Next Article in Journal
A Soft Robot Driven by a Spring-Rolling Dielectric Elastomer Actuator with Two Bristles
Next Article in Special Issue
Editorial for the Special Issue on Micro/Nanophotonic Devices in Europe
Previous Article in Journal
Room-Temperature Self-Healing Conductive Elastomers for Modular Assembly as a Microfluidic Electrochemical Biosensing Platform for the Detection of Colorectal Cancer Exosomes
Previous Article in Special Issue
An Introduction to Nonlinear Integrated Photonics: Structures and Devices
 
 
Font Type:
Arial Georgia Verdana
Font Size:
Aa Aa Aa
Line Spacing:
Column Width:
Background:
Article

Signal-to-Noise Ratio Analysis for the Voltage-Mode Read-Out of Quartz Tuning Forks in QEPAS Applications

by
Michele Di Gioia
1,2,
Luigi Lombardi
2,
Cristoforo Marzocca
2,*,
Gianvito Matarrese
2,
Giansergio Menduni
1,
Pietro Patimisco
1 and
Vincenzo Spagnolo
1,2
1
PolySense Lab, Dipartimento Interateneo di Fisica, University and Politecnico of Bari, Via Amendola 173, 70126 Bari, Italy
2
Dipartimento di Ingegneria Elettrica e Dell’Informazione, Politecnico of Bari, Via Edoardo Orabona 4, 70126 Bari, Italy
*
Author to whom correspondence should be addressed.
Micromachines 2023, 14(3), 619; https://doi.org/10.3390/mi14030619
Submission received: 7 February 2023 / Revised: 3 March 2023 / Accepted: 4 March 2023 / Published: 8 March 2023
(This article belongs to the Special Issue Micro/Nanophotonic Devices in Europe)

Abstract

Quartz tuning forks (QTFs) are employed as sensitive elements for gas sensing applications implementing quartz-enhanced photoacoustic spectroscopy. Therefore, proper design of the QTF read-out electronics is required to optimize the signal-to-noise ratio (SNR), and in turn, the minimum detection limit of the gas concentration. In this work, we present a theoretical study of the SNR trend in a voltage-mode read-out of QTFs, mainly focusing on the effects of (i) the noise contributions of both the QTF-equivalent resistor and the input bias resistor RL of the preamplifier, (ii) the operating frequency, and (iii) the bandwidth (BW) of the lock-in amplifier low-pass filter. A MATLAB model for the main noise contributions was retrieved and then validated by means of SPICE simulations. When the bandwidth of the lock-in filter is sufficiently narrow (BW = 0.5 Hz), the SNR values do not strongly depend on both the operating frequency and RL values. On the other hand, when a wider low-pass filter bandwidth is employed (BW = 5 Hz), a sharp SNR peak close to the QTF parallel-resonant frequency is found for large values of RL (RL > 2 MΩ), whereas for small values of RL (RL < 2 MΩ), the SNR exhibits a peak around the QTF series-resonant frequency.

1. Introduction

Quartz-enhanced photoacoustic spectroscopy (QEPAS) is a well-known technique used for the detection of specific trace gases in complex mixtures [1,2,3,4,5,6,7]. The high performances in terms of selectivity and sensitivity allow for the exploitation of this technique in a wide range of applications, such as environmental monitoring [8,9,10], chemical analysis [11,12], and advanced biomedical diagnostics [13,14]. In QEPAS, acoustic waves are generated between the prongs of a quartz tuning fork (QTF) by the absorption of modulated light from the gas molecules, via non-radiative relaxation processes [2,15]. QTFs are employed as piezoelectric sensitive elements to transduce pressure waves in an electric signal [2,6]. This technique was firstly introduced in 2002 and exploited standard QTFs resonating at 32 kHz [16]. These quartz resonators are characterized by a good immunity to environmental acoustic noise because of their high quality factors (Q) and compact dimensions. Due to the sharp resonance, external noise sources outside of the resonator’s small bandwidth (~4 Hz at atmospheric pressure) do not influence the QTF signal [17].
Suitable front-end electronics must be designed to read-out the signal generated by the QTF. The common read-out architecture employed in QEPAS sensors is the transimpedance amplifier (TIA) [8,9,10,11,12,13,14], schematically depicted in Figure 1.
In this configuration, the current generated by the QTF (Iqtf) due to the charge displacement caused by piezoelectric effect when pressure waves put prongs in vibration is forced to flow entirely in the feedback resistor RF. Due to the virtual ground established on the inverting node of the operational amplifier (OPAMP), the measurement is insensitive to the stray capacitance Cst and, in turn, the output voltage (Vout) is proportional to Iqtf.
Recently, it has been demonstrated that a voltage-mode approach for the read-out electronics of QTFs can be advantageous in terms of signal-to-noise ratio (SNR) [18,19,20,21]. In this case, the piezoelectric transducer is coupled to a voltage amplifier, realized by means of a classic OPAMP in a non-inverting configuration, as illustrated in Figure 2, and characterized by very high input impedance. Since the QTF is an open circuit at DC, a load resistor RL must necessarily be connected to the non-inverting input of the amplifier to establish its DC voltage to ground, when the input bias current of the OPAMP can be neglected.
The thermal noise of the resistor RL contributes to the overall noise spectral density of the circuit output. Furthermore, the QTF experiences the loading effect due to RL; then, the input voltage Vqtf of the amplifier results from the product of the current generated by the QTF under this load and the value of RL itself. As a consequence, RL has a direct impact on both the level of the useful signal Vout and the noise at the output of the preamplifier.
QEPAS requires synchronous detection techniques based on lock-in amplifiers (LIAs) to efficiently extract the useful signal component from the noise floor [2,22,23,24,25,26]. In LIAs, the amplifier signal is first multiplied with both a sinewave and a 90° phase-shifted copy of that sinewave at a selected operating frequency (fop); then, a low-pass filter (LPF) is used to retrieve the signal component at fop or its multiples [22,26]. The phase noise in high-Q mechanical oscillators, such as QTFs, could be detrimental when LIAs are employed, since the amplitude of the output signal, and, in turn, the SNR, will be affected [27].
Both QTF signal and noise sources undergo the signal conditioning chain composed of the front-end voltage amplifier, the multiplication with a sine wave at frequency fop, and the low-pass filter. Therefore, a study on the SNR as a function of (i) the parameters of the amplifier components, (ii) the operating frequency, and (iii) the low-pass filter bandwidth must be carefully conducted to fully exploit the resonance properties of the QTF and maximize the performances of a QEPAS sensor.
In this work, we reported the effect of the RL value on the frequency where the SNR exhibits its peak at the output of the lock-in amplifier, i.e., the optimum operating frequency for the QEPAS system. Starting from the well-known Butterworth–Van Dyke model for the QTF [17,28,29,30], we derived an analytical expression for the amplitude of the signal generated by the QTF as a function of frequency at different RL values. For our purposes, only the main electronic noise contributions were considered, whereas phase noise was not taken into account. Furthermore, a mathematical modelling was developed with MATLAB for all the relevant contributions to the total noise spectral density at the output of the preamplifier, making possible a comparison among their relative weights. Finally, the behavior of the SNR as a function of the lock-in demodulation frequency was studied at different RL values and LPF bandwidths, namely, the acquisition time. All the proposed analytical expressions were validated by comparing the developed MATLAB model with SPICE simulations, carried out considering a realistic model for the OPAMP used in the preamplifier. As a result of the study, general guidelines for the choice of the resistor RL and the most suitable operating frequency for the QEPAS system implementing the voltage-mode read-out of QTFs can be derived. Furthermore, the proposed analysis allows for the study of the noise contributions at different bandwidths to optimize the acquisition time of QEPAS measurements.

2. Signal Response of a Quartz Tuning Fork Read Out in Voltage Mode

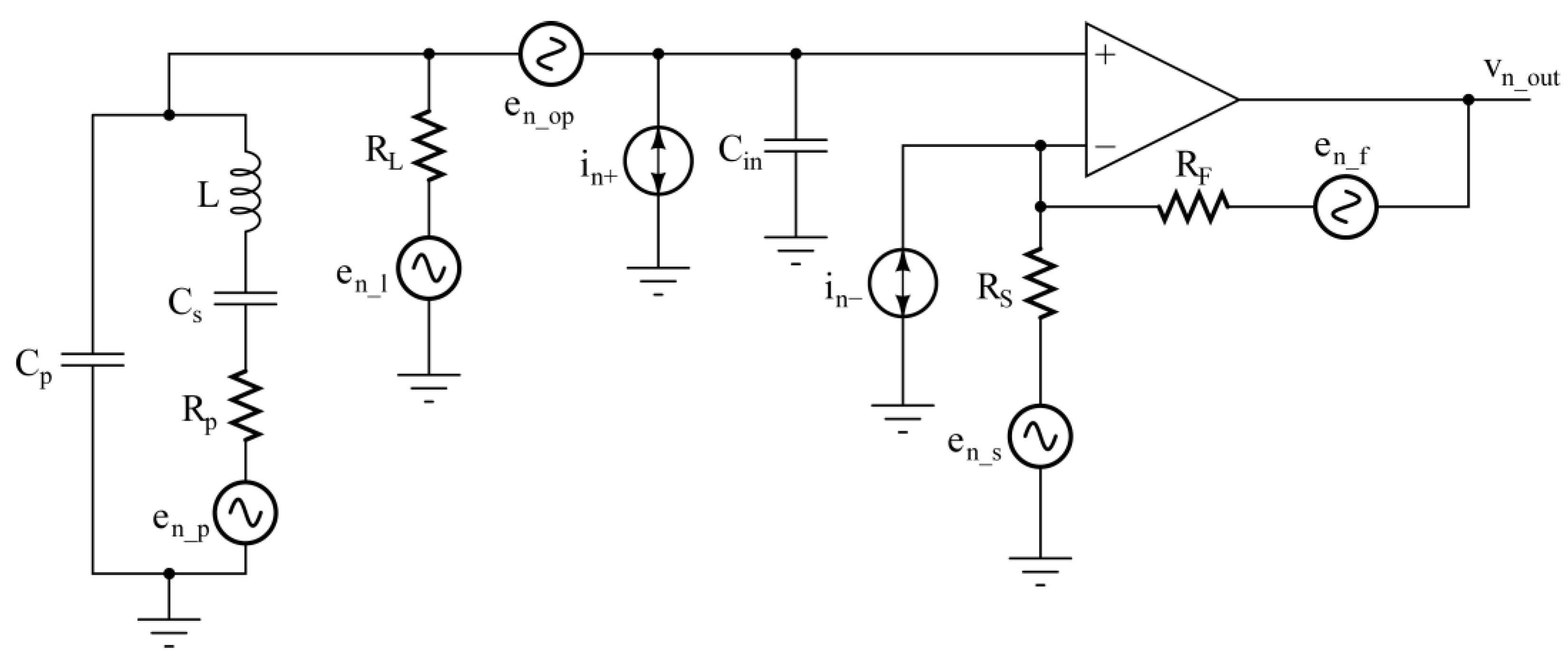
As mentioned above, the Butterworth–Van Dyke circuit and an equivalent Thevenin source were employed to model the QTF when excited by an acoustic wave [17] to find an analytical expression of the output signal Vout as a function of frequency for the circuit in Figure 2. For this investigation, we considered (i) an OPAMP with sufficiently high gain-bandwidth product so that the gain of the non-inverting configuration is Av = Vout/Vqtf = 1 + RF/RS, as shown in Figure 2; and (ii) the capacitance Cin between the non-inverting input and ground. Thus, the circuit to be studied is sketched in Figure 3.
Here, the parasitic shunt capacitance Cp between the terminals of the QTF is in parallel with the input capacitance of the voltage amplifier Cin, so that the total parasitic capacitance which loads the QTF is Cpt = Cp + Cin. The voltage source Vin represents the internal electric signal generated by the piezoelectric effect, when the QTF is excited by an acoustic wave. Straightforward calculations provide the expression of the transfer function Hv(jω) between the internal voltage Vin(jω) and the output voltage Vout(jω):
H v j ω = V out j ω V in j ω = = A v j ω C s R L 1 ω 2 LC s + R p R L C pt C s + j ω R p + R L C s + R L C pt ω 2 LC pt C s R L .
The squared modulus of this transfer function, which describes how the squared amplitude of the circuit response depends on the frequency, can be written as follows:
H v j ω 2 = A v 2 1 ω 2 ω R 2 2 ω 2 R L 2 C s 2 + 1 + C pt C s 2 1 ω 2 ω P 2 + R P R L C s C pt + C s 2 ,
where ω R = 1 LC s + R p R L C pt C s is the angular frequency in which the transfer function Hv(jω) exhibits a real value and ω P = 1 L C s C pt C s + C pt = 1 LC eq is the parallel-resonant angular frequency of the QTF as loaded in the circuit shown in Figure 3.
AC SPICE simulations have been carried out to confirm the validity of the expression in Equation (2). The set of typical parameters listed in Table 1 has been used for the QTF in both the analytical model and SPICE simulations. Moreover, in SPICE simulations, Cin is included in the model of the AD8067, provided by Analog Devices. AD8067 is a low-noise, high speed, FET input operational amplifier. Thanks to its very low input bias current, it is suitable for precision and high gain applications [31].
The series-resonant frequency f S   of the QTF is:
f S = ω S 2 π = 1 2 π LC s = 32768   Hz ,
whereas its quality factor Q is
Q = 1 ω s R p C s = 10 4 ,
which are typical values for a standard QTF used in QEPAS sensors [2,16,17,26]. Moreover, the gain of the non-inverting configuration is Av = 48 and the parallel-resonant frequency of the QTF is fP = ωP/2π = 32,781 Hz. The value of CP ≅ CP + CS could be found by measuring the equivalent capacitance of the QTF at low frequencies using the capacitance-voltage profiling technique. The ratio CS/CP is extracted by the ratio fP/fS after measuring the parallel and series-resonant frequencies of the QTF, where the sensor exhibits the minimum and maximum admittance, respectively. Last, L can be found from fS, knowing CS, and RP is extracted from the quality factor Q of the QTF [21]. Figure 4 shows the comparison between the results provided by the SPICE simulations and the analytical model for three different values of RL (100 kΩ, 0.5 MΩ, and 2.5 MΩ).
The perfect matching between two modellings demonstrates that Equation (2) can be used to accurately represent the behavior of the circuit in Figure 3. The maximum difference between the peak frequencies of corresponding curves is in the order of a few hundredths of Hz and the mean absolute percentage error between corresponding curves is about 1.8%.

