol. 2022, 101, 151241. [Google Scholar] [CrossRef] [PubMed]
- Duggal, R.; Pasquali, M. Dynamics of individual single-walled carbon nanotubes in water by real-time visualization. Phys. Rev. Lett. 2006, 96, 246104. [Google Scholar] [CrossRef]
- Cheong, F.C.; Grier, D.G. Rotational and translational diffusion of copper oxide nanorods measured with holographic video microscopy. Opt. Express 2010, 18, 6555–6562. [Google Scholar] [CrossRef]
- Bhaduri, B.; Neild, A.; Ng, T.W. Directional Brownian diffusion dynamics with variable magnitudes. Appl. Phys. Lett. 2008, 92. [Google Scholar] [CrossRef]
- Kraft, D.J.; Wittkowski, R.; Ten Hagen, B.; Edmond, K.V.; Pine, D.J.; Löwen, H. Brownian motion and the hydrodynamic friction tensor for colloidal particles of complex shape. Phys. Rev. E 2013, 88, 050301. [Google Scholar] [CrossRef]
- Maragó, O.M.; Bonaccorso, F.; Saija, R.; Privitera, G.; Gucciardi, P.G.; Iatì, M.A.; Calogero, G.; Jones, P.H.; Borghese, F.; Denti, P.; et al. Brownian motion of graphene. ACS Nano 2010, 4, 7515–7523. [Google Scholar] [CrossRef] [PubMed]
- Köster, S.; Steinhauser, D.; Pfohl, T. Brownian motion of actin filaments in confining microchannels. J. Phys. Condens. Matter 2005, 17, S4091. [Google Scholar] [CrossRef]
- Yang, J.; Francois, N.; Punzmann, H.; Shats, M.; Xia, H. Diffusion of ellipsoids in laboratory two-dimensional turbulent flow. Phys. Fluids 2019, 31, 085116. [Google Scholar] [CrossRef]
- Perrin, F. Mouvement brownien d’un ellipsoide-I. Dispersion diélectrique pour des molécules ellipsoidales. J. Phys. Radium 1934, 5, 497–511. [Google Scholar] [CrossRef]
- Perrin, F. Mouvement Brownien d’un ellipsoide (II). Rotation libre et dépolarisation des fluorescences. Translation et diffusion de molécules ellipsoidales. J. Phys. Radium 1936, 7, 1–11. [Google Scholar] [CrossRef]
- Vasanthi, R.; Ravichandran, S.; Bagchi, B. Needlelike motion of prolate ellipsoids in the sea of spheres. J. Chem. Phys. 2001, 114, 7989–7992. [Google Scholar] [CrossRef][Green Version]
- Vasanthi, R.; Bhattacharyya, S.; Bagchi, B. Anisotropic diffusion of spheroids in liquids: Slow orientational relaxation of the oblates. J. Chem. Phys. 2002, 116, 1092–1096. [Google Scholar] [CrossRef]
- Han, Y.; Alsayed, A.M.; Nobili, M.; Zhang, J.; Lubensky, T.C.; Yodh, A.G. Brownian motion of an ellipsoid. Science 2006, 314, 626–630. [Google Scholar] [CrossRef]
- Han, Y.; Alsayed, A.; Nobili, M.; Yodh, A.G. Quasi-two-dimensional diffusion of single ellipsoids: Aspect ratio and confinement effects. Phys. Rev. E 2009, 80, 011403. [Google Scholar] [CrossRef]
- Peng, Y.; Lai, L.; Tai, Y.S.; Zhang, K.; Xu, X.; Cheng, X. Diffusion of ellipsoids in bacterial suspensions. Phys. Rev. Lett. 2016, 116, 068303. [Google Scholar] [CrossRef]
- Yang, O.; Peng, Y.; Liu, Z.; Tang, C.; Xu, X.; Cheng, X. Dynamics of ellipsoidal tracers in swimming algal suspensions. Phys. Rev. E 2016, 94, 042601. [Google Scholar] [CrossRef]
- Xu, R.k.; Jiang, H.j.; Hou, Z.h. Simulation study of passive rod diffusion in active bath: Nonmonotonic length dependence and abnormal translation-rotation coupling. Chin. J. Chem. Phys. 2021, 34, 157–164. [Google Scholar] [CrossRef]
