First Experimental Evidence of Anti-Stokes Laser-Induced Fluorescence Emission in Microdroplets and Microfluidic Systems Driven by Low Thermal Conductivity of Fluorocarbon Carrier Oil
Abstract
1. Introduction
2. Materials and Methods
2.1. Broadband Reflection Mode Optofluidic Setup
2.2. Fabrication of Microfluidic Devices
2.3. Temperature Measurements
3. Results and Discussion
3.1. Experimental Demonstration of Anti-Stokes Fluorescence Emission of RhB Dye at the Droplets Interface
3.2. Effect of the Surfactant Droplets on Anti-Stokes Fluorescence Emission
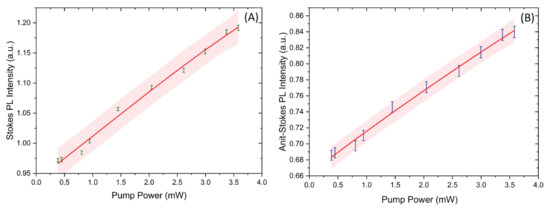
3.3. Effect of the Incident Laser Beam Power
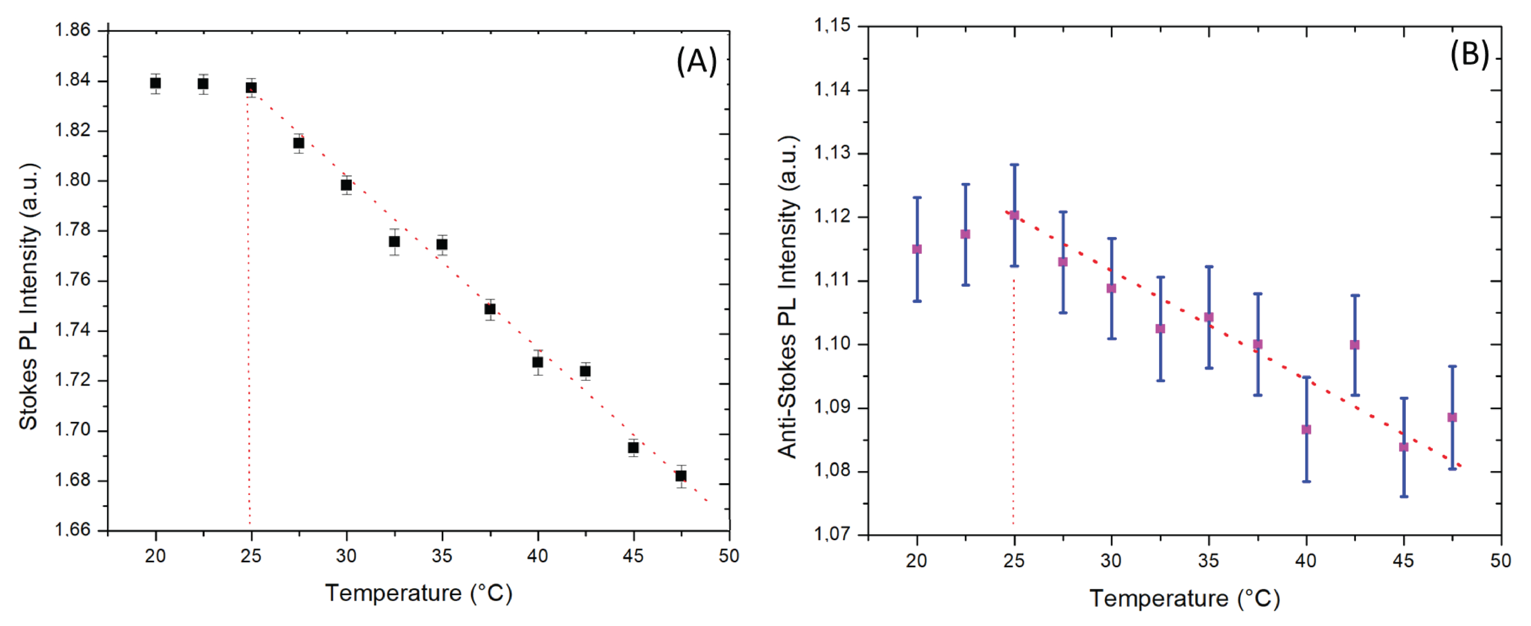
3.4. Dependence of Stokes and Anti-Stokes Fluorescence vs. Temperature in a Microfluidic Chamber
3.5. Suggested Origin of the Anti-Stokes Photoluminescence in Oil Phase: Low Thermal Conductivity of Surrounding Fluorocarbon Oil
- The intensity of anti-Stokes fluorescence may be relatively high and may represent more than 60% of the intensity of Stokes fluorescence, whereas in water solution, anti-Stokes fluorescence is very weak and represents less than 5% of the Stokes fluorescence;
- The wavelength of the observed anti-Stock fluorescence is smaller than the excitation wavelength, which means that excess energy of the emitted photons by this process should be provided by the thermal bath;
- When the temperature is increased, both Stokes and anti-Stokes Fluorescence intensities remain practically constant before a transition temperature appears, above which fluorescence starts to decrease linearly with a thermal sensitivity of about C (Stokes) or C (anti-Stokes);
- The transition temperature value reveals that to depend on the power of the incident excitation light, for an excitation power of 3.5 mW, the transition temperature is found to be about 25 C, whereas for a smaller excitation power (0.5 mW), the transition temperature was found to be about 36 C.
4. Conclusions
Author Contributions
Funding
Data Availability Statement
Acknowledgments
Conflicts of Interest
References
- De Kowalski, J. Influence de la température sur la fluorescence et la loi de Stokes. Radium 1910, 7, 56–58. [Google Scholar] [CrossRef]
- Jablonski, A. Efficiency of anti-stokes fluorescence in dyes. Nature 1933, 131, 839. [Google Scholar] [CrossRef]
- Jain, R.; Hu, C.; Gustafson, T.; Elliot, S.; Chang, M. Absorption processes associated with anti-stokes fluorescence in rhodamine B solutions. J. Appl. Phys. 1973, 44, 3157–3161. [Google Scholar] [CrossRef]
