A Bio-Inspired Bistable Piezoelectric Structure for Low-Frequency Energy Harvesting Applied to Reduce Stress Concentration
Abstract
1. Introduction
2. Bio-Inspired Design and Mechanical Model
2.1. Bio-Inspired Design of the Wing-Flapping Energy Harvester
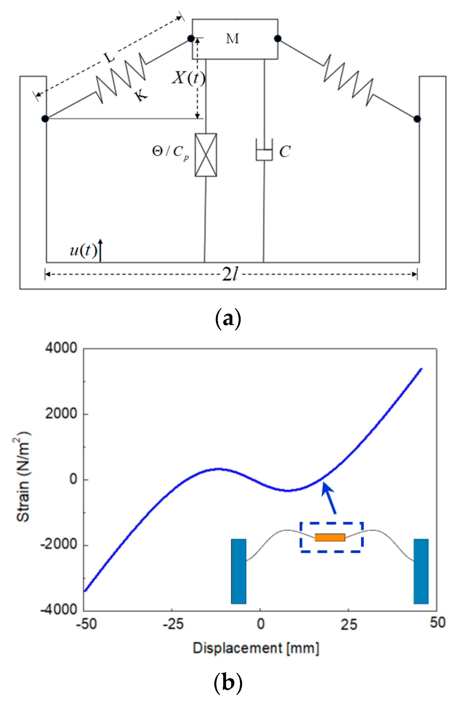
2.2. Mechanical Model
2.3. FEM Optimization Design
3. Relief of Stress Concentration
4. Experiments and Analysis
4.1. Prototype Fabrication and Experimental Setup
4.2. The Snap-Through Phenomenon
4.3. Voltage Frequency Response Analysis
4.4. Output Performance of the Designed Harvester
5. Conclusions
- When the mass of the middle beam of the energy harvester is 10 g, snap-through is observed when the motion of the power generator (the movement range in the mass block is between h1 (1.10 cm) and h3 (−1.01 cm)) changes from the original in-well motion to the inter-well motion, exceeding the potential barrier (snap-through).
- The peak stress position of the seagull-inspired beam proposed in this paper can fully utilize materials and the avoid stress concentration that causes the premature fatigue failure of materials. In addition, in terms of peak stress, the peak stress of the seagull-inspired beam is 41.2% lower than that of the cantilever beam and 27.5% lower than that of the arch beam, indicating the huge potential of the seagull-inspired beam to improve material fatigue failure.
- When the external resistance of the circuit is set to 47 kΩ, the peak output power of the circuit achieves the maximum state of 0.734 mW (18 Hz). As a consequence, when the full bridge circuit that converts AC to DC is sent to a 470 μF capacitor, the maximum voltage of the capacitor can reach 3000 mV after 380 s of charging.
Author Contributions
Funding
Data Availability Statement
Conflicts of Interest
References
- Rui, X.; Li, Y.; Liu, Y.; Zheng, X.; Zeng, Z. Experimental Study and Parameter Optimization of a Magnetic Coupled Piezoelectric Energy Harvester. Appl. Sci. 2018, 8, 2609. [Google Scholar] [CrossRef]
- Ambrożkiewicz, B.; Litak, G.; Wolszczak, P. Modelling of Electromagnetic Energy Harvester with Rotational Pendulum Using Mechanical Vibrations to Scavenge Electrical Energy. Appl. Sci. 2020, 10, 671. [Google Scholar] [CrossRef]
- Wu, N.; He, Y.; Fu, J. Bistable energy harvester using easy snap-through performance to increase output power. Energy 2021, 226, 120414. [Google Scholar]
- Speciale, A.; Ardito, R.; Baù, M.; Ferrari, M.; Ferrari, V.; Frangi, A.A. Snap-Through Buckling Mechanism for Frequency-up Conversion in Piezoelectric Energy Harvesting. Appl. Sci. 2020, 10, 3614. [Google Scholar] [CrossRef]
- Liu, F.R.; Zhang, W.M.; Peng, Z.K.; Meng, G. Fork-shaped bluff body for enhancing the performance of galloping-based wind energy harvester. Energy 2019, 183, 92–105. [Google Scholar] [CrossRef]
- Liu, S.; Wang, W. Response Analysis of Asymmetric Monostable Harvesters Driven by Color Noise and Band-Limited Noise. Appl. Sci. 2021, 11, 9227. [Google Scholar] [CrossRef]
- Zhang, B.; Mao, Z.; Song, B.; Ding, W.; Tian, W. Numerical investigation on effect of damping-ratio and mass-ratio on energy harnessing of a square cylinder in FIM. Energy 2018, 144, 218–231. [Google Scholar] [CrossRef]