- Nordanger, H.; Morozov, A.; Stenhammar, J. Anisotropic diffusion of ellipsoidal tracers in microswimmer suspensions. Phys. Rev. Fluids 2022, 7, 013103. [Google Scholar] [CrossRef]
- Aporvari, M.S.; Utkur, M.; Saritas, E.U.; Volpe, G.; Stenhammar, J. Anisotropic dynamics of a self-assembled colloidal chain in an active bath. Soft Matter 2020, 16, 5609–5614. [Google Scholar] [CrossRef] [PubMed]
- Zhang, C.; Xie, C.; Feng, W.; Luo, H.; Liu, Y.; Jing, G. Configurational dynamics of flexible filaments in bacterial active baths. New J. Phys. 2023, 25, 043029. [Google Scholar] [CrossRef]
- Drescher, K.; Dunkel, J.; Cisneros, L.H.; Ganguly, S.; Goldstein, R.E. Fluid dynamics and noise in bacterial cell–cell and cell–surface scattering. Proc. Natl. Acad. Sci. USA 2011, 108, 10940–10945. [Google Scholar] [CrossRef] [PubMed]
- Liron, N.; Mochon, S. Stokes flow for a stokeslet between two parallel flat plates. J. Eng. Math. 1976, 10, 287–303. [Google Scholar] [CrossRef]
- Gachelin, J.; Rousselet, A.; Lindner, A.; Clement, E. Collective motion in an active suspension of Escherichia coli bacteria. New J. Phys. 2014, 16, 025003. [Google Scholar] [CrossRef]
- Yan, N.; Xie, C.; Luo, H.; Liu, Y.; Jing, G. Bacterial turbulence in gradient confinement. Chin. Phys. B 2023, 32, 114704. [Google Scholar] [CrossRef]
- Zwanzig, R. Nonequilibrium Statistical Mechanics; Oxford University Press: Oxford, UK, 2001. [Google Scholar]
- Ilkanaiv, B.; Kearns, D.B.; Ariel, G.; Be’er, A. Effect of cell aspect ratio on swarming bacteria. Phys. Rev. Lett. 2017, 118, 158002. [Google Scholar] [CrossRef] [PubMed]








Disclaimer/Publisher’s Note: The statements, opinions and data contained in all publications are solely those of the individual author(s) and contributor(s) and not of MDPI and/or the editor(s). MDPI and/or the editor(s) disclaim responsibility for any injury to people or property resulting from any ideas, methods, instructions or products referred to in the content. |
© 2024 by the authors. Licensee MDPI, Basel, Switzerland. This article is an open access article distributed under the terms and conditions of the Creative Commons Attribution (CC BY) license (https://creativecommons.org/licenses/by/4.0/).
Share and Cite
Li, D.; Liu, Y.; Luo, H.; Jing, G. Anisotropic Diffusion of Elongated Particles in Active Coherent Flows. Micromachines 2024, 15, 199. https://doi.org/10.3390/mi15020199
Li D, Liu Y, Luo H, Jing G. Anisotropic Diffusion of Elongated Particles in Active Coherent Flows. Micromachines. 2024; 15(2):199. https://doi.org/10.3390/mi15020199
Chicago/Turabian StyleLi, Dongdong, Yanan Liu, Hao Luo, and Guangyin Jing. 2024. "Anisotropic Diffusion of Elongated Particles in Active Coherent Flows" Micromachines 15, no. 2: 199. https://doi.org/10.3390/mi15020199
APA StyleLi, D., Liu, Y., Luo, H., & Jing, G. (2024). Anisotropic Diffusion of Elongated Particles in Active Coherent Flows. Micromachines, 15(2), 199. https://doi.org/10.3390/mi15020199