- Kuzmin, A.; Baev, A.; Kachynski, A.; Fisher, T.S.; Shakouri, A.; Prasad, P. Anti-stokes fluorescence imaging of microscale thermal fields in thin films. J. Appl. Phys. 2011, 110, 033512. [Google Scholar] [CrossRef]
- Chen, Y.Y.; Wood, A.W. Application of a temperature-dependent fluorescent dye (Rhodamine B) to the measurement of radiofrequency radiation-induced temperature changes in biological samples. Bioelectromagn. J. Bioelectromagn. Soc. Soc. Phys. Regul. Biol. Med. Eur. Bioelectromagn. Assoc. 2009, 30, 583–590. [Google Scholar] [CrossRef]
- Kachynski, A.; Kuzmin, A.; Pudavar, H.; Prasad, P. Three-dimensional confocal thermal imaging using anti-Stokes luminescence. Appl. Phys. Lett. 2005, 87, 023901. [Google Scholar] [CrossRef]
- Zhu, X.; Su, Q.; Feng, W.; Li, F. Anti-Stokes shift luminescent materials for bio-applications. Chem. Soc. Rev. 2017, 46, 1025–1039. [Google Scholar] [CrossRef] [PubMed]
- Hossain, M.A.; Canning, J.; Yu, Z.; Ast, S.; Rutledge, P.J.; Wong, J.K.H.; Jamalipour, A.; Crossley, M.J. Time-resolved and temperature tuneable measurements of fluorescent intensity using a smartphone fluorimeter. Analyst 2017, 142, 1953–1961. [Google Scholar] [CrossRef]
- Pringsheim, P. Zwei bemerkungen über den unterschied von lumineszenz-und temperaturstrahlung. Z. Phys. 1929, 57, 739–746. [Google Scholar] [CrossRef]
- Epstein, R.I.; Sheik-Bahae, M. Optical Refrigeration: Science and Applications of Laser Cooling of Solids; John Wiley & Sons: Hoboken, NJ, USA, 2010. [Google Scholar]
- Xie, X.; Cahill, D.G. Thermometry of plasmonic nanostructures by anti-Stokes electronic Raman scattering. Appl. Phys. Lett. 2016, 109, 183104. [Google Scholar] [CrossRef]
- Carattino, A.; Caldarola, M.; Orrit, M. Gold nanoparticles as absolute nanothermometers. Nano Lett. 2018, 18, 874–880. [Google Scholar] [CrossRef]
- Crane, M.J.; Zhou, X.; Davis, E.J.; Pauzauskie, P.J. Photothermal Heating and Cooling of Nanostructures. Chem.–Asian J. 2018, 13, 2575–2586. [Google Scholar] [CrossRef] [PubMed]
- Hayat, Z.; El Abed, A.I. High-throughput optofluidic acquisition of microdroplets in microfluidic systems. Micromachines 2018, 9, 183. [Google Scholar] [CrossRef] [PubMed]
- Sakakibara, J.; Adrian, R.J. Whole field measurement of temperature in water using two-color laser induced fluorescence. Exp. Fluids 1999, 26, 7–15. [Google Scholar] [CrossRef]
- Ebert, S.; Travis, K.; Lincoln, B.; Guck, J. Fluorescence ratio thermometry in a microfluidic dual-beam laser trap. Opt. Express 2007, 15, 15493–15499. [Google Scholar] [CrossRef]
