Abstract
This work proposes a methodology to determine the height difference of the guideways of machine tools where two guideways are not placed on the same horizontal plane. Firstly, a rigid–flexible coupling system consisting of a moving rigid mass and an elastic overhanging beam is presented as an equivalent mechanical model of a column and a spindle box. Then, the relationship between the deviation of a reference point and the height difference or the spindle box’s stroke is modeled. Next, the natural frequency and mode shape function of the overhanging beam, and the frequency response functions of the coupling system, are derived. The results indicate that there always exists an optimal height difference minimizing the relative deflection over the stroke of the moving part, and the optimal value depends on the loads in two directions and the stroke of the moving part. Similarly, there is also an optimal choice maximizing the first-order resonant frequency of the coupling system; however, the optimal solutions for both static and dynamic cases are not the same. This work provides beneficial instruction for choosing the height difference of machine tools with two guideways on a bed that are not on the same plane.
1. Introduction
Machine tools play a significant role in manufacturing. Structural design optimization is a crucial approach to improving the performance of machine tools. In today’s economic environment, the machine tool industry continually focuses on enhancing performance while reducing costs, conserving energy, and minimizing environmental impacts []. A lot of the work focuses on structural optimization or the lightweight design of components or a holistic machine tool. Shen et al. [] adopted an adaptive growth method to design an inner stiffener layout of structures, like the headstock, column, and bed, and an optimization strategy for a holistic machine tool utilizing dynamic sensitivity was presented. Ma et al. [] addressed a dynamic modeling and design methodology for a box-in-box-type precision horizontal machine tool based on parallel artificial neural networks and genetic algorithms, and lower-order natural frequencies and frequency responses over the task workspace were improved. Chan et al. [] focused on the implementation of finite element methods for the analysis and optimization of CNC (Computerized Numerical Control) machine tool operations and the structure, and an increase of 1.5% in the first three modal frequencies was observed. Liu et al. [] presented four types of bionic tables and compared them through the finite element method; then, a multi-objective optimization design for the prairie rushes bionic structure table was conducted. The results indicate that the natural frequency, mass, deformation, and maximum equivalent stress were all improved compared with the original design. Similarly, Chen et al. [] employed finite element analysis to find key parts of a five-axis tool grinding machine. After model parameterization, a back propagation neural network and genetic algorithm were combined to solve a multi-objective optimization problem with the constraints of the first-order natural frequency, deformation, and mass. Xiao et al. [] proposed a lightweight design method for machine tools based on particle damping technology and the finite element method. The results indicate that the acceleration and displacement amplitudes of a lightweight machine tool with a particle damper were smaller than those of traditional machine tools. Li et al. [] conducted an optimization effort on the crossbeam of a gantry machine tool. The X-type structure of the internal unit of the crossbeam was replaced by an O-type one, and specific dimensions were optimized using a neural network algorithm and a nondominated sorting genetic algorithm, considering constraints of deformation, modal frequency, and mass. Triebe et al. [] explored the lightweighting of the machine slides (or tables) to achieve energy savings, considering the table and workpiece mass, the cutting force, and the motor that drives the table. The results show potential energy savings of up to 38% in terms of the energy required to move the table. Ji et al. [] investigated the structural optimization of the tool slide of a dry-cut hobbing machine, comprehensively considering energy consumption and the static and dynamic performance of the machine tool. Several methods like the uniform design method, sensitivity analysis, response surface method, principal component analysis, and hybrid algorithm combining particle swarm optimization with the simulated annealing algorithm were integrated in the work. Cui et al. [] carried out the topological optimization of the cardan frame of an A/C swing angle milling head using the finite element method. Xie et al. [] presented an optimization method based on the Kriging and multi-objective genetic algorithm to reduce the mass of a hinged beam structure of the cubic diamond press, taking the stress and displacement peak as the constraint conditions.
This work focuses on an innovative design of the machine tool structure, as Figure 1a shows. To improve the load-bearing capacity, reduce the mass of moving parts, and promote the machining efficiency of a horizontal machining center, two guideways connecting the column and bed are no longer placed on the same horizontal plane and there exists a height difference denoted by l1. However, the influence of the height difference on the end performance of the machine tool is not revealed yet, which is the motivation of this work.
