Single-Layer Wide-Angle Scanning Linear Phased Arrays Based on Multimode Microstrip Patch Elements
Abstract
:1. Introduction
2. Proposed Wide-Beamwidth Element
3. Linear Phased Arrays: Design and Analysis
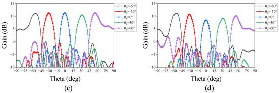
4. Measurement Results of Two Phased Arrays
5. Conclusions
Author Contributions
Funding
Data Availability Statement
Conflicts of Interest
References
- Herd, J.S.; Conway, M.D. The Evolution to Modern Phased Array Architectures. Proc. IEEE 2016, 104, 519–529. [Google Scholar] [CrossRef]
- Hansen, R.C. Phased Array Antennas, 2nd ed.; Wiley: New York, NY, USA, 2009. [Google Scholar]
- Kraus, J.D.; Marhefka, R.J. Antennas for All Applications, 3rd ed.; McGraw-Hill: New York, NY, USA, 2003. [Google Scholar]
- Mailloux, R.J. Phased Array Antenna Handbook (Artech House Antennas and Propagation Library), 2nd ed.; Artech House: Norwood, MA, USA, 2008. [Google Scholar]
- Zhang, Z.; Jin, L. Radar Antenna Technology; Publishing House of Electron: Beijing, China, 2007. [Google Scholar]
- Neto; Cavallo, D.; Gerini, G.; Toso, G. Scanning performances of wideband connected arrays in the presence of a backing reflector. IEEE Trans. Antennas Propag. 2009, 57, 3092–3102. [Google Scholar] [CrossRef]
- Toshev, G. Multipanel Concept for Wide-Angle Scanning of Phased Array Antennas. IEEE Trans. Antennas Propag. 2008, 56, 3330–3333. [Google Scholar] [CrossRef]
- Bai, Y.Y.; Xiao, S.; Tang, M.C.; Ding, Z.F.; Wang, B.Z. Wide-angle scanning phased array with pattern reconfigurable elements. IEEE Trans. Antennas Propag. 2011, 59, 4071–4076. [Google Scholar]
- Ding, X.; Wang, B.Z.; He, G.Q. Research on a Millimeter-Wave Phased Array with Wide-Angle Scanning Performance. IEEE Trans. Antennas Propag. 2011, 61, 5319–5324. [Google Scholar] [CrossRef]
- Hai, L.Z.; Cheung, S.W.; Tong, I.Y. Mechanically pattern reconfigurable antenna using metasurface. IET Microw. Antennas Propag. 2015, 9, 1331–1336. [Google Scholar]
- Cai, X.; Wang, A.G.; Ma, N.; Leng, W. A Novel Planar Parasitic Array Antenna with Reconfigurable Azimuth Pattern. IEEE Antennas Wirel. Propag. Lett. 2012, 11, 1186–1189. [Google Scholar]
- Bai, Y.Y.; Xiao, S.; Tang, M.C.; Liu, C.; Wang, B.Z. Pattern reconfigurable antenna with wide angle coverage. Electron. Lett. 2011, 47, 1163–1164. [Google Scholar] [CrossRef]
- Xiao, S.; Zheng, C.; Li, M.; Xiong, J.; Wang, B.Z. Varactor-Loaded Pattern Reconfigurable Array for Wide-Angle Scanning with Low Gain Fluctuation. IEEE Trans. Antennas Propag. 2015, 63, 2364–2369. [Google Scholar] [CrossRef]
- Liu, C.M.; Xiao, S.Q.; Tu, H.L.; Ding, Z.F. Wide-angle scanning low profile phased array antenna based on a novel magnetic dipole. IEEE Trans. Antennas Propag. 2017, 65, 1151–1162. [Google Scholar] [CrossRef]
- Cheng, Y.F.; Ding, X.; Shao, W.; Yu, M.X.; Wang, B.Z. 2-D planar wide-angle scanning-phased array based on wide-beam elements. IEEE Antennas Wirel. Propag. Lett. 2017, 16, 876–879. [Google Scholar] [CrossRef]
- Yang, G.W.; Li, J.Y.; Wei, D.J.; Xu, R. Study on wide-angle scanning linear phased array antenna. IEEE Trans. Antennas Propag. 2018, 66, 450–455. [Google Scholar] [CrossRef]
- Yang, G.W.; Li, J.Y.; Yang, J.J.; Zhou, S.G. A wide beamwidth and wideband magnetoelectric dipole antenna. IEEE Trans. Antennas Propag. 2018, 66, 6724–6733. [Google Scholar] [CrossRef]
- Kedar, A.; Beenamole, K.S. Wide beam tapered slot antenna for wide angle scanning phased array antenna. Prog. Electromagn. Res. B 2011, 27, 235–251. [Google Scholar] [CrossRef]
- Lima, E.B.; Matos, S.A.; Costa, J.R.; Fernandes, C.A.; Fonseca, N.J.G. Circular Polarization Wide-Angle Beam Steering at Ka-Band by In-Plane Translation of a Plate Lens Antenna. IEEE Trans. Antennas Propag. 2015, 63, 5443–5455. [Google Scholar] [CrossRef]
- Kasemodel, J.A.; Chen, C.C.; Volakis, J.L. Wideband Planar Array with Integrated Feed and Matching Network for Wide-Angle Scanning. IEEE Trans. Antennas Propag. 2013, 61, 4528–4537. [Google Scholar] [CrossRef]