- Vogel, M.; Rettig, W.; Sens, R.; Drexhage, K.H. Structural relaxation of rhodamine dyes with different N-substitution patterns: A study of fluorescence decay times and quantum yields. Chem. Phys. Lett. 1988, 147, 452–460. [Google Scholar] [CrossRef]
- Ferreira, J.A.; Costa, S.M.; Vieira Ferreira, L. Activated radiationless decay of rhodamine 3B: Polarity and friction effects. J. Phys. Chem. A 2000, 104, 11909–11917. [Google Scholar] [CrossRef]
- Gosse, C.; Bergaud, C.; Löw, P. Molecular probes for thermometry in microfluidic devices. In Thermal Nanosystems and Nanomaterials; Springer: Berlin/Heidelberg, Germany, 2009; pp. 301–341. [Google Scholar]
- Ghifari, N.; Rassouk, S.; Hayat, Z.; Taleb, A.; Chahboun, A.; El Abed, A.I. Dye-Doped ZnO Microcapsules for High Throughput and Sensitive Optofluidic Micro-Thermometry. Micromachines 2020, 11, 100. [Google Scholar] [CrossRef]
- Duffy, D.C.; McDonald, J.C.; Schueller, O.J.; Whitesides, G.M. Rapid prototyping of microfluidic systems in poly (dimethylsiloxane). Anal. Chem. 1998, 70, 4974–4984. [Google Scholar] [CrossRef]
- Spitz, J.A.; Yasukuni, R.; Sandeau, N.; Takano, M.; Vachon, J.J.; Méallet-Renault, R.; Pansu, R. Scanning-less wide-field single-photon counting device for fluorescence intensity, lifetime and time-resolved anisotropy imaging microscopy. J. Microsc. 2008, 229, 104–114. [Google Scholar] [CrossRef] [PubMed]
- Prokazov, Y.; Turbin, E.; Weber, A.; Hartig, R.; Zuschratter, W. Position sensitive detector for fluorescence lifetime imaging. J. Instrum. 2014, 9, C12015. [Google Scholar] [CrossRef]
- Boens, N.; Qin, W.; Basarić, N.; Hofkens, J.; Ameloot, M.; Pouget, J.; Lefevre, J.P.; Valeur, B.; Gratton, E.; Vandeven, M.; et al. Fluorescence lifetime standards for time and frequency domain fluorescence spectroscopy. Anal. Chem. 2007, 79, 2137–2149. [Google Scholar] [CrossRef]
- Eggleton, C.D.; Tsai, T.M.; Stebe, K.J. Tip Streaming from a Drop in the Presence of Surfactants. Phys. Rev. Lett. 2001, 87, 048302. [Google Scholar] [CrossRef]
- Baret, J.C. Surfactants in droplet-based microfluidics. Lab Chip 2012, 12, 422–433. [Google Scholar] [CrossRef] [PubMed]
- Baret, J.C.; Kleinschmidt, F.; El Harrak, A.; Griffiths, A.D. Kinetic aspects of emulsion stabilization by surfactants: A microfluidic analysis. Langmuir 2009, 25, 6088–6093. [Google Scholar] [CrossRef]
