Influence of Structural Parameters on the Performance of an Asymmetric Rhombus Micromixer with Baffles
Abstract
1. Introduction
2. Geometry of the Micromixer
3. Numerical Model and Verification
3.1. Numerical Model
3.2. Experimental Verification
4. Results
5. Discussion
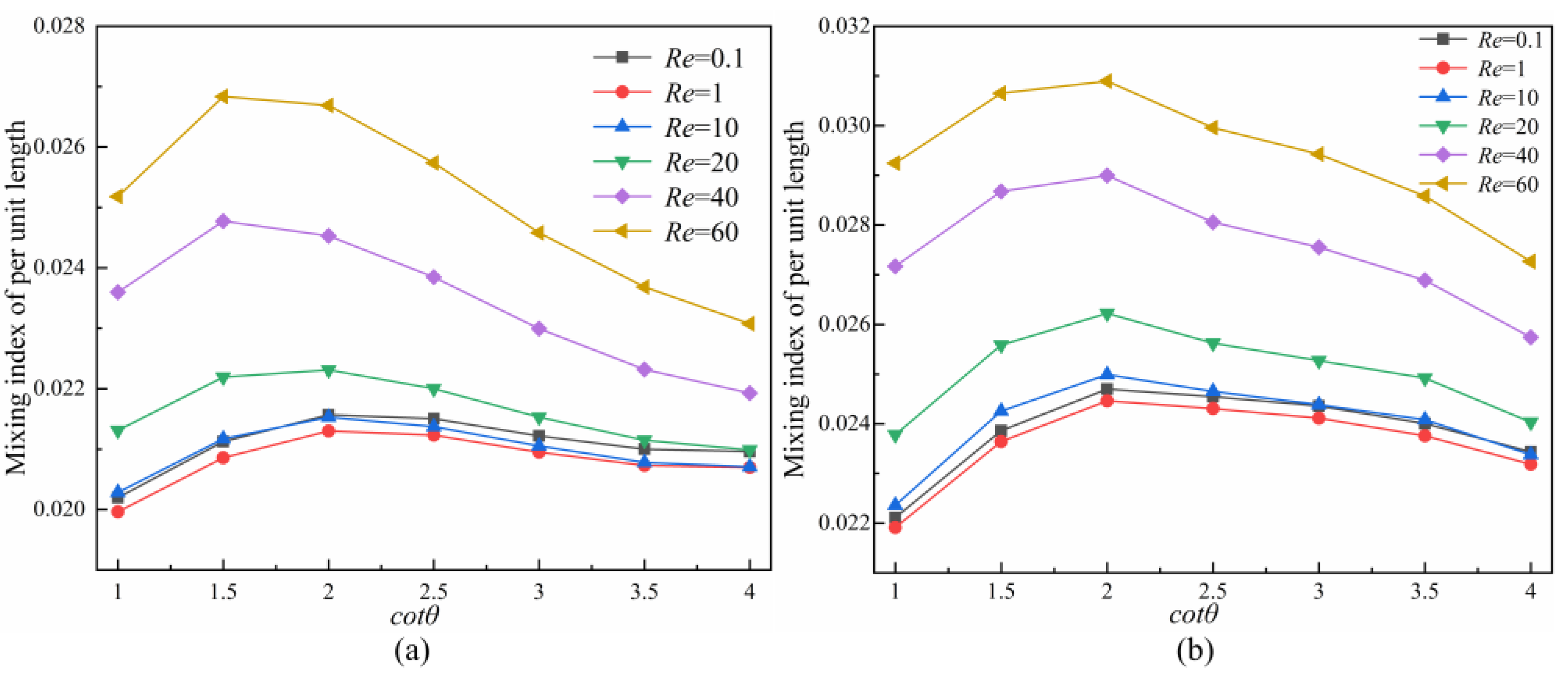
5.1. Effect of Rhombic Angle on Mixing Performance
5.2. Effect of Sub-Channel Width Ratio on Mixing Performance
5.3. Effect of Baffle Parameters on Mixing Performance
5.3.1. Effect of the Distance between the Baffle and the Inlet on Mixing Performance
5.3.2. Effect of Baffle Height on Mixing Performance
5.3.3. Effect of Baffle Spacing on Mixing Performance
6. Conclusions
Author Contributions
Funding
Data Availability Statement
Acknowledgments
Conflicts of Interest
References
- Cui, P.; Wang, S. Application of microfluidic chip technology in pharmaceutical analysis: A review. J. Pharm. Anal. 2019, 9, 238–247. [Google Scholar] [CrossRef] [PubMed]
- Wu, J.; He, Z.; Chen, Q.; Lin, J.M. Biochemical analysis on microfluidic chips. TrAC Trends Anal. Chem. 2016, 80, 213–231. [Google Scholar] [CrossRef]
- Karvelas, E.; Liosis, C.; Benos, L.; Karakasidis, T.; Sarris, I. Micromixing efficiency of particles in heavy metal removal processes under various inlet conditions. Water 2019, 11, 1135. [Google Scholar] [CrossRef]
- Mengeaud, V.; Josserand, J.; Girault, H.H. Mixing processes in a zigzag microchannel: Finite element simulations and optical study. Anal. Chem. 2002, 74, 4279–4286. [Google Scholar] [CrossRef]
- Yan, D.; Yang, C.; Miao, J.; Lam, Y.; Huang, X. Enhancement of electrokinetically driven microfluidic T-mixer using frequency modulated electric field and channel geometry effects. Electrophoresis 2009, 30, 3144–3152. [Google Scholar] [CrossRef]
- Karvelas, E.G.; Lampropoulos, N.K.; Karakasidis, T.E.; Sarris, I.E. A computational tool for the estimation of the optimum gradient magnetic field for the magnetic driving of the spherical particles in the process of cleaning water. Desalin. Water Treat. 2017, 99, 27–33. [Google Scholar] [CrossRef]
- Liosis, C.; Karvelas, E.G.; Karakasidis, T.; Sarris, I.E. Numerical study of magnetic particles mixing in waste water under an external magnetic field. J. Water Supply Res. Technol. AQUA 2020, 69, 266–275. [Google Scholar] [CrossRef]
- Cheng, H.; Manas-Zloczower, I. Study of mixing efficiency in kneading discs of co-rotating twin-screw extruders. Polym. Eng. Sci. 1997, 37, 1082–1090. [Google Scholar] [CrossRef]
- Chung, C.K.; Shih, T.R. Effect of geometry on fluid mixing of the rhombic micromixers. Microfluid. Nanofluid. 2008, 4, 419–425. [Google Scholar] [CrossRef]