2.1. Peak Frequency of the QTF Signal Response as a Function of RL

As shown in Figure 4, the output signal amplitude and the peak frequency fpeak strongly depend on the value of the resistor RL. This is particularly relevant for an optimal choice of the operating frequency in the QEPAS technique, aimed at exploiting as much as possible the resonance properties of the QTF.
Figure 5 shows the fpeak trend as a function of RL. This curve was retrieved computing |Hv(jω)|2 for different values of RL and then applying MATLAB “max” function to yield fpeak values.
For RL values lower than 100 kΩ, fpeak tends to the series-resonant frequency fS = 32768 Hz; whereas, for values of RL higher than 2 MΩ, fpeak tends to assume the values of the parallel-resonant frequency fP, in our case equal to 32781 Hz.
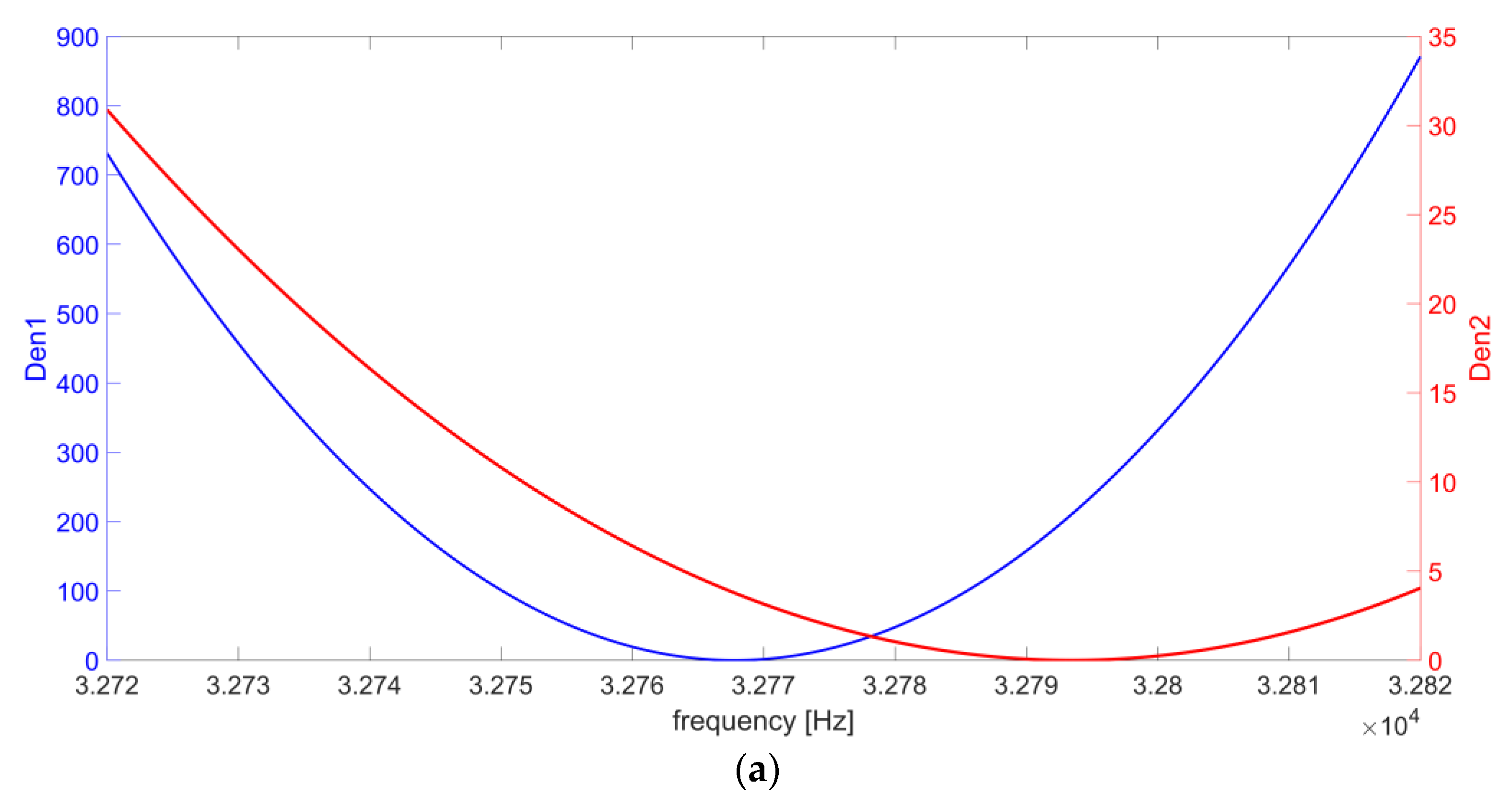
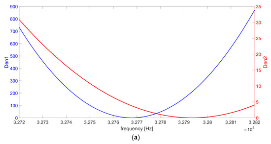
The behavior of the peak position as a function of the value of RL can be explained considering the two terms which compose the denominator of the function |Hv(jω)|2 in Equation (2), reported here, below, for ease of reading, as Den1 and Den2:
Den 1 ω = 1 ω 2 ω R 2 2 ω 2 R L 2 C s 2 ,   Den 2 ω = 1 + C pt C s 2 1 ω 2 ω P 2 + R P R L C s C pt + C s 2
The behavior of Den1 and Den2 as a function of frequency is reported in Figure 6a,b for RL = 100 kΩ and RL = 10 MΩ, respectively.
Results show that Den1(ω) is strongly dependent on the value of RL. In the investigated frequency range: (i) the maximum value of Den1 varies from 868.3 in Figure 6a to 0.17 in Figure 6b; (ii) the blue curve at 100 kΩ varies more rapidly than the Den1 curve at 10 MΩ in the frequency range close to the minimum; and (iii) the frequency where the Den1 minimum occurs decreases by more than 20 Hz, from 32,768 Hz in Figure 6a to 32,746 Hz in Figure 6b. Conversely, the dependence of Den2(ω) on RL is only due to the term R P R L C s C pt + C s , which is negligible when RL ≥ 1 MΩ, since Cs << Cpt and RP << RL. Indeed: (i) the red curve maximum value varies from 30.8 in Figure 6a to 21.5 in Figure 6b; (ii) Den2 value variations in the frequency range close to the minimum value are slightly different at 100 kΩ and at 10 MΩ; and (iii) the difference frequency where the Den2 minimum occurs is about 13 Hz, from 32,794 Hz in Figure 6a to 32,781 Hz in Figure 6b. As a result, for RL < 100 kΩ, the contribution of Den1(ω) becomes dominant, so that when RL decreases, the minimum value of the denominator of |Hv(jω)|2 tends to the zero of Den1(ω) function, located at ω = ωR. Moreover, in this range of RL values, ωR could be approximated to ωS:
ω R = 1 LC s + R p R L C pt C s 1 LC s = ω S ,
and the peak of |Hv(jω)|2 tends to the series-resonant frequency of the QTF. Instead, for RL > 2 MΩ, Den1(ω) becomes less relevant and Den2(ω) tends to be dominant in the sum of the two terms. As a consequence, the minimum of the sum tends to the zero of Den2(ω). Finally, in this range of RL, this zero is very close to ω = ωP, thus, the peak of |Hv(jω)|2 is almost coincident with the parallel-resonant frequency of the QTF.

2.2. Peak of the QTF Signal Response as a Function of RL

The trend of the peak value of |Hv(jω)|2 as a function of RL value is shown in Figure 7. The same method applied for Figure 5 was used to obtain this curve.
The peak value of |Hv(jω)|2 is an increasing function of RL up to a saturation value at RL > 1 GΩ. As discussed in the previous section, for large values of RL, ωpeak = 2πfpeak is very close to the parallel-resonant angular frequency ωp and the peak of |Hv(jω)|2 tends to the following value:
H v j ω peak 2 H v j ω P 2 A v 2 ω P 2 R L 2 C s 2 1 ω P 2 ω R 2 2
The denominator of Equation (4) can be rewritten as:
1 ω P 2 ω R 2 = 1 LC s + R p R L C pt C s LC eq = L C eq C s R p R L C pt C s LC eq R p R L C pt L
Since CEquation ≅ Cs and RL is very large, it results
H v j ω peak 2 A v 2 1 LC eq R L 2 C s 2 R p 2 R L 2 C pt 2 L 2 A v 2 LC s R p 2 C pt 2 ,
which is independent on RL.
However, the performance of the QEPAS technique will depend on the SNR obtained at the output of the preamplifier, not only on the amplitude of the signal. Therefore, it is mandatory to carry out a detailed study of the electronic noise contributions that are involved in the circuit, with the purpose of finding out the optimal operating frequency maximizing the SNR.

