Electrochemical Biosensor for Detection of the CYP2C19*2 Allele Based on Exonuclease Ⅲ
Abstract
1. Introduction
2. Experimental
2.1. Reagents and Materials
2.2. Equipment
2.3. Preparation of Au/SCX6/RGO-MB Nanocomposites
2.4. Fabrication of the Proposed Biosensor
2.5. Electrochemical Detection
3. Results and Discussion
3.1. Principle of the Electrochemical Biosensor
3.2. Characterization of Electrode Assembly Process
3.3. Characterization of Nanocomposites
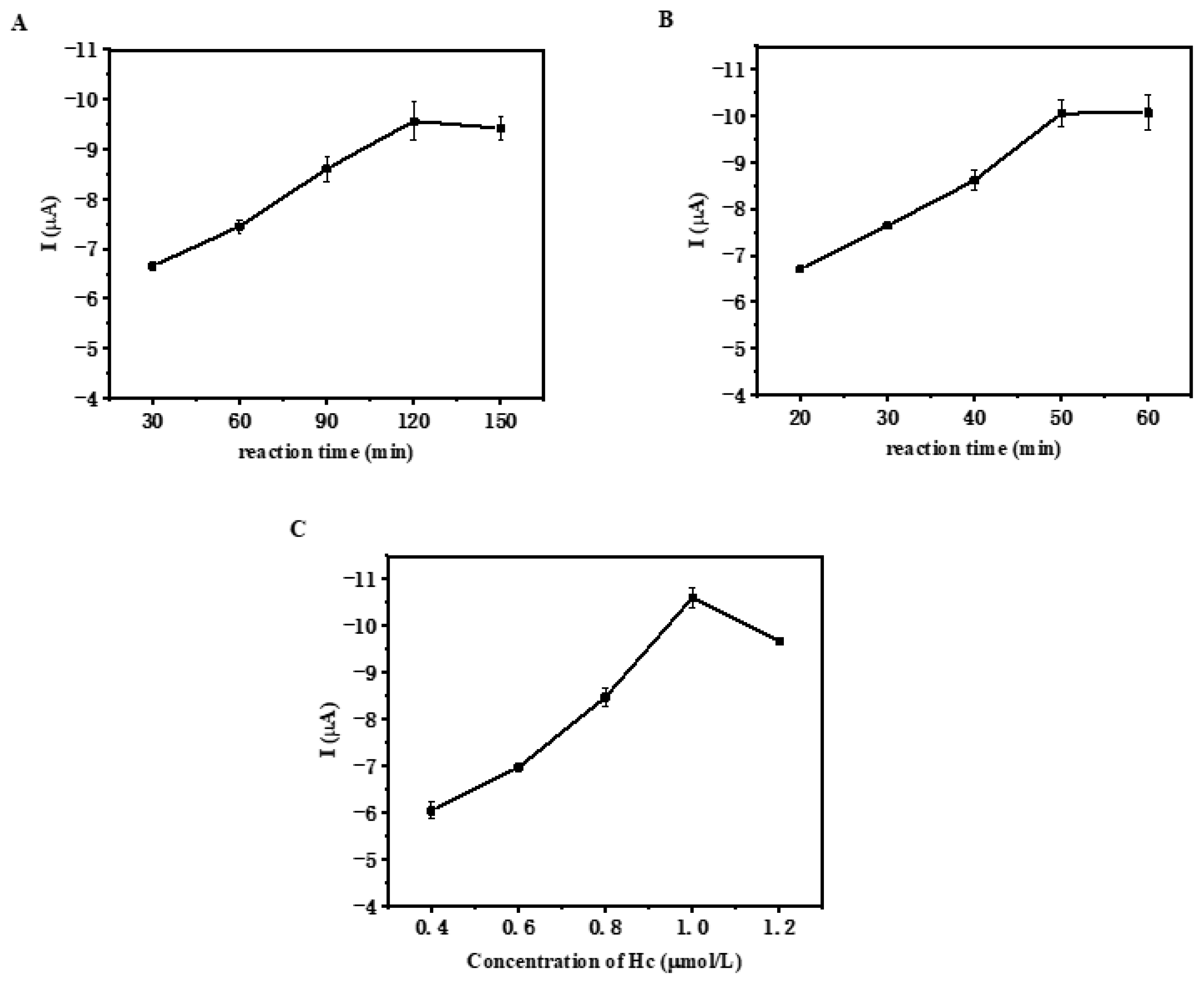
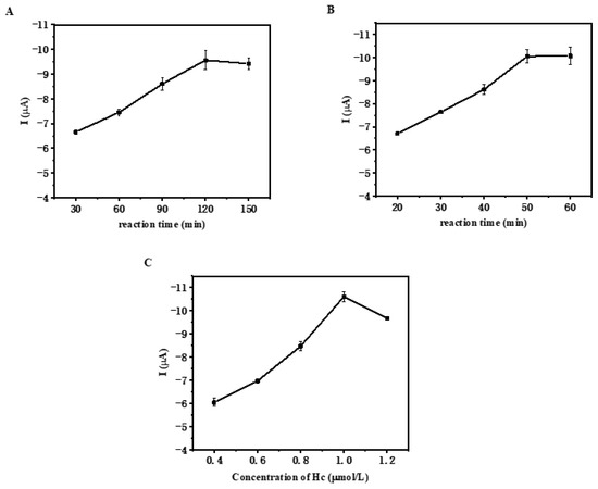
3.4. Optimization of Experimental Conditions
3.5. Analytical Performance of the Developed Biosensor
3.6. Specificity and Stability of the Biosensor
3.7. Practical Applications of the Biosensor in Real Samples
4. Conclusions
Supplementary Materials
Author Contributions
Funding
Data Availability Statement
Conflicts of Interest
References
- Amsterdam, E.A.; Wenger, N.K.; Brindis, R.G.; Casey, D.E.; Ganiats, T.G.; Holmes, D.R.; Jaffe, A.S.; Jneid, H.; Kelly, R.F.; Kontos, M.C.; et al. 2014 AHA/ACC Guideline for the Management of Patients With Non–ST-Elevation Acute Coronary Syndromes: A Report of the American College of Cardiology/American Heart Association Task Force on Practice Guidelines. Circulation 2014, 130. [Google Scholar] [CrossRef]
- Jiang, X.-L.; Samant, S.; Lesko, L.J.; Schmidt, S. Clinical Pharmacokinetics and Pharmacodynamics of Clopidogrel. Clin. Pharm. 2015, 54, 147–166. [Google Scholar] [CrossRef] [PubMed]
- Gorog, D.A.; Fuster, V. Platelet Function Tests in Clinical Cardiology. J. Am. Coll. Cardiol. 2013, 61, 2115–2129. [Google Scholar] [CrossRef]
- Bonello, L.; Tantry, U.S.; Marcucci, R.; Blindt, R.; Angiolillo, D.J.; Becker, R.; Bhatt, D.L.; Cattaneo, M.; Collet, J.P.; Cuisset, T.; et al. Consensus and Future Directions on the Definition of High On-Treatment Platelet Reactivity to Adenosine Diphosphate. J. Am. Coll. Cardiol. 2010, 56, 919–933. [Google Scholar] [CrossRef]
- Small, D.S.; Farid, N.A.; Payne, C.D.; Weerakkody, G.J.; Li, Y.G.; Brandt, J.T.; Salazar, D.E.; Winters, K.J. Effects of the Proton Pump Inhibitor Lansoprazole on the Pharmacokinetics and Pharmacodynamics of Prasugrel and Clopidogrel. J. Clin. Pharmacol. 2008, 48, 475–484. [Google Scholar] [CrossRef] [PubMed]
- Pereira, N.L.; Rihal, C.S.; So, D.Y.F.; Rosenberg, Y.; Lennon, R.J.; Mathew, V.; Goodman, S.G.; Weinshilboum, R.M.; Wang, L.; Baudhuin, L.M.; et al. Clopidogrel Pharmacogenetics: State-of-the-Art Review and the TAILOR-PCI Study. Circ. Cardiovasc. Interv. 2019, 12, e007811. [Google Scholar] [CrossRef]