Figure 1.
A horizontal machining center and simplified mechanics model. (a) Schematic of a horizontal machining center; (b) Research object of this work; (c) Simplified mechanics of the objective.
Obviously, the parameter l1 mainly affects the static and dynamic behaviors in the xy plane; thus, only forces Fx and Fy are taken into account during the following analysis, as shown in Figure 1b. Transforming Fx into the centroid of the moving part, an equivalent moment M = Fxly is obtained. For the further transformation of Fx to the axis of the ball screw, a moment and a force are applied to the ball screw–nut pair, which are neglected in the following analysis. Thus, the loads applied to the spindle box include Fy and moment M. As the inner structure of the column is hollow, and the research objective is to explore the influencing trend of the height difference, the column is simplified into an overhanging beam and the spindle box into a rigid body, and the two bodies are connected by the spring-damping unit, as shown in Figure 1c.
The following sections of this paper are organized as follows: The static deflection analysis is conducted in Section 2 and the frequency response functions of the coupling system are derived in Section 3. The simulation and discussions are presented in Section 4, and the conclusion is presented in the final section.
2. Static Analysis
As Figure 2a shows, a reference coordinate system is established first, where the origin is located at the left end of the beam. The total length of the beam is denoted by l; the simply supported span is l1, which is variable; and the overhanging is l2, and l = l1 + l2. Two bodies are connected by the spring and damping with the stiffness k1, k2 and damping coefficients c1, c2, respectively. The distance from the left spring-damping unit to the left end of the beam is denoted by lF1, which varies along the x-axis direction, and the span between the two spring-damping units is a constant l12.
Figure 2.
Schematic of rigid–flexible coupling system. (a) Simplification of loaded forces; (b) Model for statics analysis.
During the static analysis, the contact damping terms between the bodies are not taken into account, as shown in Figure 2b. According to the mechanics, the interaction forces F1 and F2 between the moving mass and elastic overhanging beam are
There are two situations here: one is the mass moving along the x direction while the support position is fixed as shown in Figure 3a, and the other supporting position varies as shown in Figure 3b. For clarification, the calculation of the deflection at the point only the single force F is applied is given first and the schematic is shown in Figure 3c.
Figure 3.
Equivalent model for static analysis. (a) The case that loads moving and support span fixed; (b) The case that support span varying and load position fixed; (c) General case of overhanging beam with single force.
For the constant cross-section beam, the differential equation of the bending deflection w is
where E is the elastic modulus of the beam material, I is the moment of inertia, and C is the constant to be determined according to the boundary conditions.
According to the mechanics of the material, substituting the boundary conditions into Equation (2), the deflection where force F is applied to the position is obtained:
In this case, there are two forces F1, F2 simultaneously applied; thus, the superposition method is employed to obtain the deflection at both points. To describe the deviation of point p referring to the original position, a homogenous transfer matrix is adopted here, as Figure 4 shows.
Figure 4.
Deviation of reference point. (a) Schematic of deviation of point p; (b) Coordinates for describing deviation of point p.
Two local coordinate systems are built: osxsys, whose origin os is fixed to point S1 and the xs-axis is always pointing toward S2, and opxpyp, whose origin is set at the midpoint of two connecting springs and the xp-axis lies on the bottom of the rigid mass, shown in Figure 4b.
Taking Axy as the global coordinate system, the homogeneous coordinates of point p in the global aspect before loads are applied is denoted by [px0,py0,pz0,1]T, and
where the transfer matrixes TAos, Tosop are
As the deflections are small, the deviation matrixes under loads are
where , , and .
Then, the resultant coordinates of point p are obtained by
The compound deviation amount is then calculated by
This is the evaluating indicator for the static analysis.