- Cai, G.; Xue, L.; Zhang, H.; Lin, J. A review on micromixers. Micromachines 2017, 8, 274. [Google Scholar] [CrossRef]
- Sabotin, I.; Tristo, G.; Junkar, M.; Valentinčič, J. Two-step design protocol for patterned groove micromixers. Chem. Eng. Res. Des. 2013, 91, 778–788. [Google Scholar] [CrossRef]
- Haghighinia, A.; Movahedirad, S. Mass transfer in a novel passive micro-mixer: Flow tortuosity effects. Anal. Chim. Acta 2020, 1098, 75–85. [Google Scholar] [CrossRef] [PubMed]
- Juraeva, M.; Kang, D.J. Mixing performance of a cross-channel split-and-recombine micro-mixer combined with mixing cell. Micromachines 2020, 11, 685. [Google Scholar] [CrossRef] [PubMed]
- Takayama, T.; Kaneko, M.; Tsai, C.D. On-chip micro mixer driven by elastic wall with virtual actuator. Micromachines 2021, 12, 217. [Google Scholar] [CrossRef] [PubMed]
- Okuducu, M.B.; Aral, M.M. Toward the next generation of passive micromixers: A novel 3-D design approach. Micromachines 2021, 12, 372. [Google Scholar] [CrossRef] [PubMed]
- Mariotti, A.; Galletti, C.; Mauri, R.; Salvetti, M.V.; Brunazzi, E. Steady and unsteady regimes in a T-shaped micro-mixer: Synergic experimental and numerical investigation. Chem. Eng. J. 2018, 341, 414–431. [Google Scholar] [CrossRef]
- Mariotti, A.; Galletti, C.; Salvetti, M.V.; Brunazzi, E. Unsteady flow regimes in a T-shaped micromixer: Mixing and characteristic frequencies. Ind. Eng. Chem. Res. 2019, 58, 13340–13356. [Google Scholar] [CrossRef]
- Rampalli, S.; Dundi, T.M.; Chandrasekhar, S.; Raju, V.R.K.; Chandramohan, V.P. Numerical evaluation of liquid mixing in a serpentine square convergent-divergent passive micromixer. Chem. Prod. Process Model. 2020, 15, 201190071. [Google Scholar] [CrossRef]
- Mariotti, A.; Galletti, C.; Mauri, R.; Salvetti, M.V.; Brunazzi, E. Effect of stratification on the mixing and reaction yield in a T-shaped micro-mixer. Phys. Rev. Fluids 2021, 6, 024202. [Google Scholar] [CrossRef]
- Kumar, A.U.; Ganesh, D.S.; Krishna, T.V.; Sashank, B.; Satyanarayana, T. Modeling and investigation on mixing characteristics of T & Y-shaped micromixers for microfluidic devices. Mater. Today Proc. 2022, 59, 501–505. [Google Scholar]
- Wong, S.H.; Ward, M.; Wharton, C.W. Micro T-mixer as a rapid mixing micromixer. Sens. Actuators B Chem. 2004, 100, 359–379. [Google Scholar] [CrossRef]
- Tsai, C.H.D.; Lin, X.Y. Experimental study on microfluidic mixing with different zigzag angles. Micromachines 2019, 10, 583. [Google Scholar] [CrossRef] [PubMed]
- Wang, X.; Liu, Z.; Yang, Y.; Cai, Y.; Song, Q.; Wang, B. Effects of sidewall roughness on mixing performance of zigzag microchannels. Chem. Eng. Process. Process Intensif. 2022, 179, 109057. [Google Scholar] [CrossRef]