3. Contributions to the Output Noise Spectral Density

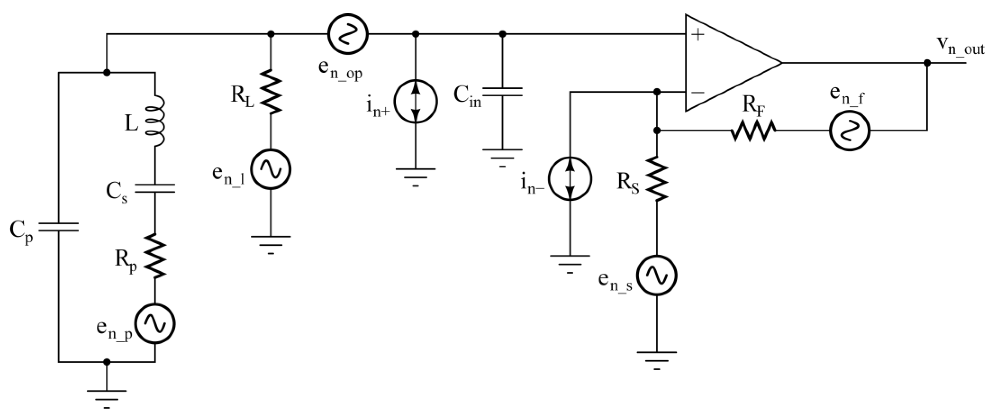
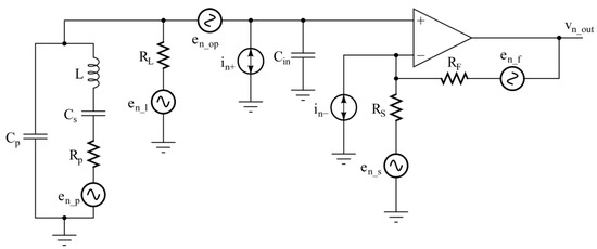
The most relevant contributions to the total electronic noise at the output of the voltage-mode preamplifier are shown in Figure 8.
In our calculation, the phase noise was neglected [27] and only the main electronic noise contributions were considered. Each resistor Ri of the circuit has been associated to its thermal noise voltage source, en_i2 = 4kTRi. The OPAMP noise has been characterized by means of the classic equivalent input noise voltage (en_op) and current (in+ and in−) sources. To simplify the study without losing accuracy, it is possible to neglect the noise contributions of RF and RS, composing the feedback network, due to the small values of these resistors. For the same reasons, the equivalent noise current in− associated to the inverting input of the OPAMP likewise does not give any relevant contribution. Moreover, all the sources in Figure 8 can be considered independent, so that the total output noise power spectral density Sntot(ω) can be evaluated as follows:
S ntot ω S np ω + S nL ω + S nop ω + S nin + ω ,
where the terms of the right-hand side come from Rp, RL, en_op, and in+, respectively. In Equation (5), the single terms are the product of the spectral density of each noise source multiplied by the squared modulus of the transfer function between the noise source and the output of the circuit, determined using the superposition principle [32].
Concerning the noise associated to the resistor Rp, the transfer function S np ω between the source en_p and the output of the preamplifier is Hv(jω), thus:
S np ω = 4 kTR p H v j ω 2 .
As a consequence, the behavior of Snp(ω) as a function of both the frequency and RL is the same discussed in Section 2.
Let us now consider the noise contribution from the resistor RL. The transfer function between the source en_l and the output of the front-end is:
H L j ω = V n _ out j ω e n _ l j ω = A v 1 ω 2 LC s + j ω R p C s 1 ω 2 ω R 2 +   j ω R L + R p C s +   R L C pt   ω 2 LC pt C s R L .
The denominators of Hv(jω) and HL(jω) are the same and the two transfer functions differ only in their numerator. The contribution of the thermal noise of the resistor RL to the total output noise spectral density is:
S nL ω = 4 kTR L H L j ω 2 .
Figure 9 shows the behavior of SnL as a function of the frequency, for four different values of RL (100 kΩ, 500 kΩ, 6 MΩ, and 20 MΩ).
The curves calculated with Equation (7) and those obtained by SPICE simulation are in excellent agreement. The function |HL(jω)| has a minimum located at ω = ωS, since, at the series-resonant frequency, the Butterworth–Van Dyke impedance model of the QTF is reduced to Rp, which is its minimum value. Accordingly, also SnL(ω) exhibits a minimum at the same frequency. Furthermore, a peak appears around the parallel-resonant frequency for increasing values of RL. Figure 10 reports the behavior of the peak value of SnL(ω) as a function of RL, which varies from 500 kΩ to 20 MΩ.
Using the set of parameters listed in Table 1, starting from low values of RL, this peak appears when RL ≅ 500 kΩ (dashed magenta and green curves in Figure 9), then increases up to RL ≅ 6 MΩ (Figure 10). Beyond this value, the peak decreases for increasing values of RL and the function SnL(ω) assumes lower values in the frequency range under investigation.
Figure 7 and Figure 10 suggest that, at least for what concerns the noise contributions considered up to now, it is convenient to work with large values of the resistor RL because the amplitude of the output signal increases with RL (see Figure 7) and the noise contribution due to this resistor decreases (see Figure 10), whereas the contribution from the thermal noise of Rp has exactly the same frequency behavior of the signal.
Let us now consider the contribution of the input equivalent voltage noise of the OPAMP to the total output noise:
S nop ω = e n _ op 2 H en j ω 2 .
Since the flicker noise has been considered negligible in the narrow bandwidth of interest, namely, around the QTF resonance frequency, the input equivalent noise voltage has a constant power spectral density, i.e., it can be considered as white noise. The value of en_op has been set at 6.6 nV/√Hz, as reported in the data sheet of the AD8067 [31]. The transfer function Hen(jω) is the following:
H en j ω = V n _ out j ω e n _ op j ω = A v 1 ω 2 LC s + R p R L C p C s + j ω R p + R L C s + R L C p ω 2 LC p C s R L 1 ω 2 LC s + R p R L C pt C s +   j ω R p + R L C s +   R L C pt   ω 2 LC pt C s R L ,
in which the numerator differs from the denominator only for the capacitance Cpt = Cp + Cin replaced by Cp. This contribution can be considered as constant in the frequency range investigated for QEPAS applications.
The contribution of the input equivalent current noise in+ to the overall output noise spectral density Sntot(ω) is
S nin + ω = i n + 2 ω R L 2 H L j ω 2 .
Using Equations (10) and (7), the contributions to Sntot(ω), respectively due to in+ and RL, can be compared:
S nin + ω S nL ω = i n + 2 ω R L 4 kT .
The contribution of Sin+(ω) can be neglected with respect to SnL(ω) if
i n + 2 ω 4 kT R L .
If we consider a large RL value, i.e., 100 MΩ, Sin+(ω) will be negligible at room temperature if in+ << 13 fA/√Hz. Since the AD8067 has FET inputs, in+(ω) cannot be considered white, but is a linear function of the frequency, in the range where the flicker noise can be neglected [33]. In our model, the value of in+(ω) at 10 kHz has been set to 1 fA/√Hz, a slightly higher value than the one reported in the datasheet of the OPAMP, which is 0.6 fA/√Hz [31], and the slope of the linear function has been set to +20 dB/dec [33]. Figure 11 shows the excellent correspondence between the analytical model used for in+(ω) and the input equivalent noise current resulting from a simulation carried out with the SPICE model of the AD8067.
It is worth noticing that around the resonance frequencies of the QTF, the level of in+(ω) remains lower than the limit of 13 fA/√Hz determined above. Thus, we can conclude that the contribution Sin+(ω) can be neglected with respect to SnL(ω) in the noise analysis of our circuit without losing accuracy.
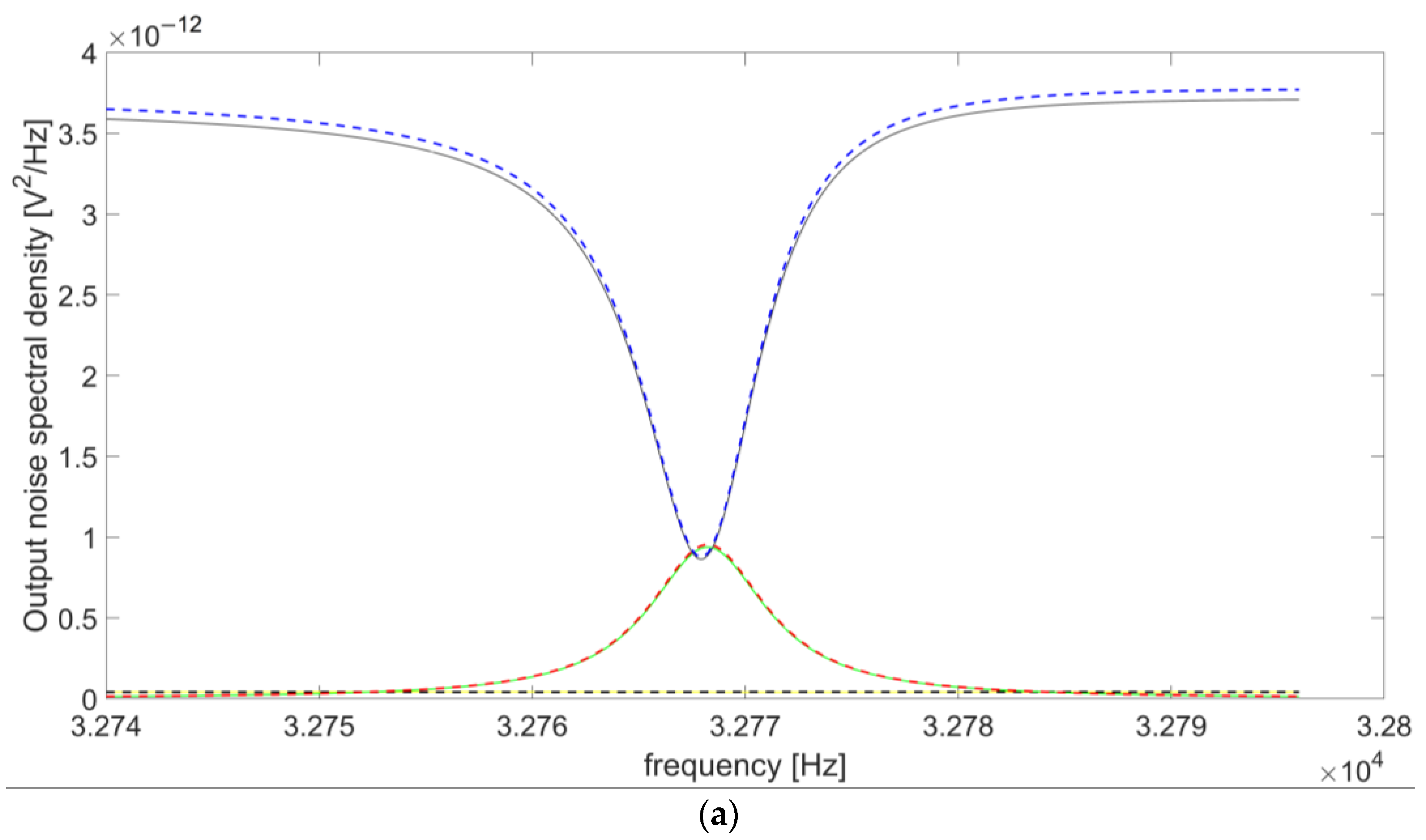
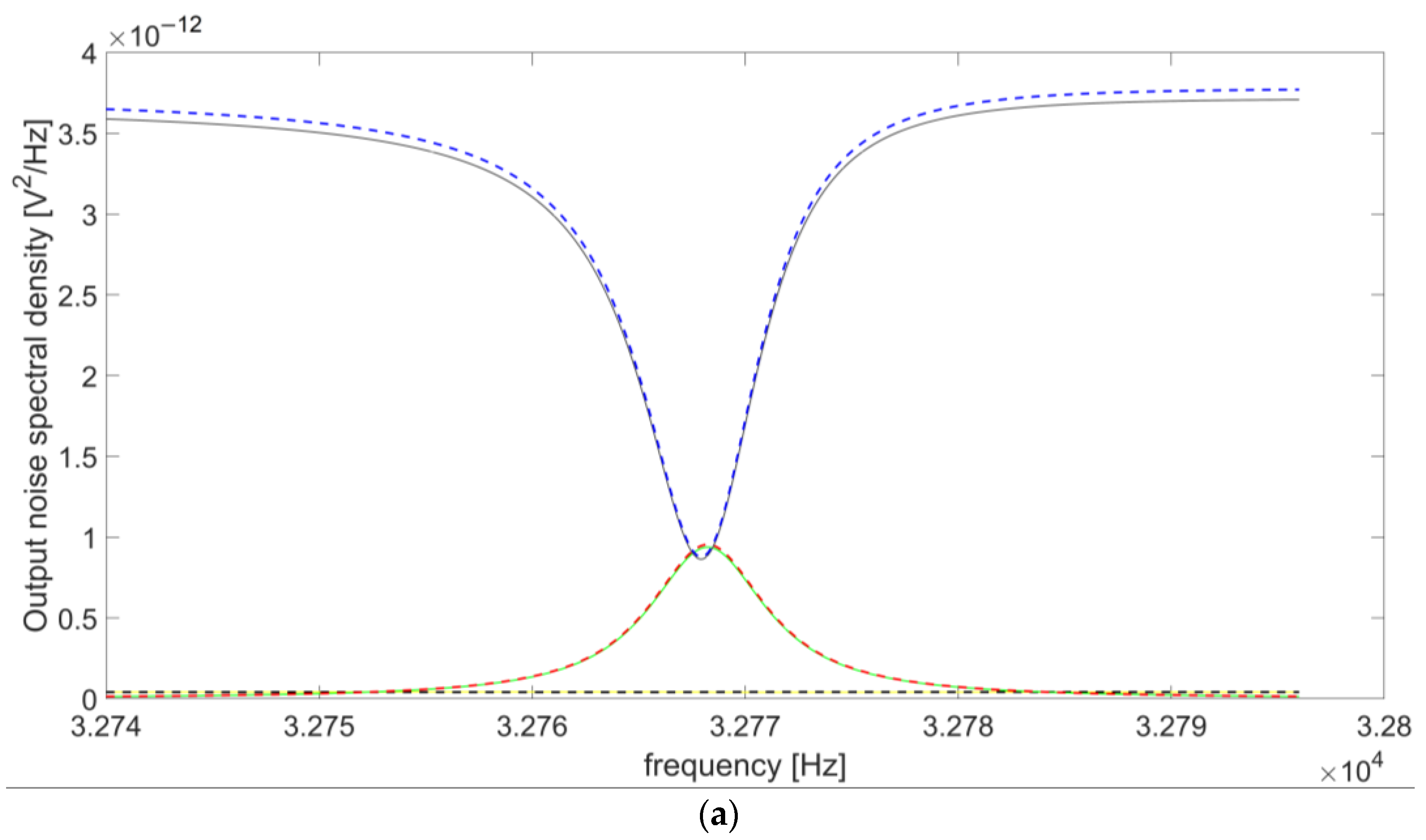
The analysis carried out so far allows for a comparison of the terms in Equation (5) to understand which ones are dominant for the output noise spectral density of the preamplifier. Figure 12 compares the spectral contributions of the OPAMP and the resistors Rp and RL to the overall Sntot(ω) at the output of the circuit. The terms due to en_op and in+, namely, Snop(ω) and Snin+(ω), respectively, have been summed, resulting in the overall noise contribution of the OPAMP (Sopamp(ω)) and allowing for a comparison of the analytical model with the results of SPICE simulations, in which the two terms are not distinguishable. The same RL values of Figure 9 have been considered (100 kΩ, 500 kΩ, 6 MΩ, and 20 MΩ).
For all the considered cases, the results provided by the analytical model and the SPICE simulations exhibit a very good agreement. In addition, the contribution of the OPAMP to the total output noise is always negligible compared to the sum of the contributions from RL and Rp. SnL(ω) tends to prevail over Snp(ω) for RL < 6 MΩ (Figure 12a,b), whereas the opposite happens when the value of RL is larger than 6 MΩ (Figure 12c,d). This confirms the previous conclusion about the advantage of working with large values of the resistor RL in order to achieve good performance in terms of SNR.