3. Frequency Response Functions
Reviewing Figure 1, the motion equations of the coupling system are given by
where ms, Js represent the mass and moment of inertia of the moving component, and m is the mass per unit length of the beam. The variables y, yb represent the vibration displacements of the lumped mass and beam along the y-axis, respectively. And θ is the angular displacement of the mass. The interaction forces Fd1, Fd2 between two bodies are given by
3.1. Vibration Mode of the Overhanging Beam
The free vibration equation of Equation (11) is written by
By means of the separation of variables and mode superposition, the solution of Equation (14) takes the following form:
where Yr(x) is the rth vibration shape function, and qr(t) is the rth-order response in the time domain. Correspondingly, the response at the force-applied points is expressed by
To derive the mode function, the beam is divided into two segments, as shown in Figure 5.
Figure 5.
An overhanging beam.
The functions take the following forms:
where λ is an auxiliary variable , and ωn is the natural frequency.
The left end of the first segment is simply supported, and the boundary conditions are as follows:
The right end of the second segment is free, and the boundary conditions are as follows:
Moreover, the boundary conditions at the connection between the two segments are as follows:
Substituting the above boundary conditions into Equations (18) and (19), the natural frequency equation is obtained,
where .
And the shape functions are
where
3.2. Frequency Response Function
Substituting Equation (15) and its derivatives into Equation (11) yields
As above, the individual equations are independent of each other and take the same form with the motion equation of the single degree of freedom without damping; thus, the solution qr(t) takes the following form:
For the concentrated load, the rth-order generalized force Qr(t) takes the following form:
Consequently,
Performing the Laplace transform on Equation (15),
By introducing the convolution transform, L(qr) is obtained:
Correspondingly, the Laplace transform of Equations (16) and (17) results in
where
Similarly, the Laplace transform of Equations (12) and (13) gives
Substituting Equation (34) into Equation (35) yields
where
Thus, the relationship between Yb1, Yb2 and Y, θ could be determined by
The Laplace transforms of Equations (9) and (10) are written as
where
Combining Equations (36)–(39) yields
Finally, the matrix H of the frequency response function is obtained by calculating the inverse matrix of the left hand side of the above equation and replacing s with jω,
where ω is the exciting frequency.
4. Simulation and Discussion
In this section, the influences of the support position of a rigid mass–flexible beam on both the static and frequency response characteristics of a given example are studied. The parameters used in the simulation are given in Table 1.
Table 1.
Simulation condition.
4.1. Static Deflection Analysis
In the simulation, the forces Fx = 200 N and Fy = 1000 N are applied. The individual deflection along the x, y-axis and the compound deflection of reference point p are shown in Figure 6, Figure 7 and Figure 8.
Figure 6.
Deflection along x-axis direction. (a) Distribution of deflection along x-axis at point p; (b) Several extracted cases from (a).
Figure 7.
Deflection along y-axis direction. (a) Distribution of deflection along y-axis at point p; (b) Several extracted cases from (a); (c) partial enlargement view of (b).
Figure 8.
Compound deflection at reference point. (a) Compound deflection at point p; (b) Several extracted cases from (a).
Figure 6a shows the variation in the deflection along the x-axis with a different supporting span l1 and displacement over the travel of the moving mass. As the x-axis is longitudinal, the deflection at the reference point may be positive or negative. To see clearly, Figure 6b gives the results under several displacements of the mass. As the figure shows, the changing trends are similar with different force-applied positions lF1 = 0.2, 0.4, 0.6, and 0.8 m.
Taking lF1 = 0.4 m as an example, the deflection is along the positive direction of the x-axis when the supporting span is less than 0.58 m and decreases with the span l1 increasing. At two special supporting positions, l1 = 0.58 and 1.24 m, the deflections are zero and negative. When the span is longer than l1 = 1.24, the deflection increases with l1.
Similarly, the deflection along the y-axis is shown in Figure 7. The deflection is always along the minus direction of the y-axis and the absolute value is given. Figure 7a shows the deflection distribution. Figure 7b gives the deflection curves with different force-applied positions.
It could be seen from the figure that once the force-applied position is fixed, there definitely exists an inflection point where the deflection is at a minimum. Specifically, as shown in Figure 7c, the optimal supporting spans are 0.5, 0.6, 0.8, and 1 m when the force-applied position is lF1 = 0.2, 0.4, 0.6, and 0.8 m, respectively.
