Direct Numerical Simulation of Surface Wrinkling for Extraction of Thin Metal Film Material Properties
Abstract
1. Introduction
2. Theory of Wrinkling of Thin Film for Extraction of Material Properties
3. FEM Model Description for Direct Numerical Simulation
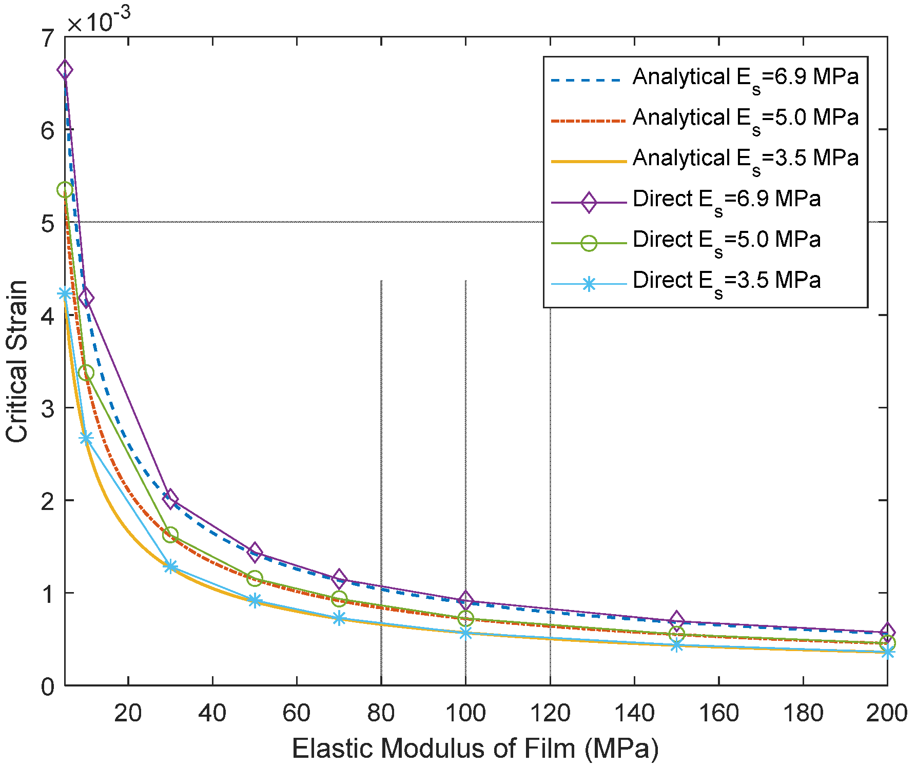
4. Direction Simulation Results and Discussions
5. Fabrication of Thin-Film Wrinkling and Extraction of Material Properties
6. Conclusions and Perspectives
Author Contributions
Funding
Institutional Review Board Statement
Informed Consent Statement
Data Availability Statement
Conflicts of Interest
References
- Chung, J.Y.; Nolte, A.J.; Stafford, C.M. Surface Wrinkling: A Versatile Platform for Measuring Thin-Film Properties. Adv. Mater. 2011, 23, 349–368. [Google Scholar] [CrossRef] [PubMed]
- Wang, S.; Song, J.; Kim, D.-H.; Huang, Y.; Rogers, J.A. Local versus global buckling of thin films on elastomeric substrates. Appl. Phys. Lett. 2008, 93, 023126. [Google Scholar] [CrossRef]
- Bowden, N.; Huck, W.T.S.; Paul, K.E.; Whitesides, G.M. The controlled formation of ordered, sinusoidal structures by plasma oxidation of an elastomeric polymer. Appl. Phys. Lett. 1999, 75, 2557–2559. [Google Scholar] [CrossRef]
- Bowden, N.B.; Brittain, S.T.; Evans, A.G.; Hutchinson, J.W.; Whitesides, G.M. Spontaneous Formation of Ordered Structures in Thin Films of Metals Supported on an Elastomeric Polymer. Nature 1998, 393, 146–149. [Google Scholar] [CrossRef]
- Yoo, P.J.; Suh, K.Y.; Kang, H.; Lee, H.H. Polymer elasticity-driven wrinkling and coarsening in high temperature buckling of metal-capped polymer thin films. Phys. Rev. Lett. 2004, 93, 034301. [Google Scholar] [CrossRef]
- Freund, L.B.; Surech, S. Thin Film Materials: Stress, Defect Formation and Surface Evolution. Chapter 2: Film Stress and Substrate Curvature; Cambridge University Press: Cambridge, UK, 2010. [Google Scholar] [CrossRef]
- Liu, H.; Dai, M.; Tian, X.; Chen, S.; Dong, F.; Lu, L. Modified Stoney formula for determining stress within thin films on large-deformation isotropic circular plates. AIP Adv. 2021, 11, 125009. [Google Scholar] [CrossRef]
- Chou, T.-L.; Yang, S.-Y.; Chiang, K.-N. Overview and applicability of residual stress estimation of film–substrate structure. Thin Solid Films 2011, 519, 7883–7894. [Google Scholar] [CrossRef]
- Saha, R.; Nix, W.D. Effects of the substrate on the determination of thin film mechanical properties by nanoindentation. Acta Mater. 2002, 50, 23–38. [Google Scholar] [CrossRef]
- Wang, X.; Xu, P.; Han, R.; Ren, J.; Li, L.; Han, N.; Xing, F.; Zhu, J. A review on the mechanical properties for thin film and block structure characterised by using nanoscratch test. Nanotechnol. Rev. 2019, 8, 628–644. [Google Scholar] [CrossRef]
- Baek, C.W.; Kim, J.M.; Kim, Y.K.; Kim, J.H.; Lee, H.J.; Han, S.W. Mechanical Characterization of Gold Thin Films Based on Strip Bending and Nanoindentation Test for MEMS/NEMS Applications. Sens. Mater. 2005, 17, 277–288. [Google Scholar]
- Stafford, C.M.; Harrison, C.; Beers, K.L.; Karim, A.; Amis, E.J.; VanLandingham, M.R.; Kim, H.C.; Volksen, W.; Miller, R.D.; Simonyi, E.E. A buckling-based metrology for measuring the elastic moduli of polymeric thin films. Nat. Mater. 2004, 3, 545–550. [Google Scholar] [CrossRef] [PubMed]
- Stafford, C.M.; Harrison, C.; Karim, A.; Amis, E.J. Measuring the modulus of polymer films by strain-induced buckling instabilities. Polym. Prepr. 2002, 43, 1335. [Google Scholar]
- Niinivaara, E.; Desmaisons, J.; Dufresne, A.; Bras, J.; Cranston, E.D. Film thickness limits of a buckling-based method to determine mechanical properties of polymer coatings. J. Colloid Interface Sci. 2021, 582, 227–235. [Google Scholar] [CrossRef] [PubMed]