- Nguyen, T.A.; Diodati, J.G.; Pharand, C. Resistance to Clopidogrel: A Review of the Evidence. J. Am. Coll. Cardiol. 2005, 45, 1157–1164. [Google Scholar] [CrossRef]
- Mao, L.; Jian, C.; Changzhi, L.; Dan, H.; Suihua, H.; Wenyi, T.; Wei, W. Cytochrome CYP2C19 Polymorphism and Risk of Adverse Clinical Events in Clopidogrel-Treated Patients: A Meta-Analysis Based on 23,035 Subjects. Arch. Cardiovasc. Dis. 2013, 106, 517–527. [Google Scholar] [CrossRef]
- Lin, R.; Zhang, L.; Zhang, P.; Zhou, L.; Liu, T.; Li, Y.; Zhang, W.; Wang, W.; Zhang, J. Influence of CYP2C19 Loss-of-Function Variants on the Metabolism of Clopidogrel in Patients from North-Western China. J. Clin. Pharm. Ther. 2015, 40, 308–314. [Google Scholar] [CrossRef]
- Rosemary, J.; Adithan, C. The Pharmacogenetics of CYP2C9 and CYP2C19: Ethnic Variation and Clinical Significance. CCP 2007, 2, 93–109. [Google Scholar] [CrossRef]
- Tang, X.-F.; Han, Y.-L.; Zhang, J.-H.; Wang, J.; Yao, Y.; He, C.; Xu, B.; Gao, Z.; Qiao, S.-B.; Chen, J.; et al. CYP2C19 Genotyping Combined with On-Clopidogrel Platelet Reactivity in Predicting Major Adverse Cardiovascular Events in Chinese Patients with Percutaneous Coronary Intervention. Thromb. Res. 2016, 147, 108–114. [Google Scholar] [CrossRef] [PubMed]
- Cervinski, M.A.; Schwab, M.C.; Lefferts, J.A.; Lewis, L.D.; Lebel, K.A.; Tyropolis, A.M.; Pflueger, S.M.V.; Tsongalis, G.J. Establishment of a CYP2C19 Genotyping Assay for Clinical Use. Am. J. Clin. Pathol. 2013, 139, 202–207. [Google Scholar] [CrossRef] [PubMed]
- Gao, Y.; Chen, J.; Wang, Z.; Peng, H.; Li, M.; Zhu, Z.; Chen, H. Genotyping for CYP2C19 with multiplex PCR point mutation screening technology. Zhonghua Yi Xue Za Zhi 2011, 91, 2293–2296. [Google Scholar] [PubMed]
- Li, Q.; Yu, C.; Gao, R.; Xia, C.; Yuan, G.; Li, Y.; Zhao, Y.; Chen, Q.; He, J. A Novel DNA Biosensor Integrated with Polypyrrole/Streptavidin and Au-PAMAM-CP Bionanocomposite Probes to Detect the Rs4839469 Locus of the Vangl1 Gene for Dysontogenesis Prediction. Biosens. Bioelectron. 2016, 80, 674–681. [Google Scholar] [CrossRef] [PubMed]
- Pu, Q.; Li, J.; Qiu, J.; Yang, X.; Li, Y.; Yin, D.; Zhang, X.; Tao, Y.; Sheng, S.; Xie, G. Universal Ratiometric Electrochemical Biosensing Platform Based on Mesoporous Platinum Nanocomposite and Nicking Endonuclease Assisted DNA Walking Strategy. Biosens. Bioelectron. 2017, 94, 719–727. [Google Scholar] [CrossRef]
- Yan, M.; Bai, W.; Zhu, C.; Huang, Y.; Yan, J.; Chen, A. Design of Nuclease-Based Target Recycling Signal Amplification in Aptasensors. Biosens. Bioelectron. 2016, 77, 613–623. [Google Scholar] [CrossRef] [PubMed]