The compound deflection defined by Equation (8) is shown in Figure 8. As the deflection along the y direction is larger than those along the x-axis, consequently, the inflection point is very close to those shown in Figure 7b.
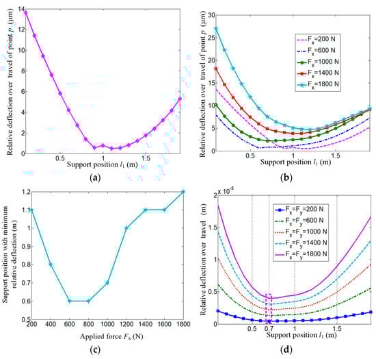
In real practice, the relative deflection over the total travel of the moving rigid mass may be more interesting. Thus, the relative deflection δre is defined as
where wmax, wmin represent the maximum and minimum deflection over the total travel under a given supporting span, respectively.
δre = wmax − wmin
Figure 9a shows the relative deflection δ over the total travel of reference point p. The value does not change monotonically but reaches its minimum at a span of l1 = 1.16 m. It should be noted that the result comes from Fx = 200 N and Fy = 1000 N. Whether there are influences of applied forces on the relative value, Figure 9b gives the results where Fy = 1000 N and Fx varies uniformly from 200 N to 1800 N. Obviously, the trends are similar, but the inflection points differ under different loading conditions. Figure 9c shows the optimal supporting span with the minimum relative deflection versus the load Fx. Moreover, the case Fx = Fy is also studied, which is shown in Figure 9d. It could be seen from the figure that whatever the specific value of the force load is, the optimal supporting span is l1 = 0.7 m.
Figure 9.
Relative deflection under different loads.
Besides the applied load, whether the travel affects the optimal supporting position or not is checked further. The travels selected are [0.2, 0.8], [0.4, 1], and [0.6, 1.2] m, respectively. The applied forces are Fx = Fy = 1000 N. The results are given in Figure 10. The supporting span with the minimum relative deflection for the three travels is l1 = 0.7, 0.9, and 1.3 m, respectively. That means that the optimal supporting span is related to the starting position of the total travel.
Figure 10.
Relative deflection under different travel values.
Based on the above analysis, here, a conclusion can be drawn: for the given specific travel and applied forces, there always exists a supporting span minimizing the relative deflection over the total travel. And the optimal value depends on the relationship between the loads in two directions and the starting position of the travel.
4.2. Frequency Response Analysis
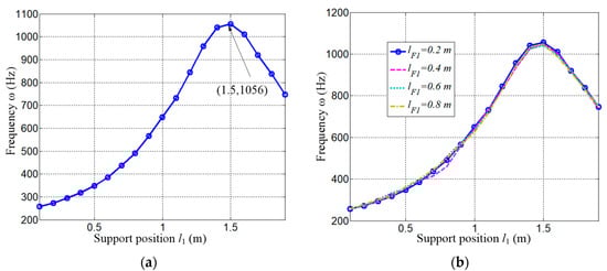
The static analysis is executed in the above section, and this part will show the influence of the supporting span on the dynamic characteristics of the reference point by means of the frequency responses. The exciting frequency is up to 1500 Hz and lF1 = 0.8 m.
Recalling Equation (35), H11, H12 represent the response of the vibration displacement y in the frequency domain under excitations from Fy, Fx, respectively. As the first-order frequency is more significant than the others, only the first is extracted in the simulation, and the results are shown in Figure 11a–d. Figure 11a,c give the variation in the amplitude thorough the supporting span [0.1, 1.9] m under a series of exciting frequencies. Figure 11b,d show this at several discrete spans. It is not difficult to find that the first-order resonant frequency increases first and then decreases with the increasing of the supporting span. Taking Figure 11b as an example, the frequency reaches its maximum when the span l1 = 1.5 m, which is higher than those both at l1 = 1.3m and l1 = 1.7 m.

Figure 11.