- Hsieh, S.S.; Lin, J.W.; Chen, J.H. Mixing efficiency of Y-type micromixers with different angles. Int. J. Heat Fluid Flow 2013, 44, 130–139. [Google Scholar] [CrossRef]
- Rudyak, V.; Minakov, A. Modeling and optimization of Y-type micromixers. Micromachines 2014, 5, 886–912. [Google Scholar] [CrossRef]
- Sarma, P.; Patowari, P.K. Design and analysis of passive Y-type micromixers for enhanced mixing performance for biomedical and microreactor application. J. Adv. Manuf. Syst. 2016, 15, 161–172. [Google Scholar] [CrossRef]
- Zhang, Y.; Chen, X. The mixing performance of passive micromixers with smart-rhombic units. J. Dispers. Sci. Technol. 2020, 43, 439–445. [Google Scholar] [CrossRef]
- Chung, C.K.; Chang, C.K.; Lai, C.C. Simulation and fabrication of a branch-channel rhombic micromixer for low pressure drop and short mixing length. Microsyst. Technol. 2013, 20, 1981–1986. [Google Scholar] [CrossRef]
- Cortes-Quiroz, C.A.; Azarbadegan, A.; Zangeneh, M. Evaluation of flow characteristics that give higher mixing performance in the 3-D T-mixer versus the typical T-mixer. Sens. Actuators B Chem. 2014, 202, 1209–1219. [Google Scholar] [CrossRef]
- Liu, K.; Yang, Q.; Chen, F.; Zhao, Y.; Meng, X.; Shan, C.; Li, Y. Design and analysis of the cross-linked dual helical micromixer for rapid mixing at low Reynolds numbers. Microfluid. Nanofluid. 2015, 19, 169–180. [Google Scholar] [CrossRef]
- Juraeva, M.; Kang, D.J. Mixing performance of a passive micro-mixer with mixing units stacked in cross flow direction. Micromachines 2021, 12, 1530. [Google Scholar] [CrossRef] [PubMed]
- Li, J.; Xia, G. Fluid flow and mixing characteristics in micromixer with vortex-generated structures. J. Ind. Eng. Chem. 2013, 64, 2328–2335. [Google Scholar]
- Zhang, H.; Yang, S.; Chuai, R.; Li, X.; Mu, X. The influence of the unit junction on the performance of a repetitive structure micromixer. Micromachines 2022, 13, 384. [Google Scholar] [CrossRef] [PubMed]
- Ansari, M.A.; Kim, K.Y. Mixing performance of unbalanced split and recombine micromixers with circular and rhombic sub-channels. Chem. Eng. J. 2010, 162, 760–767. [Google Scholar] [CrossRef]
- Cao, J.; Cheng, P.; Hong, F.J. A numerical study of an electrothermal vortex enhanced micromixer. Microfluid. Nanofluid. 2008, 5, 13–21. [Google Scholar] [CrossRef]
- Roache, P.J. A method for uniform reporting of grid refinement studies. ASME-Publ.-Fed 1993, 158, 109. [Google Scholar] [CrossRef]
- Roache, P.J. Perspective: A method for uniform reporting of grid refinement studies. J. Fluids Eng. 1994, 116, 405–413. [Google Scholar] [CrossRef]