- Seok, S.; Park, H.; Kim, J. Scotch-Tape Surface Wrinkling Based Thin-Film Material Properties Extraction. J. Micromech. Microeng. 2022, 32, 045002. [Google Scholar] [CrossRef]
- Song, J.; Jiang, H.; Choi, W.M.; Khang, D.Y.; Huang, Y.; Rogers, J.A. An analytical study of two-dimensional buckling of thin films on compliant substrates. J. Appl. Phys. 2008, 103, 014303. [Google Scholar] [CrossRef]
- Yin, J.; Chen, X. Buckling patterns of thin films on compliant substrates: The effect of plasticity. J. Phys. D Appl. Phys. 2011, 44, 045401. [Google Scholar] [CrossRef]
- Huang, Q.; Xu, R.; Liu, Y.; Hu, H.; Giunta, G.; Belouettar, S.; Potier-Ferry, M. A two-dimensional Fourier-series finite element for wrinkling analysis of thin films on compliant substrates. Thin Walled Struct. 2017, 114, 144–153. [Google Scholar] [CrossRef]
- Mei, H.; Landis, C.M.; Huang, R. Concomitant wrinkling and buckle-delamination of elastic thin films on compliant substrates. Mech. Mater. 2011, 43, 627–642. [Google Scholar] [CrossRef]
- Leifer, J.; Belvin, W. Prediction of wrinkle amplitudes in thin film membranes using finite element modeling. In Proceedings of the 44th AIAA/ASME/ASCE/AHS/ASC Structures, Structural Dynamics, and Materials Conference, Norfolk, VA, USA, 7–10 April 2003. [Google Scholar]
- Nikravesh, S.; Ryu, D.; Shen, Y.-L. Direct numerical simulation of buckling instability of thin films on a compliant substrate. Adv. Mech. Eng. 2019, 11, 1687814019840470. [Google Scholar] [CrossRef]
- Nikravesh, S.; Ryu, D.; Shen, Y.-L. Instabilities of thin films on a compliant substrate: Direct numerical simulations from surface wrinkling to global buckling. Sci. Rep. 2020, 10, 1–19. [Google Scholar] [CrossRef]
- Nikravesh, S.; Ryu, D.; Shen, Y.-L. Surface Wrinkling versus Global Buckling Instabilities in Thin Film-Substrate Systems under Biaxial Loading: Direct 3D Numerical Simulations. Adv. Theory Simul. 2022, 5, 2200183. [Google Scholar] [CrossRef]












| Thin Films | Wavelength by Optical Microscope | Wavelength by 3D Profiler |
|---|---|---|
| Au 150 nm | Non-measurable | Non-measurable |
| Au 300 nm | 55 µm | 53 µm |
| Al 150 nm | 34 µm | 44 µm |
| Al 300 nm | 58 µm | 55 µm |
Disclaimer/Publisher’s Note: The statements, opinions and data contained in all publications are solely those of the individual author(s) and contributor(s) and not of MDPI and/or the editor(s). MDPI and/or the editor(s) disclaim responsibility for any injury to people or property resulting from any ideas, methods, instructions or products referred to in the content. |
© 2023 by the authors. Licensee MDPI, Basel, Switzerland. This article is an open access article distributed under the terms and conditions of the Creative Commons Attribution (CC BY) license (https://creativecommons.org/licenses/by/4.0/).
Share and Cite
Seok, S.; Park, H.; Coste, P.; Kim, J. Direct Numerical Simulation of Surface Wrinkling for Extraction of Thin Metal Film Material Properties. Micromachines 2023, 14, 747. https://doi.org/10.3390/mi14040747
Seok S, Park H, Coste P, Kim J. Direct Numerical Simulation of Surface Wrinkling for Extraction of Thin Metal Film Material Properties. Micromachines. 2023; 14(4):747. https://doi.org/10.3390/mi14040747
Chicago/Turabian StyleSeok, Seonho, HyungDal Park, Philippe Coste, and Jinseok Kim. 2023. "Direct Numerical Simulation of Surface Wrinkling for Extraction of Thin Metal Film Material Properties" Micromachines 14, no. 4: 747. https://doi.org/10.3390/mi14040747
APA StyleSeok, S., Park, H., Coste, P., & Kim, J. (2023). Direct Numerical Simulation of Surface Wrinkling for Extraction of Thin Metal Film Material Properties. Micromachines, 14(4), 747. https://doi.org/10.3390/mi14040747