Frequency response function H11 and H12. (a) Distribution of amplitude of function H11. (b) Several extracted cases from (a); (c) Distribution of amplitude of function H12; (d) Several extracted cases from (c).
A similar situation could be found in the cross-frequency response function H12, which is not described further.
The frequency responses of the angular displacement are shown in Figure 12. Figure 12a,b are the cross function H12 and Figure 12c,d shows H22.
Figure 12.
Frequency response function H21 and H22. (a) Distribution of amplitude of function H21; (b) Several extracted cases from (a); (c) Distribution of amplitude of function H22; (d) Several extracted cases from (c).
As the figures show, the maximum resonant frequency is obtained when the span l1 = 1.5 m, and the same with H11 and H12. To further clarify the effect on the resonant frequency, the relationship between the supporting span and the frequency is given in Figure 13.
Figure 13.
The first resonant frequency varying with the supporting position. (a) The frequency with lF1 = 0.2 m; (b) The frequency with lF1 = 0.2 m, 0.4 m, 0.6 m, 0.8 m.
Figure 13a indicates that the increase in the supporting span could effectively improve the first resonant frequency of the rigid–flexible coupling system up to l1 = 1.5 m, and the maximum value is about 1056 Hz. However, a too long span will have a negative influence, as the frequency decreases when l1 is greater than 1.5 m. The effect of the force-applied position is checked and shown in Figure 13b, which implies that there is a little variation in the frequency. This is because the rigid mass is 20 kg, which is much less than the beam mass of 156 kg, and the mass distribution of the coupled system changes little while the rigid body is moving.
To further reveal the influence of the supporting span on both the statics and dynamics of the coupled system, the relative static deflection over the total travel and the resonant frequency are shown in Figure 14.
Figure 14.
Effect of supporting position on both static deflection and resonant frequency.
The simulation conditions are Fx = 200 N, Fy = 1000 N, and lF1 = 0.8m. As the figure shows, the optimal supporting spans for the individual static and dynamic conditions are usually not the same: l1 = 1.1m for the minimum relative static deflection and l1 = 1.5 m for the maximum resonant frequency. In practice, a specific supporting span could be determined by combining both the static and dynamic constraints. For example, the relative deflection is specified to be no more than 5 μm, the load exciting frequency is lower than 500 Hz, and then the span of l1 = 0.85~1.85 m could be chosen as the candidates.
5. Conclusions
This work conducted a study about the influence of the height difference of guideways on the performance of a horizontal machining center. The following conclusions could be drawn:
- (1)
- Given working conditions like stroke and applied forces, there exists an optimal height difference that minimizes the relative static deflection over the stroke;
- (2)
- The relationship between applied forces along two orthogonal directions affects the specific optimal value of the height difference corresponding to the minimum relative deflection. Moreover, the same stroke but different launching positions also alters the optimal height difference.
- (3)
- The first-order resonant frequency does not change monotonically with increasing height difference, and there always exists an optimal position that results in the highest resonant frequency.
As the optimal value for the statics is not the same as that of the dynamics, in practice, a reasonable height difference could be determined simultaneously considering both the static and dynamic constraints.
It is known that thermal deformation and guideway wear will affect the performance of machine tools; in the future, optimization considering these factors should be further investigated.
Author Contributions
Conceptualization, L.H. and H.Q.; methodology, L.H., Z.Z. and X.T.; software, Z.Z. and F.L.; validation, F.L. and Y.Q. All authors have read and agreed to the published version of the manuscript.
Funding
This research was supported by the Tianjin Administration of Market Regulation (Grant No. 2024TJMT073), scientific foundation of Tianjin University of Technology and Education (Grant No.KYQD1905), National Natural Science Foundation of China (Grant No. 51905378), major special project for artificial intelligent technology of the Tianjin Municipal Science and Technology Bureau (Grant No. 21ZXJBGX00020), Tianjin Science and Technology Plan Project (Grant Nos. 22JCYBJC01670 and 21JCZDJC00820), and Natural Science Foundation of Tianjin (Grant No. 20JCQNJC00360).