4. Signal-to-Noise Ratio at the Output of the Lock-in Amplifier

Synchronous detection techniques based on laser modulation and lock-in amplifier are always used in QEPAS sensors to increase the SNR of the measurements. In the previous sections, the amplitude of the useful signal and the noise spectral density at the output of the voltage-mode preamplifier are expressed as a function of frequency. These expressions can be conveniently exploited to evaluate the SNR at the output of the LIA. Thanks to synchronous demodulation and narrow-band low-pass filtering, the LIA output signal is DC-level proportional to the amplitude of the preamplifier response at the operating frequency. When the preamplifier response is acquired at the QTF resonance frequency, the trend of the SNR can be investigated in a small range around fs. Thus, if the preamplifier response is acquired at a certain frequency fop close to fs, the output signal is proportional to |Hv(fop)|. For what concerns noise, as a result of demodulation, the LIA transfers around DC the noise spectrum at the output of the preamplifier, centered around the LIA reference frequency. This noise is then filtered by means of the LIA narrow low-pass filter. Thus, the LIA behaves in practice like a narrow band-pass filter centered around its reference frequency. Hence, LIA was modelled as a biquadratic band-pass filter with a transfer function:
H LIA j ω = j ω op Q filt ω ω op 2 ω 2 + j ω op Q filt ω ,
characterized by unity gain at center frequency and −3dB bandwidth BW = ωop/Qfilt [34].
Therefore, we can describe the behavior of the SNR at the output of the LIA as a function of the chosen operating frequency fop = ωop/2π by means of the following function:
SNR n ω op = H v ω op S ntot ω H LIA j ω 2 d ω = H v ω op S np ω H LIA j ω 2 df + S nL ω H LIA j ω 2 d ω
where the amplitude of the input signal Vin (see Figure 3) has been normalized to 1 V.
By separating the noise contributions from Rp and RL, we can define two functions:
SNR np 2 ω op = H v ω op 2 S np ω H LIA j ω 2 d ω
and
SNR nL 2 ω op = H v ω op 2 S nL ω H LIA j ω 2 d ω
Thus, the total normalized squared-SNR can be rewritten as follows:
SNR n 2 = 1 1 SNR np 2 + 1 SNR nL 2 .
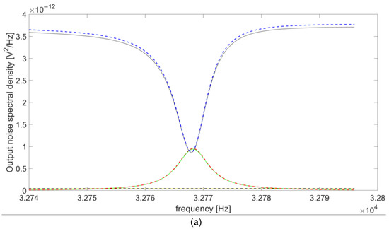
First, let us consider a very narrow-bandwidth BW = 0.5 Hz, corresponding to a settling time of about 1.3 s for an equivalent first-order LIA low-pass filter. In this case, the behavior of the integrated noise as a function of fop is expected to be very similar to the output noise spectral density. Thus, the SNRnp contribution is expected to be almost spectrally flat since the noise from RP and the signal have the same transfer function Hv(f). Nonetheless, considering a representative value for RL = 100 kΩ, a peak of SNRnp emerges around the peak frequency of |Hv(f)|, because of the effect of integration, as reported in Figure 13. As shown in Figure 13, for a bandpass filter, the effect of the integration bandwidth on the input noise spectral density can be more intuitively represented by means of a simple brick-wall filter.
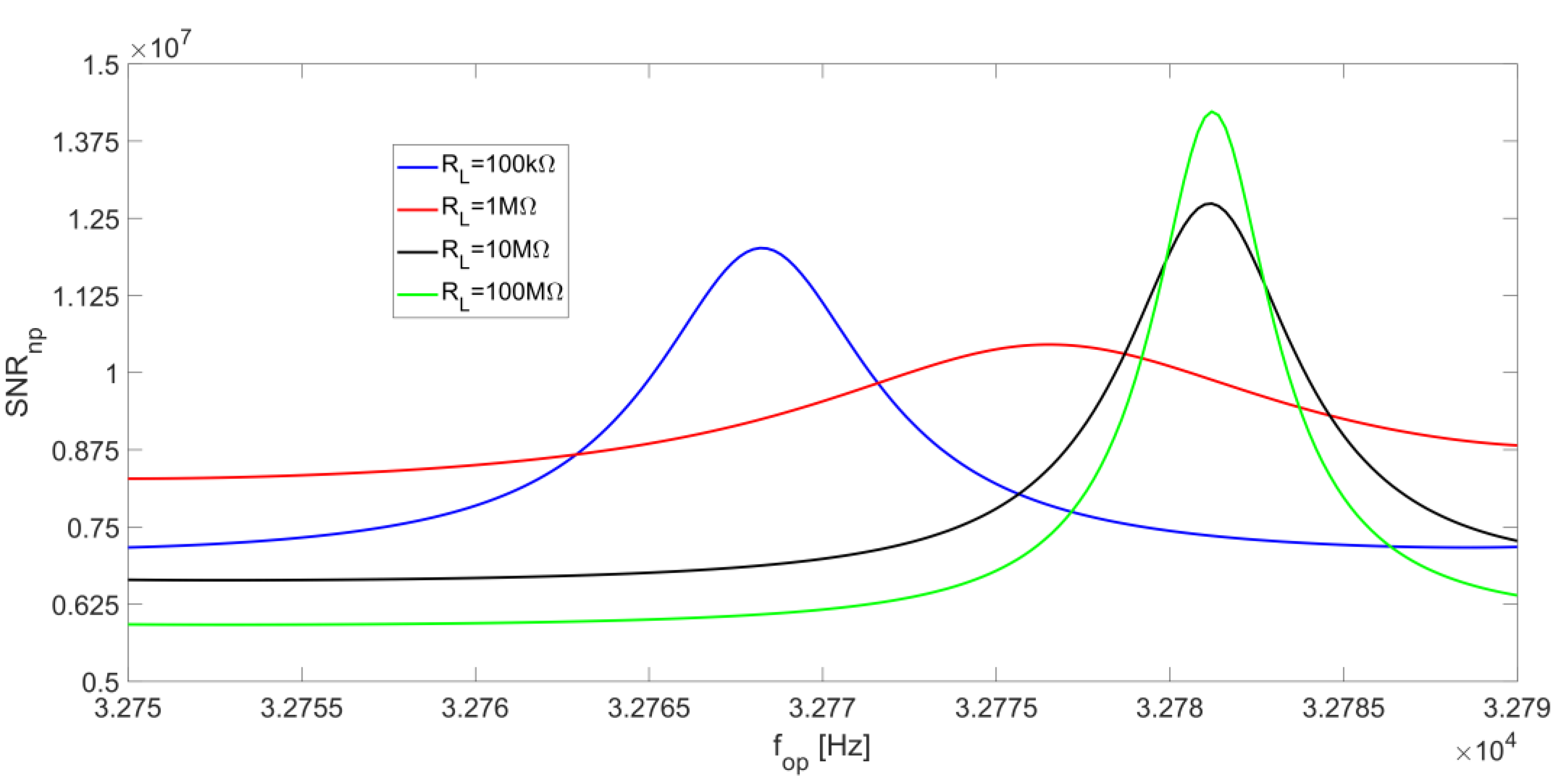
Indeed, in the narrow integration bandwidth, the function Snp(f) takes monotonically decreasing values on both sides of fop = fpeak; whereas, for any other frequency value, Snp(f) has decreasing values in one direction, but increasing values in the other, as illustrated in Figure 13. As a consequence, the value of the integrated noise normalized to the value of the signal reaches a minimum value at fop = fpeak, generating a peak value in the function SNRnp(fop).
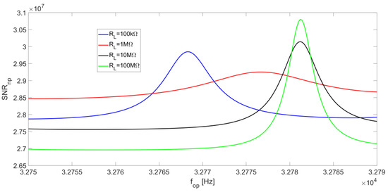
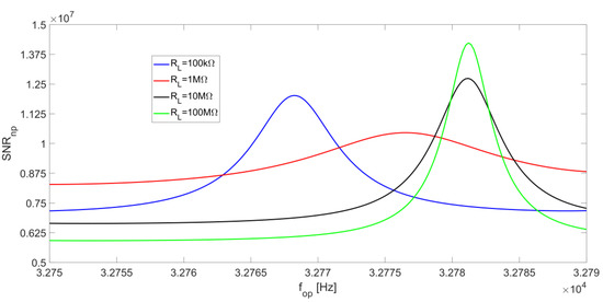
The presence of a peak value for SNRnp is also visible in Figure 14, which reports SNRnp as a function of the frequency fop, for different values of RL. Moreover, for increasing values of RL, the peak moves from fS to fP; for large values of RL, it becomes slightly more pronounced, even though the overall behavior always remains rather flat.
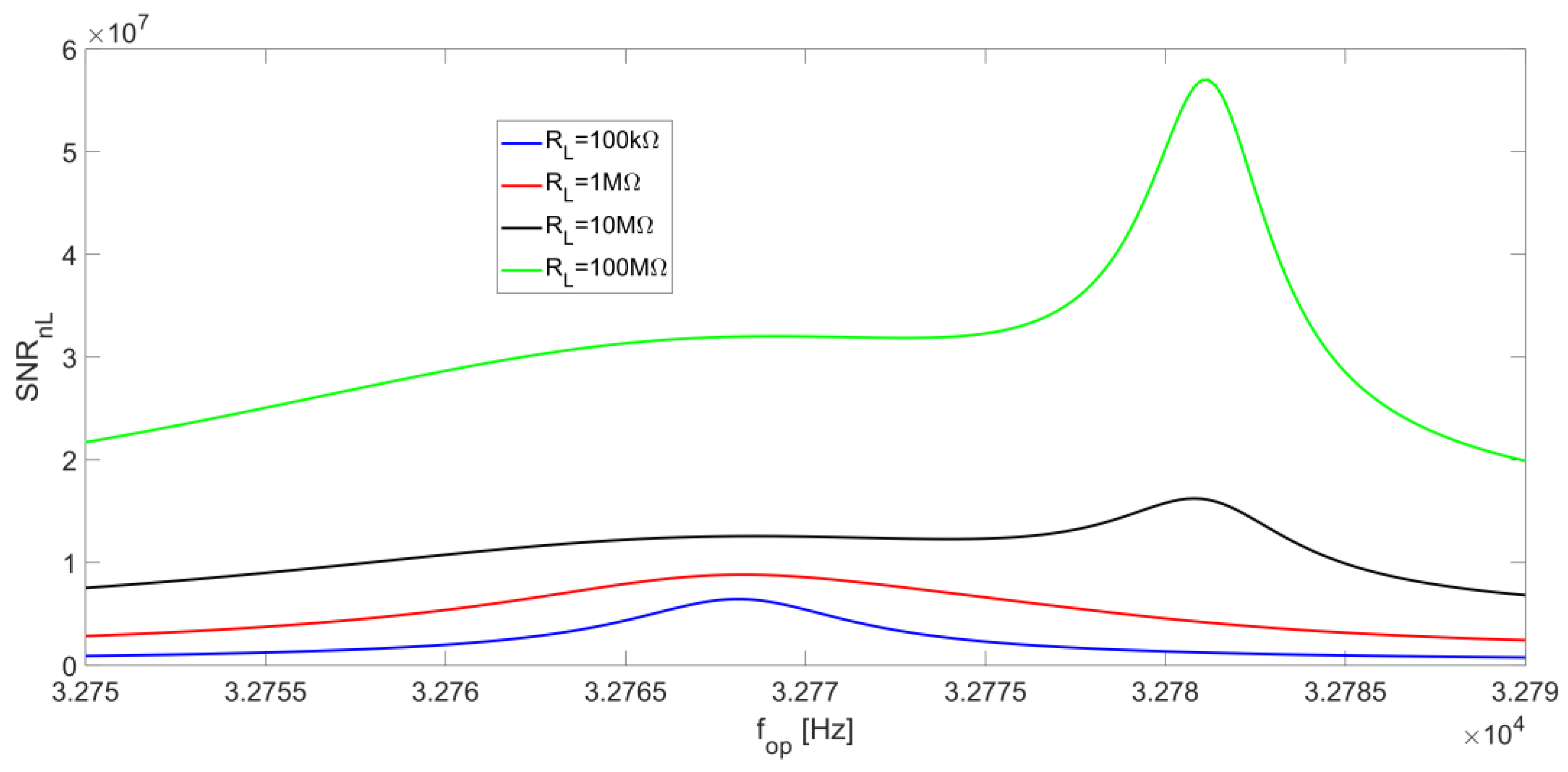
As for the term SNRnL, its behavior as a function of fop is strongly affected by the minimum of the noise spectral density SnL at fS. This effect prevails over the peak value of the signal, which moves towards fP for increasing values of RL, resulting in a local maximum point on SNRnL which is always located at the series-resonant frequency fS for any value of RL. Figure 15 shows the behavior of SNRnL as a function of the operating frequency for different RL values.
Higher values of SNRnL are obtained for increasing values of RL values. Therefore, as reported in Equation (13), SNRnp becomes dominant in the calculation of the overall SNR for large values of RL.
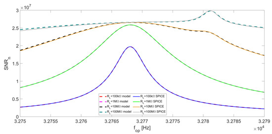
We can now consider the overall SNR at the LIA output given by Equation (13) as a function of fop. Figure 16 reports the SNRn as a function of fop for different values of RL with BW = 0.5 Hz. Here, a comparison between the results given by the analytical model and the corresponding SPICE simulation is also proposed, highlighting an excellent correspondence.
For low values of RL, SNRnp is almost flat (see Figure 14) and the peak of the total SNRn coincides with the peak of SNRnL, so the best operating frequency for QEPAS is the series-resonant frequency fS of the QTF. When RL is increased, as already pointed out, the contribution of SNRnL becomes less relevant, so a local peak in the SNRn emerges, corresponding to the peak of SNRnp, which occurs at the parallel-resonant frequency fP.