- Usman, M.; Hanif, A.; Kim, I.H.; Jung, H.J. Experimental validation of a novel piezoelectric energy harvesting system employing wake galloping phenomenon for a broad wind spectrum. Energy 2018, 153, 882–889. [Google Scholar] [CrossRef]
- Zhang, L.B.; Dai, H.L.; Abdelkefi, A.; Wang, L. Experimental investigation of aerodynamic energy harvester with different interference cylinder cross-sections. Energy 2019, 167, 970–981. [Google Scholar] [CrossRef]
- Song, R.; Dan, X.; Li, J.; Xie, T. Modeling and Experimental Study of Piezoelectric Energy Harvesterunder Vortex-Induced Vibration. J. Vib. Control 2016, 50, 55–60. [Google Scholar]
- Song, R.; Dan, X.; Fan, M.; Xie, T. Simulations and experiments on a hydrodynamic compound pendulum piezoelectricenergy harvester accompanied with vortex-induced vibration. J. Vib. Control 2017, 36, 78–83. [Google Scholar]
- Sun, W.; Tan, T.; Yan, Z.; Zhao, D.; Luo, X.; Huang, W. Energy Harvesting from Water Flow in Open Channel with Macro Fiber Composite. AIP Adv. 2018, 8, 095107. [Google Scholar] [CrossRef]
- Molino-Minero-Re, E.; Carbonell-Ventura, M.; Fisac-Fuentes, C.; Manuel-Lazaro, A.; Toma, D.M. Piezoelectric Energy Harvesting from Induced Vortex in Water Flow. In Proceedings of the 2012 IEEE International Instrumentation and Measurement Technology Conference Proceedings, Graz, Austria, 13–16 May 2012; IEEE: Piscataway, NJ, USA, 2012; pp. 624–627. [Google Scholar]
- Kim, M.; Hoegen, M.; Dugundji, J.; Wardle, B.L. Modeling and Experimental Verification of Proof Mass Effects on Vibration Energy Harvester Performance. Smart Mater. Struct. 2010, 19, 045023. [Google Scholar] [CrossRef]
- Yildirim, T.; Ghayesh, M.H.; Li, W.; Alici, G. A Review on Performance Enhancement Techniques for Ambient Vibration Energy Harvesters. Renew. Sustain. Energy Rev. 2017, 71, 435–449. [Google Scholar] [CrossRef]
- Li, P.; Liu, Y.; Wang, Y.; Luo, C.; Li, G.; Hu, J.; Liu, W.; Zhang, W. Low-Frequency and Wideband Vibration Energy Harvester with Flexible Frame and Interdigital Structure. AIP Adv. 2015, 5, 047151. [Google Scholar] [CrossRef]
- Liu, D.; Al-Haik, M.; Zakaria, M.; Hajj, M.R. Piezoelectric Energy Harvesting Using L-Shaped Structures. J. Intell. Mater. Syst. Struct. 2018, 29, 1206–1215. [Google Scholar] [CrossRef]
- Zhou, S.; Hobeck, J.D.; Cao, J.; Inman, D.J. Analytical and Experimental Investigation of Flexible Longitudinal Zigzag Structures for Enhanced Multi-Directional Energy Harvesting. Smart Mater. Struct. 2017, 26, 035008. [Google Scholar] [CrossRef]
- Zhou, S.; Cao, J.; Inman, D.J.; Liu, S.; Wang, W.; Lin, J. Impact-Induced High-Energy Orbits of Nonlinear Energy Harvesters. Appl. Phys. Lett. 2015, 106, 093901. [Google Scholar] [CrossRef]
- Wu, N.; He, Y.; Fu, J.; Peng, L. Performance of a bistable flow-energy harvester based on vortex-induced vibration. J. Wind Eng. Ind. Aerodyn. 2021, 217, 104733. [Google Scholar] [CrossRef]
- Yan, P.; Zhibing, X.; Min, W.; Zhongjie, L.; Jinlin, P.; Jun, L. Investigation of frequency-up conversion effect on the performance improvement of stack-based piezoelectric generators. Renew. Energy 2021, 172, 551–563. [Google Scholar]
- Umeda, M.; Nakamura, K.; Ueha, S. Analysis of the Transformation of Mechanical Impact Energy to Electric Energy Using Piezoelectric Vibrator. Jpn. J. Appl. Phys. 1996, 35, 3267. [Google Scholar] [CrossRef]