- Beenamole, K.S.; Kutiyal, P.N.; Revankar, U.K.; Pandharipande, V.M. Resonant Microstrip Meander Line Antenna Element for Wide Scan Angle Active Phased Array Antenna. Microw. Opt. Technol. Lett. 2008, 50, 1737–1740. [Google Scholar] [CrossRef]
- Gao, G.F.; Ding, X.; Cheng, Y.F.; Shao, W. Dual-Polarized Wide-Angle Scanning Phased Array Based on Mutimode Patch Elements. IEEE Trans. Antennas Propag. 2019, 18, 546–550. [Google Scholar] [CrossRef]
- Liu, N.W.; Zhu, L.; Fu, G.; Liu, Y. A low profile shorted-patch antenna with enhanced bandwidth and reduced H-plane cross-polarization. IEEE Trans. Antennas Propag. 2018, 66, 5602–5607. [Google Scholar] [CrossRef]
- Lu, W.J.; Li, Q.; Wang, S.G.; Zhu, L. Design Approach to a Novel Dual-Mode Wideband Circular Sector Patch Antenna. IEEE Trans. Antennas Propag. 2017, 65, 4980–4990. [Google Scholar] [CrossRef]
- González-Posadas, V.; Segovia-Vargas, D.; Rajo-Iglesias, E.; Vázquez-Roy, J.L.; Martín-Pascual, C. Approximate Analysis of Short Circuited Ring Patch Antenna Working at Mode. IEEE Trans. Antennas Propag. 2017, 54, 1875–1879. [Google Scholar] [CrossRef]
- Herscovici, N.; Christodoulou, C.; Rajo-Iglesias, E.; Quevedo-Teruel, O.; Sanchez-Fernandez, M. Compact Multimode Patch Antennas for MIMO Applications. IEEE Antennas Propag. Mag. 2008, 50, 197–205. [Google Scholar] [CrossRef]
- Quevedo-Teruel, O.; Rajo-Iglesias, E. Design of Short-Circuited Ring-Patch Antennas Working at hboxTM01 Mode Based on Neural Networks. IEEE Antennas Wirel. Propag. Lett. 2006, 5, 559–562. [Google Scholar] [CrossRef]
- Valavan, S.E.; Tran, D.; Yarovoy, A.G.; Roederer, A.G. Planar Dual-Band Wide-Scan Phased Array in X-Band. IEEE Trans. Antennas Propag. 2014, 62, 5370–5375. [Google Scholar] [CrossRef]
- Pozar, D.M. The active element pattern. IEEE Trans. Antennas Propag. 1994, 42, 1176–1178. [Google Scholar] [CrossRef]
- Pozar, D.M. A relation between the active input impedance and the active element pattern of a phased array. IEEE Trans. Antennas Propag. 2003, 51, 2486–2489. [Google Scholar] [CrossRef]
- Jin, F.L.; Ding, X.; Cheng, Y.F.; Wang, B.Z.; Shao, W. A Wideband Phased Array with Broad Scanning Range and Wide-Angle Impedance Matching. IEEE Trans. Antennas Propag. 2020, 68, 6022–6031. [Google Scholar] [CrossRef]


















| HPBW in E-Plane | HPBW in H-Plane | Peak Gain (dBi) | |
|---|---|---|---|
| Ant. I | 98.3° | 104° | 4.32 |
| Ant. II | 84° | 148.7° | 3.36 |
| Ant. III | 146.7° | 159° | 2.85 |
Disclaimer/Publisher’s Note: The statements, opinions and data contained in all publications are solely those of the individual author(s) and contributor(s) and not of MDPI and/or the editor(s). MDPI and/or the editor(s) disclaim responsibility for any injury to people or property resulting from any ideas, methods, instructions or products referred to in the content. |
© 2023 by the authors. Licensee MDPI, Basel, Switzerland. This article is an open access article distributed under the terms and conditions of the Creative Commons Attribution (CC BY) license (https://creativecommons.org/licenses/by/4.0/).
Share and Cite
Li, D.; Yang, J.; Zhao, J.; Dong, Y.; Li, H.; Li, T.; Wang, H.; Hu, B.; Zhou, Y.; Li, F.; et al. Single-Layer Wide-Angle Scanning Linear Phased Arrays Based on Multimode Microstrip Patch Elements. Micromachines 2024, 15, 3. https://doi.org/10.3390/mi15010003
Li D, Yang J, Zhao J, Dong Y, Li H, Li T, Wang H, Hu B, Zhou Y, Li F, et al. Single-Layer Wide-Angle Scanning Linear Phased Arrays Based on Multimode Microstrip Patch Elements. Micromachines. 2024; 15(1):3. https://doi.org/10.3390/mi15010003
Chicago/Turabian StyleLi, Dongsheng, Jie Yang, Jianing Zhao, Yongzhen Dong, Hao Li, Tianming Li, Haiyang Wang, Biao Hu, Yihong Zhou, Fang Li, and et al. 2024. "Single-Layer Wide-Angle Scanning Linear Phased Arrays Based on Multimode Microstrip Patch Elements" Micromachines 15, no. 1: 3. https://doi.org/10.3390/mi15010003
APA StyleLi, D., Yang, J., Zhao, J., Dong, Y., Li, H., Li, T., Wang, H., Hu, B., Zhou, Y., Li, F., & Yang, R. (2024). Single-Layer Wide-Angle Scanning Linear Phased Arrays Based on Multimode Microstrip Patch Elements. Micromachines, 15(1), 3. https://doi.org/10.3390/mi15010003