From Figure 16, it is evident that the SNRn peak feature at fS becomes less sharp as RL increases. For RL = 100 MΩ, the SNRn becomes quite flat around fS and a sharp peak appears at fP. In general, slightly better results in terms of SNR are obtained with large values of RL.
The study above has been carried out for a LIA with a very narrow-band filter, which is useful when the requirements in terms of noise rejection are very harsh and the long time needed for a single measurement can be tolerated. With fast measurements [35,36], the bandwidth of the LIA filter must necessarily be increased, and the results of the previous analysis must be revised. Moreover, the QTF response time represents a further issue to deal with when fast measurements are needed. The response time is given by:
τ = Q π f s 100   ms .
This implies that, in conventional QEPAS applications, a long integration time (300 to 400 ms) is required to acquire the LIA output signal. Nevertheless, specific QEPAS techniques such as Beat Frequency (BF) QEPAS exploit the fast transient response of an acoustically excited QTF to retrieve the gas concentration, the resonance frequency, and the quality factor of the QTF [7]. This approach overcomes the limitations imposed by the time response of the QTF, allowing shorter acquisition times and faster measurements.
As concerns the contribution to the total SNR at the LIA output due to the resistor Rp, since the integration bandwidth is larger, the effect of the integration around fpeak, described above (see Figure 13), is more relevant. Consequently, the peak of SNRnp as a function of the operating frequency, always placed at fpeak, becomes sharper and more pronounced. Figure 17 shows the behavior of SNRnp as a function of fop when BW = 5 Hz, corresponding to a settling time of about 130 ms for an equivalent first order LIA low-pass filter for the same values of RL considered in Figure 14.
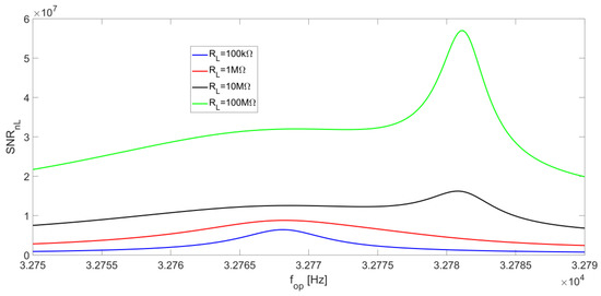
We now analyze the RL noise contribution to the SNR for increasing values of the LIA bandwidth. The effect of the minimum of SnL, placed at fS, tends to be less relevant, because of the increase of the integration bandwidth. Therefore, the function SNRnL becomes flatter around the series-resonant frequency. Nonetheless, for small values of RL, the peak of the signal is located at fS and, consequently, the peak of SNRnL is still placed at fS. When RL is increased, the peak of the signal moves towards the parallel-resonant frequency fP and the effect of the minimum of SnL becomes less relevant, so SNRnL tends to be flat. For large values of RL, SnL values decrease (see Figure 12c,d), whereas the peak of the signal placed at fP increases; as a result, SNRnL exhibits a peak at fP, which becomes sharper as RL increases. The behavior of SNRnL as a function of the operating frequency fop is shown in Figure 18 for BW = 5 Hz.
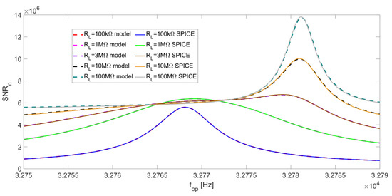
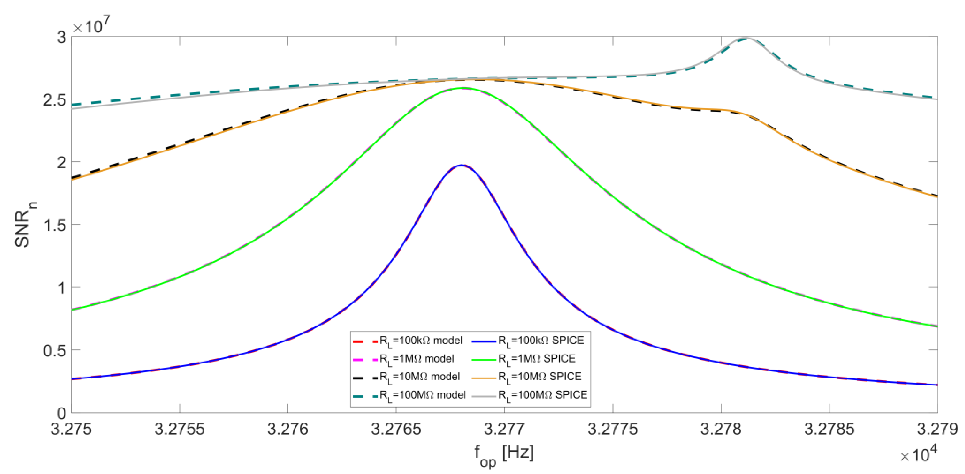
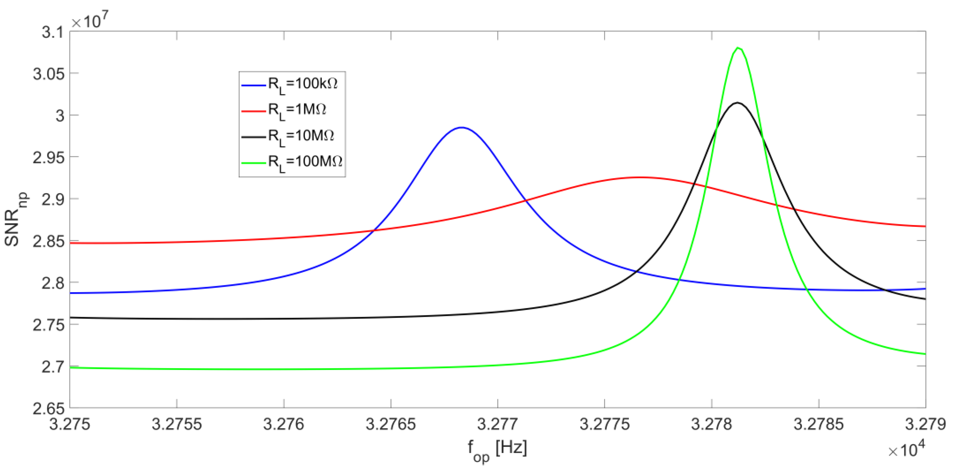
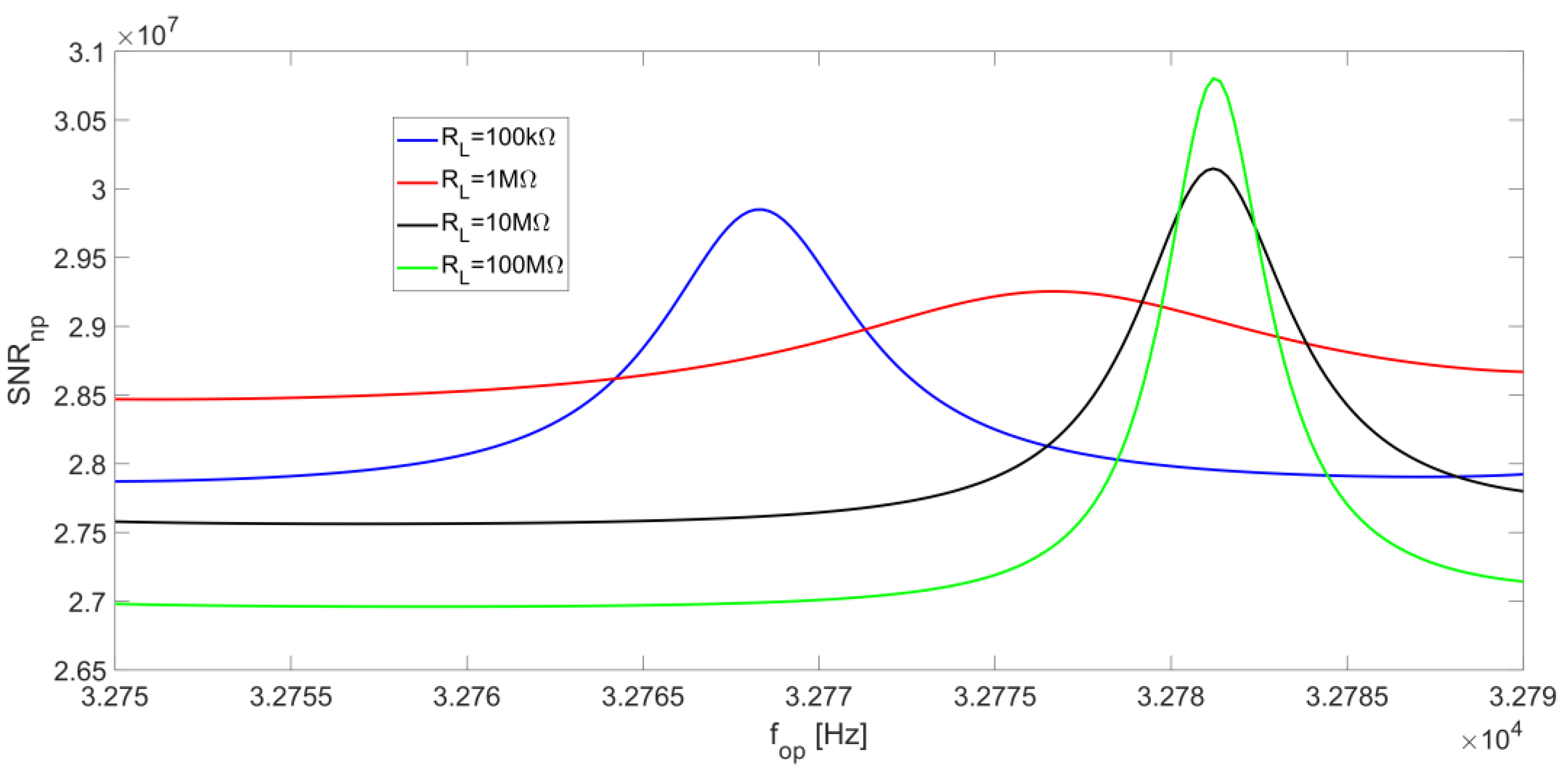
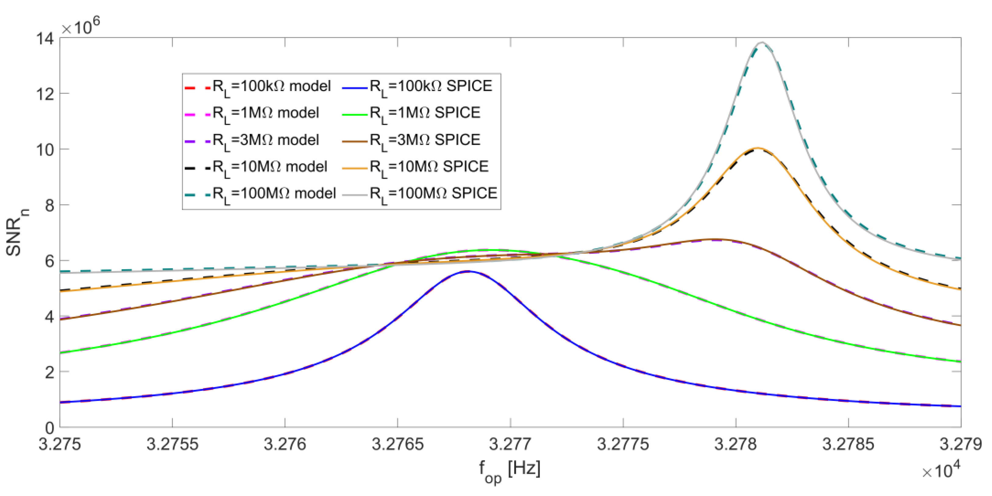
Finally, from Equation (13), Figure 19 shows that the peak value of SNRn results at fS, where the peak of both SNRnp and SNRnL is located, for low values of RL.
For increasing values of RL, the SNRn peak feature starts to flatten out until, for values of RL larger than about 2 MΩ, a peak emerges close to fP, where both SNRnp and SNRnL have their maximum value. This peak becomes as sharper as RL increases, as shown in Figure 19, which represents the behavior of SNR as a function of fop for BW = 5 Hz. Additionally in this case, SPICE simulations are in very good agreement with the results provided by the analytical model. The SNRn peak at 100 MΩ is more than two times higher than the values close to fs.
Finally, the presented study can be applied to compute the Normalized Noise Equivalent Absorption (NNEA), an important parameter to compare QEPAS sensors [2,4,5,7,10]. NNEA is defined as follows:
NNEA = P · α SNR · Δ f
where P is the laser optical power, α is the absorption coefficient of the gas under investigation, SNR is the signal-to-noise ratio, and Δf is the integration bandwidth.
In [10], an NNEA of 5.0 × 10−9 W∙cm−1/√Hz for the detection of CO2 in an N2 mixture, employing a transimpedance amplifier with a 10-MΩ feedback resistor and a narrow-bandwidth LIA filter, was demonstrated. Assuming the same value of NNEA for a voltage preamplifier with a 10-MΩ bias resistor and an integration bandwidth of 0.5 Hz, a 100-MΩ bias resistor and the same integration bandwidth would lead to an NNEA of 4.4 × 10−9 W·cm−1/√Hz, thus an improvement of a factor of 1.1, as suggested from Figure 16.
Considering a 5 Hz LIA filter bandwidth, an NNEA of 5.8 × 10−9 W∙cm−1/√Hz can be calculated for a bias resistor of 10 MΩ. An improvement of a 1.4 factor can be calculated when a bias resistor of 100 MΩ is employed, leading to a NNEA of 4.1 × 10−9 W·cm−1/√Hz. Table 2 summarizes the NNEA values obtained for different values of RL and Δf: it can be observed that increasing RL at a fixed filter bandwidth always results in an improvement of the NNEA.