- Harne, R.L.; Wang, K.W. A review of the recent research on vibration energy harvesting via bistable systems. Smart Mater. Struct. 2013, 22, 023001. [Google Scholar] [CrossRef]
- Pellegrini, S.P.; Tolou, N.; Schenk, M.; Herder, J.L. Bistable vibration energy harvesters: A review. J. Intell. Mater. Syst. Struct. 2013, 24, 130312. [Google Scholar] [CrossRef]
- Andò, B.; Baglio, S.; Bulsara, A.R.; Marletta, V. A bistable buckled beam based approach for vibrational energy harvesting. Sens. Actuators A-Phys. 2014, 211, 153–161. [Google Scholar] [CrossRef]
- Harne, R.L.; Thota, M.; Wang, K.W. Bistable energy harvesting enhancement with an auxiliary linear oscillator. Smart Mater. Struct. 2013, 22, 125028. [Google Scholar] [CrossRef]
- Qian, F.; Zhou, S.; Zuo, L. Approximate solutions and their stability of a broadband piezoelectric energy harvester with a tunable potential function. Commun. Nonlinear. Sci. 2020, 80, 104984. [Google Scholar] [CrossRef]
- Tran, N.; Ghayesh, M.H.; Arjomandi, M. Ambient vibration energy harvesters: A review on nonlinear techniques for performance enhancement. Int. J. Eng. Sci. 2018, 127, 162–185. [Google Scholar] [CrossRef]
- She, G.L.; Yuan, F.G.; Ren, Y.R.; Xiao, W.S. On buckling and postbuckling behavior of nanotubes. Int. J. Eng. Sci. 2017, 121, 130–142. [Google Scholar] [CrossRef]
- Leadenham, S.; Erturk, A. M-shaped asymmetric nonlinear oscillator for broadband vibration energy harvesting: Harmonic balance analysis and experimental validation. J. Sound. Vib. 2014, 333, 6209–6223. [Google Scholar] [CrossRef]
- Yao, M.H.; Li, Y.B.; Zhang, W. The steady-state response analysis of bistable piezoelectric converter. Appl. Mech. Mater. 2015, 775, 301–306. [Google Scholar]
- Cha, Y.; Chae, W.; Kim, H.; Walcott, H.; Peterson, S.D.; Porfiri, M. Energy harvesting from a piezoelectric biomimetic fish tail. Renew. Energy 2016, 86, 449–458. [Google Scholar] [CrossRef]
- Qian, F.; Hajj, M.R.; Zuo, L. Bio-inspired bi-stable piezoelectric harvester for broadband vibration energy harvesting. Energy Convers. Manag. 2020, 222, 113174. [Google Scholar] [CrossRef]
- Junwu, K.; Weilin, L.; Jin, W.; Shuyun, W.; Mengjia, Y.; Yonghua, J. Enhanced piezoelectric wind-induced vibration energy 356 harvester via the interplay between cylindrical shell and diamond-shaped baffle. Nano Energy 2021, 89, 357. [Google Scholar]
- Wang, W.; Wang, X.; He, X.; Wang, M.; Shu, H.; Xue, K. Comparisons of bioinspired piezoelectric wind energy harvesters with different layout of stiffeners based on leaf venation prototypes. Sens. Actuators A-Phys. 2019, 298, 111570. [Google Scholar] [CrossRef]
- Zhou, J.; Zhao, X.; Wang, K.; Chang, Y.; Wen, G. Bio-inspired bistable piezoelectric vibration energy harvester: Design and experimental investigation. Energy 2021, 228, 120595. [Google Scholar] [CrossRef]
- Fu, H.; Zahra, S.K.; Ferri, A. A bio-inspired host-parasite structure for broadband vibration energy harvesting from low-frequency random sources. Appl. Phys. Lett. 2019, 114, 143901. [Google Scholar] [CrossRef]
- Yang, B.; Yi, Z.; Tang, G.; Liu, J. A gullwing-structured piezoelectric rotational energy harvester for low frequency energy scavenging. Appl. Phys. Lett. 2019, 115, 063901. [Google Scholar] [CrossRef]
- Li, J.H.; Fu, G.Q.; Wu, B. Design and Simulation Analysis of Two Stage Bionic Flapping Wing Mechanism. Mach. Tool Hydraul. 2020, 48, 144–148. [Google Scholar]