- Liu, H.; Ma, C.; Zhou, M.; Chen, H.; He, H.; Wang, K. Quencher-Free Fluorescence Strategy for Detection of DNA Methyltransferase Activity Based on Exonuclease III-Assisted Signal Amplification. Anal. Bioanal. Chem. 2016, 408, 8111–8116. [Google Scholar] [CrossRef]
- Zhou, D.; Zeng, L.; Pan, J.; Li, Q.; Chen, J. Autocatalytic DNA Circuit for Hg2+ Detection with High Sensitivity and Selectivity Based on Exonuclease III and G-Quadruplex DNAzyme. Talanta 2020, 207, 120258. [Google Scholar] [CrossRef] [PubMed]
- Wang, W.; Bao, T.; Zeng, X.; Xiong, H.; Wen, W.; Zhang, X.; Wang, S. Ultrasensitive Electrochemical DNA Biosensor Based on Functionalized Gold Clusters/Graphene Nanohybrids Coupling with Exonuclease III-Aided Cascade Target Recycling. Biosens. Bioelectron. 2017, 91, 183–189. [Google Scholar] [CrossRef]
- Ramaraj, S.; Sakthivel, M.; Chen, S.-M.; Ho, K.-C. Active-Site-Rich 1T-Phase CoMoSe2 Integrated Graphene Oxide Nanocomposite as an Efficient Electrocatalyst for Electrochemical Sensor and Energy Storage Applications. Anal. Chem. 2019, 91, 8358–8365. [Google Scholar] [CrossRef]
- Yilmaz, M. Calixarene-Based Receptors for Molecular Recognition. Turk. J. Chem. 2013, 37, 558–585. [Google Scholar] [CrossRef]
- Dsouza, R.N.; Pischel, U.; Nau, W.M. Fluorescent Dyes and Their Supramolecular Host/Guest Complexes with Macrocycles in Aqueous Solution. Chem. Rev. 2011, 111, 7941–7980. [Google Scholar] [CrossRef] [PubMed]
- Zhou, J.; Chen, M.; Diao, G. Calix[4,6,8]Arenesulfonates Functionalized Reduced Graphene Oxide with High Supramolecular Recognition Capability: Fabrication and Application for Enhanced Host–Guest Electrochemical Recognition. ACS Appl. Mater. Interfaces 2013, 5, 828–836. [Google Scholar] [CrossRef] [PubMed]
- Eroglu, E.; Zang, W.; Eggers, P.K.; Chen, X.; Boulos, R.A.; Wahid, M.H.; Smith, S.M.; Raston, C.L. Nitrate Uptake by P-Phosphonic Acid Calix[8]Arene Stabilized Graphene. Chem. Commun. 2013, 49, 8172. [Google Scholar] [CrossRef] [PubMed]
- Chen, X.; Boulos, R.A.; Eggers, P.K.; Raston, C.L. P-Phosphonic Acid Calix[8]Arene Assisted Exfoliation and Stabilization of 2D Materials in Water. Chem. Commun. 2012, 48, 11407. [Google Scholar] [CrossRef]
- Liu, Z.-M.; Yang, Y.; Wang, H.; Liu, Y.-L.; Shen, G.-L.; Yu, R.-Q. A Hydrogen Peroxide Biosensor Based on Nano-Au/PAMAM Dendrimer/Cystamine Modified Gold Electrode. Sens. Actuators B Chem. 2005, 106, 394–400. [Google Scholar] [CrossRef]