5. Discussion and Conclusions

In this work, we investigated the SNR trend as a function of the operating frequency for a voltage-mode read-out of QTFs, comparing the results obtained by the developed model with SPICE simulations. The effects of the RL values, the operating frequency, and the bandwidth of the LIA low-pass filter on the overall SNR were investigated. We firstly demonstrated that the contribution of the OPAMP to the output noise of the voltage preamplifier can be always neglected and the output noise power density is dominated by the contributions of the QTF-equivalent resistor Rp and RL. Moreover, the dominant contribution to the total noise changes from RL, when RL < 10 MΩ, to Rp, for RL > 10 MΩ.
According to our model, the peak value of the SNR tends to increase along with the bias resistor RL.
When a narrowband low-pass filter of the LIA is employed (e.g., bandwidth of 0.5 Hz), the curves shown in Figure 16 suggest that only a limited increase of the SNR can be obtained by either increasing the value of the resistor RL or varying the operating frequency. For RL < 10 MΩ, the best operating frequency for the QEPAS technique is the series-resonant frequency of the QTF fS, where SNR function exhibits a peak value. This peak becomes less pronounced when RL is increased. A 10-MΩ bias resistor ensures a 1.3 times higher SNR at the series-resonant frequency fS, with respect to a 100 kΩ-bias resistor. For large values of RL, SNR tends to be flat around fS and a small peak emerges at the parallel-resonant frequency fP. For instance, increasing the value of RL up to 100 MΩ leads to a further increase of the SNR peak by a factor of 1.4. Thus, for these large values of RL, the choice of the optimal operating frequency for QEPAS is not very critical, in case of a narrow-band LIA filter.
When a wider LPF bandwidth of the LIA is employed (e.g., bandwidth of 5 Hz), the SNR peak as a function of the operating frequency is still placed at fS for small values of RL, as in the case of narrow-band filter (see Figure 19). For large values of RL, the SNR peak at fP tends to be sharper as compared to the case of narrow-band LIA filter, thus the operating frequency for the QEPAS technique must be chosen as close as possible to fP to maximize SNR. As an example, for RL = 100 MΩ, the SNR peak is 1.4 times higher with respect to RL =10 MΩ.
In addition, the parallel-resonant frequency fP of the QTF depends on the input capacitance of the OPAMP, so it is not an intrinsic property of the sensitive element. Thus, suitable techniques must be used to measure fP in presence of Cin to exploit large values of RL, increase SNR, and optimize the performance of the QEPAS sensor, especially when short acquisition times are needed. Instead, for long acquisition times, large values of RL are not very effective for the increase of the overall SNR, and an accurate setting of the operating frequency close to fs is not critical because of the flatness of SNR as a function of fop. Of course, the value of RL cannot be made too large, since the input bias current of the OPAMP would cause unacceptable input offset levels. All the results obtained with the previous analysis have been confirmed by AC and noise SPICE simulations of the voltage preamplifier followed by a band-pass filter with center frequency fop and variable bandwidth.
Since, in QEPAS applications, several QTFs have been employed [1,2,3,4,5,6,7,8,9,10,11,12,13,14], the same study has also been carried out for a representative QTF characterized by an fS = 12.484 kHz and a quality factor of 104 [9], and the same results were found.
The reported voltage amplifier, implementing the AD8067, will be employed to validate the results obtained both with our model and with the SPICE simulation.