- Zhang, Z.; Xiang, H.; Shi, Z.; Zhan, J. Experimental Investigation on.Piezoelectric Energy Harvesting from Vehicle-Bridge Coupling Vibration. Energy Convers. Manag. 2018, 163, 169–179. [Google Scholar] [CrossRef]
- Cai, Y.; Fu, J.; Wu, N.; Xiong, C.; Liu, A.; He, Y. A High-Efficiency Curved Panel Energy Harvester Featured by Reduced Stress Concentration. Energy Convers. Manag. 2022, 271, 116334. [Google Scholar] [CrossRef]
- Fu, H.; Jiang, J.; Hu, S.; Rao, J.; Theodossiades, S. A Multi-Stable Ultra-Low Frequency Energy Harvester Using a Nonlinear Pendulum and Piezoelectric Transduction for Self-Powered Sensing. Mech. Syst. Signal Process. 2023, 189, 110034. [Google Scholar] [CrossRef]
- Tian, L.; Shen, H.; Yang, Q.; Song, R.; Bian, Y. A Novel Outer-Inner Magnetic Two Degree-of-Freedom Piezoelectric Energy Harvester. Energy Convers. Manag. 2023, 283, 116920. [Google Scholar] [CrossRef]












| Material | Property |
|---|---|
| Stainless steel sheet | Density ρ = 7850 kg/m3; Young’s Modulus E = 190 Gpa; Poisson’s ratio ν = 0.30;Width b1 = 20 mm;Thickness h1 = 0.1 mm |
| PVDF | Density ρ = 1780 kg/m3; Relative permittivity {epsilonrS11, epsilonrS22, epsilonrS33} {7.4 9.3 7.6}; Width b2 = 20 mm;Thickness h2 = 0.1 mm |
| References | Operation Mechanism | Material | Central Frequency (Hz) | Power (μW) | Impedance (Ω) |
|---|---|---|---|---|---|
| Zhang et al. [40] | Piezoelectric | PZT-5H | 21, 31 | 700, 530 | 60 k, 29 k |
| Cai et al. [41] | Piezoelectric | PVDF | 24 | 129.4 | 600 k |
| Fu et al. [42] | Electromagnetic | Magnet, coil | 1~3 | 8 | N/A |
| Tian et al. [43] | Electromagnetic | Magnet, coil | 12.8 | 133 | N/A |
| This work | Bi-stability | Steel and PVDF | 18 | 734 | 47 k |
Disclaimer/Publisher’s Note: The statements, opinions and data contained in all publications are solely those of the individual author(s) and contributor(s) and not of MDPI and/or the editor(s). MDPI and/or the editor(s) disclaim responsibility for any injury to people or property resulting from any ideas, methods, instructions or products referred to in the content. |
© 2023 by the authors. Licensee MDPI, Basel, Switzerland. This article is an open access article distributed under the terms and conditions of the Creative Commons Attribution (CC BY) license (https://creativecommons.org/licenses/by/4.0/).
Share and Cite
Wu, N.; Fu, J.; Xiong, C. A Bio-Inspired Bistable Piezoelectric Structure for Low-Frequency Energy Harvesting Applied to Reduce Stress Concentration. Micromachines 2023, 14, 909. https://doi.org/10.3390/mi14050909
Wu N, Fu J, Xiong C. A Bio-Inspired Bistable Piezoelectric Structure for Low-Frequency Energy Harvesting Applied to Reduce Stress Concentration. Micromachines. 2023; 14(5):909. https://doi.org/10.3390/mi14050909
Chicago/Turabian StyleWu, Nan, Jiyang Fu, and Chao Xiong. 2023. "A Bio-Inspired Bistable Piezoelectric Structure for Low-Frequency Energy Harvesting Applied to Reduce Stress Concentration" Micromachines 14, no. 5: 909. https://doi.org/10.3390/mi14050909
APA StyleWu, N., Fu, J., & Xiong, C. (2023). A Bio-Inspired Bistable Piezoelectric Structure for Low-Frequency Energy Harvesting Applied to Reduce Stress Concentration. Micromachines, 14(5), 909. https://doi.org/10.3390/mi14050909