Data Availability Statement
The original contributions presented in this study are included in the article.
Conflicts of Interest
The authors declare no conflicts of interest.
References
- Ullah, A.; Chan, T.; Chang, S. Enhancing Five-Axis Machine Tool Performance Through ESG-Based Design Optimization. Int. J. Precis. Eng. Manuf. Green Technol. 2024. [Google Scholar] [CrossRef]
- Shen, L.; Ding, X.; Li, T.; Kong, X.; Dong, X. Structural dynamic design optimization and experimental verification of a machine tool. Int. J. Adv. Manuf. Tech. 2019, 104, 3373–3786. [Google Scholar] [CrossRef]
- Ma, Y.; Tian, Y.; Liu, X. Structural optimization design of machine tools based on parallel artificial neural networks and genetic algorithms. Neural Comput. Appl. 2023, 35, 25201. [Google Scholar] [CrossRef]
- Chan, T.; Reddy, S.; Ullah, A.; Roy, B. Effect of spatial moving structure and topology optimization of the CNC turning machine tools. Int. J. Adv. Manuf. Tech. 2023, 129, 2969–2987. [Google Scholar] [CrossRef]
- Liu, S.; Yang, C.; Chen, G.; Lin, M.; Qin, J.; Li, M. Multi-objective optimization design for the table of a CNC machine tool based on bionic structures. Trans. Canadian Soc. Mech. Eng. 2024, 48, 369–392. [Google Scholar] [CrossRef]
- Chen, H.; Tang, Q.; Li, X.; Yang, Y.; Qiao, P. Optimization of five-axis tool grinder structure based on BP neural network and genetic algorithm. Int. J. Adv. Manuf. Tech. 2024, 133, 2565–2582. [Google Scholar] [CrossRef]
- Xiao, W.; Xu, Z.; Bian, H.; Li, Z. Lightweight heavy-duty CNC horizontal lathe based on particle damping materials. Mech. Syst. Signal Process. 2021, 147, 107127. [Google Scholar] [CrossRef]
- Li, X.; Li, C.; Li, P.; Hu, H.; Sui, X. Structural Design and Optimization of the Crossbeam of a Computer Numerical Controlled Milling-Machine Tool Using Sensitivity Theory and NSGA-II Algorithm. Int. J. Precis. Eng. Man. 2021, 22, 287–300. [Google Scholar] [CrossRef]
- Triebe, M.; Zhao, F.; Sutherland, J. Modelling the effect of slide table mass on machine tool energy consumption: The role of lightweighting. J. Manuf. Syst. 2022, 62, 668–680. [Google Scholar] [CrossRef]
- Ji, Q.; Li, C.; Zhu, D.; Jin, Y.; Lv, Y.; He, J. Structural design optimization of moving component in CNC machine tool for energy saving. J. Clean. Prod. 2020, 246, 118976. [Google Scholar] [CrossRef]
- Cui, Y.; Liu, C.; Mu, H.; Jiang, H.; Xu, F.; Liu, Y.; Hu, Q. Analysis of Mechanical Characteristics of the Swing Angle Milling Head of a Heavy Computer Numerical Control Milling Machine and Research on the Light Weight of a Gimbal. Materials 2024, 17, 324. [Google Scholar] [CrossRef] [PubMed]
- Xie, G.; Zhang, S.; Wang, L.; Wang, S.; Chen, Z.; Zhi, Z. Lightweight design of hinge beam based on Kriging agent model. J. Mech. Sci. Technol. 2022, 36, 3585–3595. [Google Scholar] [CrossRef]
Disclaimer/Publisher’s Note: The statements, opinions and data contained in all publications are solely those of the individual author(s) and contributor(s) and not of MDPI and/or the editor(s). MDPI and/or the editor(s) disclaim responsibility for any injury to people or property resulting from any ideas, methods, instructions or products referred to in the content. |
© 2024 by the authors. Licensee MDPI, Basel, Switzerland. This article is an open access article distributed under the terms and conditions of the Creative Commons Attribution (CC BY) license (https://creativecommons.org/licenses/by/4.0/).