- Chen, X.; Shen, J. Numerical and experimental investigation on splitting-and-recombination micromixer with E-shape mixing units. Microsyst. Technol. 2017, 23, 4671–4677. [Google Scholar] [CrossRef]





















| Structure | Size (μm) |
|---|---|
| T-Channel entry width (W1, W2) | 50 |
| Mixed main inlet length (Din) | 250 |
| Mixed main inlet width (Win) | 100 |
| Mixing main outlet length (Dout) | 200 |
| Mixed main outlet width (Wout) | 100 |
| Hybrid wide channel (w3) | 100 |
| Hybrid narrow channel (w4) | 40 |
| Rhombus long semi-axis (S1) | 250 |
| Rhombus short half shaft (S2) | 125 |
| Rhombic angle (θ) | 26.5° |
| Baffle width (B) | 40 |
| Baffle height (H) | 70 |
| Baffle position (L0) | 150 |
| Baffle spacing (m) | 40 |
| Micromixer height (h) | 50 |
| Micromixer length (L) | 1769.6 |
| The Number of Grid Control Units (N1, N2, N3) | Mesh Refinement Rate (r) | Relative Error (ε) | Safety Factor (FS) [37] | The Order of Accuracy (p) | Grid Convergence Index (GCI) | ||
|---|---|---|---|---|---|---|---|
| 100,054 | 251,766 | 400,477 | 2.5 | −0.026 | 3 | 1.68 | 2.437 |
Disclaimer/Publisher’s Note: The statements, opinions and data contained in all publications are solely those of the individual author(s) and contributor(s) and not of MDPI and/or the editor(s). MDPI and/or the editor(s) disclaim responsibility for any injury to people or property resulting from any ideas, methods, instructions or products referred to in the content. |
© 2023 by the authors. Licensee MDPI, Basel, Switzerland. This article is an open access article distributed under the terms and conditions of the Creative Commons Attribution (CC BY) license (https://creativecommons.org/licenses/by/4.0/).
Share and Cite
Nai, J.; Zhang, F.; Dong, P.; Fu, T.; Ge, A.; Xu, S.; Pan, Y. Influence of Structural Parameters on the Performance of an Asymmetric Rhombus Micromixer with Baffles. Micromachines 2023, 14, 545. https://doi.org/10.3390/mi14030545
Nai J, Zhang F, Dong P, Fu T, Ge A, Xu S, Pan Y. Influence of Structural Parameters on the Performance of an Asymmetric Rhombus Micromixer with Baffles. Micromachines. 2023; 14(3):545. https://doi.org/10.3390/mi14030545
Chicago/Turabian StyleNai, Jiacheng, Feng Zhang, Peng Dong, Ting Fu, Anle Ge, Shuang Xu, and Yanqiao Pan. 2023. "Influence of Structural Parameters on the Performance of an Asymmetric Rhombus Micromixer with Baffles" Micromachines 14, no. 3: 545. https://doi.org/10.3390/mi14030545
APA StyleNai, J., Zhang, F., Dong, P., Fu, T., Ge, A., Xu, S., & Pan, Y. (2023). Influence of Structural Parameters on the Performance of an Asymmetric Rhombus Micromixer with Baffles. Micromachines, 14(3), 545. https://doi.org/10.3390/mi14030545