- Arbeloa, F.L.; Ojeda, P.R.; Arbeloa, I.L. Flourescence self-quenching of the molecular forms of Rhodamine B in aqueous and ethanolic solutions. J. Lumin. 1989, 44, 105–112. [Google Scholar] [CrossRef]
- Setiawan, D.; Kazaryan, A.; Martoprawiro, M.A.; Filatov, M. A first principles study of fluorescence quenching in rhodamine B dimers: How can quenching occur in dimeric species? Phys. Chem. Chem. Phys. 2010, 12, 11238–11244. [Google Scholar] [CrossRef] [PubMed]
- Drexhage, K.H. Structure and properties of laser dyes. In Dye Lasers; Springer: Berlin/Heidelberg, Germany, 1973; pp. 144–193. [Google Scholar]
- Bindhu, C.; Harilal, S. Effect of the excitation source on the quantum-yield measurements of rhodamine B laser dye studied using thermal-lens technique. Anal. Sci. 2001, 17, 141–144. [Google Scholar] [CrossRef]







Disclaimer/Publisher’s Note: The statements, opinions and data contained in all publications are solely those of the individual author(s) and contributor(s) and not of MDPI and/or the editor(s). MDPI and/or the editor(s) disclaim responsibility for any injury to people or property resulting from any ideas, methods, instructions or products referred to in the content. |
© 2023 by the authors. Licensee MDPI, Basel, Switzerland. This article is an open access article distributed under the terms and conditions of the Creative Commons Attribution (CC BY) license (https://creativecommons.org/licenses/by/4.0/).
Share and Cite
Hayat, Z.; El Abed, A. First Experimental Evidence of Anti-Stokes Laser-Induced Fluorescence Emission in Microdroplets and Microfluidic Systems Driven by Low Thermal Conductivity of Fluorocarbon Carrier Oil. Micromachines 2023, 14, 765. https://doi.org/10.3390/mi14040765
Hayat Z, El Abed A. First Experimental Evidence of Anti-Stokes Laser-Induced Fluorescence Emission in Microdroplets and Microfluidic Systems Driven by Low Thermal Conductivity of Fluorocarbon Carrier Oil. Micromachines. 2023; 14(4):765. https://doi.org/10.3390/mi14040765
Chicago/Turabian StyleHayat, Zain, and Abdel El Abed. 2023. "First Experimental Evidence of Anti-Stokes Laser-Induced Fluorescence Emission in Microdroplets and Microfluidic Systems Driven by Low Thermal Conductivity of Fluorocarbon Carrier Oil" Micromachines 14, no. 4: 765. https://doi.org/10.3390/mi14040765
APA StyleHayat, Z., & El Abed, A. (2023). First Experimental Evidence of Anti-Stokes Laser-Induced Fluorescence Emission in Microdroplets and Microfluidic Systems Driven by Low Thermal Conductivity of Fluorocarbon Carrier Oil. Micromachines, 14(4), 765. https://doi.org/10.3390/mi14040765