- Zhao, H.; Yang, L.; Li, Y.; Ran, X.; Ye, H.; Zhao, G.; Zhang, Y.; Liu, F.; Li, C.-P. A Comparison Study of Macrocyclic Hosts Functionalized Reduced Graphene Oxide for Electrochemical Recognition of Tadalafil. Biosens. Bioelectron. 2017, 89, 361–369. [Google Scholar] [CrossRef]
- Yang, L.; Zhao, H.; Li, Y.; Ran, X.; Deng, G.; Xie, X.; Li, C.-P. Fluorescent Detection of Tadalafil Based on Competitive Host–Guest Interaction Using p -Sulfonated Calix[6]Arene Functionalized Graphene. ACS Appl. Mater. Interfaces 2015, 7, 26557–26565. [Google Scholar] [CrossRef]
- Rui-Sheng, H.; Shan-Tang, L.; Tao, Z.; Zhong-Fan, L.; Xiao-Hua, H.; Hui-Zhong, H. Covalent Attachment of Gold Nanoparticles onto the Thiol-Terminated Surface through Au-S Bonding. Acta Phys. -Chim. Sin. 1999, 15, 961–965. [Google Scholar] [CrossRef]
- Magar, H.S.; Hassan, R.Y.A.; Mulchandani, A. Electrochemical Impedance Spectroscopy (EIS): Principles, Construction, and Biosensing Applications. Sensors 2021, 21, 6578. [Google Scholar] [CrossRef] [PubMed]






Disclaimer/Publisher’s Note: The statements, opinions and data contained in all publications are solely those of the individual author(s) and contributor(s) and not of MDPI and/or the editor(s). MDPI and/or the editor(s) disclaim responsibility for any injury to people or property resulting from any ideas, methods, instructions or products referred to in the content. |
© 2023 by the authors. Licensee MDPI, Basel, Switzerland. This article is an open access article distributed under the terms and conditions of the Creative Commons Attribution (CC BY) license (https://creativecommons.org/licenses/by/4.0/).
Share and Cite
Chen, S.; Yu, R.; Li, Y.; Wu, J.; Qiu, J.; Huang, X.; Xue, J. Electrochemical Biosensor for Detection of the CYP2C19*2 Allele Based on Exonuclease Ⅲ. Micromachines 2023, 14, 541. https://doi.org/10.3390/mi14030541
Chen S, Yu R, Li Y, Wu J, Qiu J, Huang X, Xue J. Electrochemical Biosensor for Detection of the CYP2C19*2 Allele Based on Exonuclease Ⅲ. Micromachines. 2023; 14(3):541. https://doi.org/10.3390/mi14030541
Chicago/Turabian StyleChen, Siling, Rongjun Yu, Ying Li, Jiangling Wu, Jingfu Qiu, Xinyi Huang, and Jianjiang Xue. 2023. "Electrochemical Biosensor for Detection of the CYP2C19*2 Allele Based on Exonuclease Ⅲ" Micromachines 14, no. 3: 541. https://doi.org/10.3390/mi14030541
APA StyleChen, S., Yu, R., Li, Y., Wu, J., Qiu, J., Huang, X., & Xue, J. (2023). Electrochemical Biosensor for Detection of the CYP2C19*2 Allele Based on Exonuclease Ⅲ. Micromachines, 14(3), 541. https://doi.org/10.3390/mi14030541