Author Contributions

Conceptualization, M.D.G., G.M. (Giansergio Menduni), P.P. and V.S.; methodology, L.L., C.M. and G.M. (Giansergio Menduni); validation, M.D.G. and G.M. (Gianvito Matarrese); formal analysis, M.D.G., L.L. and C.M.; writing—original draft preparation, C.M.; writing—review and editing, M.D.G., L.L., Giansergio Menduni and P.P.; visualization, L.L., G.M. (Giansergio Menduni) and G.M. (Gianvito Matarrese); supervision, C.M., P.P. and V.S.; project administration, P.P. and V.S.; funding acquisition, V.S. All authors have read and agreed to the published version of the manuscript.

Funding

All authors acknowledge funding from the European Union’s Horizon 2020 research and innovation program under grant agreement No. 101016956 PASSEPARTOUT, in the context of the “INDUSTRIAL LEADERSHIP—Leadership in enabling and industrial technologies - Information and Communication Technologies (ICT)”.

Data Availability Statement

Not applicable.

Conflicts of Interest

The authors declare no conflict of interest.

References

  1. Olivieri, M.; Menduni, G.; Giglio, M.; Sampaolo, A.; Patimisco, P.; Wu, H.; Dong, L.; Spagnolo, V. Characterization of H2S QEPAS detection in methane-based gas leaks dispersed into environment. Photoacoustics 2023, 29, 100438. [Google Scholar] [CrossRef]
  2. Lin, H.; Liu, Y.; Lin, L.; Zhu, W.; Zhou, X.; Zhong, Y.; Giglio, M.; Sampaolo, A.; Patimisco, P.; Tittel, F.K.; et al. Application of standard and custom quartz tuning forks for quartz-enhanced photoacoustic spectroscopy gas sensing. Appl. Spectrosc. Rev. 2022, 57, 1–23. [Google Scholar] [CrossRef]
  3. Menduni, G.; Zifarelli, A.; Sampaolo, A.; Patimisco, P.; Giglio, M.; Amoroso, N.; Wu, H.; Dong, L.; Bellotti, R.; Spagnolo, V. High-concentration methane and ethane QEPAS detection employing partial least squares regression to filter out energy relaxation dependence on gas matrix composition. Photoacoustics 2022, 26, 100349. [Google Scholar] [CrossRef]
  4. Yin, X.; Gao, M.; Miao, R.; Zhang, L.; Zhang, X.; Liu, L.; Shao, X.; Tittel, F.K. Near-infrared laser photoacoustic gas sensor for simultaneous detection of CO and H2S. Opt. Express. 2021, 29, 34258. [Google Scholar] [CrossRef]
  5. Ma, Y.; Lewicki, R.; Razeghi, M.; Tittel, F.K. QEPAS based ppb-level detection of CO and N2O using a high power CW DFB-QCL. Opt. Exp. 2013, 21, 1008–1019. [Google Scholar] [CrossRef]
  6. Ma, Y. Review of Recent Advances in QEPAS-Based Trace Gas Sensing. Appl. Sci. 2018, 8, 1822. [Google Scholar] [CrossRef]
  7. Wu, H.; Dong, L.; Zheng, H.; Yu, Y.; Ma, W.; Zhang, L.; Yin, W.; Xiao, L.; Jia, S.; Tittel, F.K. Beat frequency quartz-enhanced photoacoustic spectroscopy for fast and calibration-free continuous trace-gas monitoring. Nat. Commun. 2017, 8, 15331. [Google Scholar] [CrossRef]
  8. Liu, Y.; Lin, H.; Montano, B.A.Z.; Zhu, W.; Zhong, Y.; Kan, R.; Yuan, B.; Yu, J.; Shao, M.; Zheng, H. Integrated near-infrared QEPAS sensor based on a 28 kHz quartz tuning fork for online monitoring of CO2 in the greenhouse. Photoacoustics 2022, 25, 100332. [Google Scholar] [CrossRef]
  9. Menduni, G.; Zifarelli, A.; Kniazeva, E.; Dello Russo, S.; Ranieri, A.C.; Ranieri, E.; Patimisco, P.; Sampaolo, A.; Giglio, M.; Manassero, F.; et al. Measurement of methane, nitrous oxide and ammonia in atmosphere with a compact quartz-enhanced photoacoustic sensor. Sens. Actuators B Chem. 2023, 375, 132953. [Google Scholar] [CrossRef]
  10. Zifarelli, A.; De Palo, R.; Patimisco, P.; Giglio, M.; Sampaolo, A.; Blaser, S.; Butet, J.; Landry, O.; Müller, A.; Spagnolo, V. Multi-gas quartz-enhanced photoacoustic sensor for environmental monitoring exploiting a Vernier effect-based quantum cascade laser. Photoacoustics 2022, 28, 100401. [Google Scholar] [CrossRef]
  11. Liberatore, N.; Viola, R.; Mengali, S.; Masini, L.; Zardi, F.; Elmi, I.; Zampolli, S. Compact GC-QEPAS for On-Site Analysis of Chemical Threats. Sensors 2023, 23, 270. [Google Scholar] [CrossRef]
  12. Zifarelli, A.; Menduni, G.; Giglio, M.; Elefante, A.; Sukhinets, A.; Sampaolo, A.; Patimisco, P.; Fangyuan, S.; Chongwu, W.; Wang, Q.J.; et al. Compact and versatile QEPAS-based sensor box for simultaneous detection of methane and infrared absorber gas molecules in ambient air. Front. Environ. Chem. 2022, 3, 926233. [Google Scholar] [CrossRef]
  13. Li, B.; Feng, C.; Wu, H.; Jia, S.; Dong, L. Calibration-free mid-infrared exhaled breath sensor based on BF-QEPAS for real-time ammonia measurements at ppb level. Sens. Actuators B Chem. 2022, 358, 131510. [Google Scholar] [CrossRef]
  14. Shang, Z.; Li, S.; Li, B.; Wu, H.; Sampaolo, A.; Patimisco, P.; Spagnolo, V.; Dong, L. Quartz-enhanced photoacoustic NH3 sensor exploiting a large-prong-spacing quartz tuning fork and an optical fiber amplifier for biomedical applications. Photoacoustics 2022, 26, 100363. [Google Scholar] [CrossRef] [PubMed]
  15. Dello Russo, S.; Sampaolo, A.; Patimisco, P.; Menduni, G.; Giglio, M.; Hoelzl, C.; Passaro, V.M.N.; Wu, H.; Dong, L.; Spagnolo, V. Quartz-enhanced photoacoustic spectroscopy exploiting low-frequency tuning forks as a tool to measure the vibrational relaxation rate in gas species. Photoacoustics 2021, 21, 100227. [Google Scholar] [CrossRef]
  16. Kosterev, A.A.; Bakhirkin, Y.A.; Curl, R.F.; Tittel, F.K. Quartz-enhanced photoacoustic spectroscopy. Opt. Lett. 2002, 27, 1902–1904. [Google Scholar] [CrossRef]
  17. Kosterev, A.A.; Tittel, F.K.; Serebryakov, D.; Malinovsky, A.; Morozov, A. Applications of quartz tuning fork in spectroscopic gas sensing. Rev. Sci. Instrum. 2005, 76, 043105. [Google Scholar] [CrossRef]
  18. Menduni, G.; Sampaolo, A.; Patimisco, P.; Giglio, M.; Dello Russo, S.; Zifarelli, A.; Elefante, A.; Wieczorek, P.Z.; Starecki, T.; Passaro, V.M.N.; et al. Front-End Amplifiers for Tuning Forks in Quartz Enhanced PhotoAcoustic Spectroscopy. Appl. Sci. 2020, 10, 2947. [Google Scholar] [CrossRef]
  19. Wieczorek, P.Z.; Starecki, T.; Tittel, F.K. Improving the signal to noise ratio of QTF preamplifiers dedicated for QEPAS applications. Appl. Sci. 2020, 10, 4105. [Google Scholar] [CrossRef]
  20. Winkowski, M.; Stacewicz, T. Low noise, open-source QEPAS system with instrumentation amplifier. Sci. Rep. 2019, 9, 7–12. [Google Scholar] [CrossRef]
  21. Starecki, T.; Wieczorek, P.Z. A High Sensitivity Preamplifier for Quartz Tuning Forks in QEPAS (Quartz Enhanced PhotoAcoustic Spectroscopy) Applications. Sensors 2017, 17, 2528. [Google Scholar] [CrossRef]
  22. Principles of Lock-in Detection and the State of the Art, Zurich Instruments. Available online: https://www.zhinst.com/sites/default/files/documents/2020-06/zi_whitepaper_principles_of_lock-in_detection.pdf (accessed on 19 January 2023).
  23. Kishore, K.; Akbar, S.A. Evolution of Lock-In Amplifier as Portable Sensor Interface Platform: A Review. IEEE Sens. J. 2020, 20, 10345–10354. [Google Scholar] [CrossRef]
  24. Zhang, Z.; Li, C.; Huang, Z. Quadrature demodulation based on lock-in amplifier technique for self-mixing interferometry displacement sensor. Appl. Opt. 2019, 58, 6098–6104. [Google Scholar] [CrossRef]
  25. Huang, K.; Geng, Y.; Zhang, X.; Chen, D.; Cai, Z.; Wang, M.; Zhu, Z.; Wang, Z. A Wide-Band Digital Lock-In Amplifier and Its Application in Microfluidic Impedance Measurement. Sensors 2019, 19, 3519. [Google Scholar] [CrossRef] [PubMed]
  26. Patimisco, P.; Scamarcio, G.; Tittel, F.K.; Spagnolo, V. Quartz-Enhanced Photoacoustic Spectroscopy: A Review. Sensors 2014, 14, 6165–6206. [Google Scholar] [CrossRef]
  27. Levy, R.; Duquesnoy, M.; Melkonian, J.-M.; Raybaut, M.; Aoust, G. New Signal Processing for Fast and Precise QEPAS Measurements. IEEE Trans. Ultrason. Ferroelectr. Freq. Control 2020, 67, 1230–1235. [Google Scholar] [CrossRef]
  28. Serebryakov, D.V.; Cherkun, A.P.; Loginov, B.A.; Letokhov, V.S. Tuning-fork-based fast highly sensitive surface-contact sensor for atomic force microscopy/near-field scanning optical microscopy. Rev. Sci. Instrum. 2002, 73, 1795. [Google Scholar] [CrossRef]
  29. Friedt, J.-M.; Carry, É. Introduction to the quartz tuning fork. Am. J. Phys. 2007, 75, 415–422. [Google Scholar] [CrossRef]
  30. The Quartz Crystal Model and Its Frequencies. Technical Note 32, Rev. A. Statek. Available online: https://statek.com/wp-content/uploads/2018/03/tn32.pdf (accessed on 19 January 2023).
  31. AD8067, High Gain Bandwidth Product, Precision Fast FET™ Op Amp. Analog Devices Inc. Available online: https://www.analog.com/en/products/ad8067.html (accessed on 19 January 2023).
  32. Noise Analysis in Operational Amplifier Circuits, Application Report. Texas Instruments. Available online: https://www.ti.com/lit/an/slva043b/slva043b.pdf (accessed on 19 January 2023).
  33. Current Noise in FET Input Amps. Analog Devices Inc. Available online: https://www.analog.com/en/analog-dialogue/raqs/raq-issue-174.html (accessed on 19 January 2023).
  34. Sedra, A.S.; Smith, K.C. Microelectronic Circuits, 6th ed.; Oxford University Press: Oxford, UK, 2010; pp. 975–982. [Google Scholar]
  35. Villa, T.F.; Salimi, F.; Morton, K.; Morawska, L.; Gonzalez, F. Development and Validation of a UAV Based System for Air Pollution Measurements. Sensors 2016, 16, 2202. [Google Scholar] [CrossRef] [PubMed]
  36. Aasen, H.; Honkavaara, E.; Lucieer, A.; Zarco-Tejada, P.J. Quantitative Remote Sensing at Ultra-High Resolution with UAV Spectroscopy: A Review of Sensor Technology, Measurement Procedures, and Data Correction Workflows. Remote Sens. 2018, 10, 1091. [Google Scholar] [CrossRef]
Figure 1. QTF read-out by means of a transimpedance preamplifier.
Figure 1. QTF read-out by means of a transimpedance preamplifier.
Micromachines 14 00619 g001
Figure 2. Voltage-mode read-out of the QTF (OPAMP in non-inverting configuration).
Figure 2. Voltage-mode read-out of the QTF (OPAMP in non-inverting configuration).
Micromachines 14 00619 g002
Figure 3. Butterworth–Van Dyke model for the QTF in the voltage-mode read-out circuit.
Figure 3. Butterworth–Van Dyke model for the QTF in the voltage-mode read-out circuit.
Micromachines 14 00619 g003
Figure 4. Comparison between SPICE simulations and analytical model in Equation (2) of the frequency response of the circuit in Figure 3 for RL = 100 kΩ, 0.5 MΩ and 2.5 MΩ.
Figure 4. Comparison between SPICE simulations and analytical model in Equation (2) of the frequency response of the circuit in Figure 3 for RL = 100 kΩ, 0.5 MΩ and 2.5 MΩ.
Micromachines 14 00619 g004
Figure 5. Peak frequency fpeak of |Hv|2 as a function of RL.
Figure 5. Peak frequency fpeak of |Hv|2 as a function of RL.
Micromachines 14 00619 g005
Figure 6. Behavior of Den1(f) and Den2(f) in Equation (3) as a function of frequency for (a) RL = 100 kΩ and (b) RL = 10 MΩ.
Figure 6. Behavior of Den1(f) and Den2(f) in Equation (3) as a function of frequency for (a) RL = 100 kΩ and (b) RL = 10 MΩ.
Micromachines 14 00619 g006aMicromachines 14 00619 g006b
Figure 7. Peak value of |Hv|2 as a function of RL.
Figure 7. Peak value of |Hv|2 as a function of RL.
Micromachines 14 00619 g007
Figure 8. Noise contributions in the circuit of Figure 3.
Figure 8. Noise contributions in the circuit of Figure 3.
Micromachines 14 00619 g008
Figure 9. Comparison between SPICE simulations and analytical model described in Equation (7) of the output noise spectral density contribution from the thermal noise of RL, for four different values of the resistor: 100 kΩ, 500 kΩ, 6 MΩ, and 20 MΩ.
Figure 9. Comparison between SPICE simulations and analytical model described in Equation (7) of the output noise spectral density contribution from the thermal noise of RL, for four different values of the resistor: 100 kΩ, 500 kΩ, 6 MΩ, and 20 MΩ.
Micromachines 14 00619 g009
Figure 10. Peak of the output noise spectral density contribution due to RL as a function of RL itself.
Figure 10. Peak of the output noise spectral density contribution due to RL as a function of RL itself.
Micromachines 14 00619 g010
Figure 11. Fitting between the analytical model and SPICE simulations of the input equivalent noise current of the AD8067.
Figure 11. Fitting between the analytical model and SPICE simulations of the input equivalent noise current of the AD8067.
Micromachines 14 00619 g011
Figure 12. Contributions to the overall output noise spectral density due to the OPAMP and resistors Rp and RL, for (a) RL = 100 kΩ, (b) RL = 500 kΩ, (c) RL = 6 MΩ, (d) RL = 20 MΩ: comparison between the results obtained with the analytical model and SPICE simulations.
Figure 12. Contributions to the overall output noise spectral density due to the OPAMP and resistors Rp and RL, for (a) RL = 100 kΩ, (b) RL = 500 kΩ, (c) RL = 6 MΩ, (d) RL = 20 MΩ: comparison between the results obtained with the analytical model and SPICE simulations.
Micromachines 14 00619 g012aMicromachines 14 00619 g012b
Figure 13. Integration of the contribution Snp (red line), due to RP, to the total output spectral noise density at a low-pass filter bandwidth of 0.5 Hz around the operating frequency fop, for fop = fpeak and fop ≠ fpeak (RL = 100 kΩ).
Figure 13. Integration of the contribution Snp (red line), due to RP, to the total output spectral noise density at a low-pass filter bandwidth of 0.5 Hz around the operating frequency fop, for fop = fpeak and fop ≠ fpeak (RL = 100 kΩ).
Micromachines 14 00619 g013
Figure 14. RP noise contribution to the SNRn at the LIA output as a function of the operating frequency, for different values of RL and at a low-pass filter bandwidth of BW = 0.5 Hz.
Figure 14. RP noise contribution to the SNRn at the LIA output as a function of the operating frequency, for different values of RL and at a low-pass filter bandwidth of BW = 0.5 Hz.
Micromachines 14 00619 g014
Figure 15. RL noise contribution to the SNRn at the LIA output as a function of the operating frequency, for different values of RL and at a low-pass filter bandwidth of BW = 0.5 Hz.
Figure 15. RL noise contribution to the SNRn at the LIA output as a function of the operating frequency, for different values of RL and at a low-pass filter bandwidth of BW = 0.5 Hz.
Micromachines 14 00619 g015
Figure 16. Total normalized signal-to-noise ratio SNRn at the LIA output as a function of the operating frequency, for different values of RL and at a low-pass filter bandwidth of BW = 0.5 Hz. The corresponding results of SPICE simulations are also reported.
Figure 16. Total normalized signal-to-noise ratio SNRn at the LIA output as a function of the operating frequency, for different values of RL and at a low-pass filter bandwidth of BW = 0.5 Hz. The corresponding results of SPICE simulations are also reported.
Micromachines 14 00619 g016
Figure 17. RP noise contribution to the SNRn at the LIA output as a function of the operating frequency, for different values of RL and at a low-pass filter bandwidth of BW = 5 Hz.
Figure 17. RP noise contribution to the SNRn at the LIA output as a function of the operating frequency, for different values of RL and at a low-pass filter bandwidth of BW = 5 Hz.
Micromachines 14 00619 g017
Figure 18. RL noise contribution to the SNRn at the LIA output as a function of the operating frequency, for different values of RL and at a low-pass filter bandwidth of BW = 5 Hz.
Figure 18. RL noise contribution to the SNRn at the LIA output as a function of the operating frequency, for different values of RL and at a low-pass filter bandwidth of BW = 5 Hz.
Micromachines 14 00619 g018
Figure 19. Total normalized signal-to-noise ratio SNRn at the LIA output as a function of the operating frequency, for different values of RL and at a low-pass filter bandwidth of BW = 5 Hz. The corresponding results of SPICE simulations are also reported.
Figure 19. Total normalized signal-to-noise ratio SNRn at the LIA output as a function of the operating frequency, for different values of RL and at a low-pass filter bandwidth of BW = 5 Hz. The corresponding results of SPICE simulations are also reported.
Micromachines 14 00619 g019
Table 1. Parameter values used to compare the results of expression in Equation (2) to SPICE simulations.
Table 1. Parameter values used to compare the results of expression in Equation (2) to SPICE simulations.
ParameterValue
Cp5 pF
Cs5.2424 fF
L4.5 kH
Rp92.7 kΩ
Cin1.5 pF
RF47 kΩ
RS1 kΩ
Table 2. NNEA for different values of RL and ∆f, calculated starting from the value reported in [10] for the detection of CO2 in an N2 mixture.
Table 2. NNEA for different values of RL and ∆f, calculated starting from the value reported in [10] for the detection of CO2 in an N2 mixture.
RL [MΩ]Δf [Hz]NNEA [W·cm−1/√Hz]
100.55.0 × 10−9 [10]
1000.54.4 × 10−9
1055.8 × 10−9
10054.1 × 10−9
Disclaimer/Publisher’s Note: The statements, opinions and data contained in all publications are solely those of the individual author(s) and contributor(s) and not of MDPI and/or the editor(s). MDPI and/or the editor(s) disclaim responsibility for any injury to people or property resulting from any ideas, methods, instructions or products referred to in the content.

Share and Cite

MDPI and ACS Style

Di Gioia, M.; Lombardi, L.; Marzocca, C.; Matarrese, G.; Menduni, G.; Patimisco, P.; Spagnolo, V. Signal-to-Noise Ratio Analysis for the Voltage-Mode Read-Out of Quartz Tuning Forks in QEPAS Applications. Micromachines 2023, 14, 619. https://doi.org/10.3390/mi14030619

AMA Style

Di Gioia M, Lombardi L, Marzocca C, Matarrese G, Menduni G, Patimisco P, Spagnolo V. Signal-to-Noise Ratio Analysis for the Voltage-Mode Read-Out of Quartz Tuning Forks in QEPAS Applications. Micromachines. 2023; 14(3):619. https://doi.org/10.3390/mi14030619

Chicago/Turabian Style

Di Gioia, Michele, Luigi Lombardi, Cristoforo Marzocca, Gianvito Matarrese, Giansergio Menduni, Pietro Patimisco, and Vincenzo Spagnolo. 2023. "Signal-to-Noise Ratio Analysis for the Voltage-Mode Read-Out of Quartz Tuning Forks in QEPAS Applications" Micromachines 14, no. 3: 619. https://doi.org/10.3390/mi14030619

APA Style

Di Gioia, M., Lombardi, L., Marzocca, C., Matarrese, G., Menduni, G., Patimisco, P., & Spagnolo, V. (2023). Signal-to-Noise Ratio Analysis for the Voltage-Mode Read-Out of Quartz Tuning Forks in QEPAS Applications. Micromachines, 14(3), 619. https://doi.org/10.3390/mi14030619

Note that from the first issue of 2016, this journal uses article numbers instead of page numbers. See further details here.

Article Metrics

Back to TopTop