Meta-Atoms with Toroidal Topology for Strongly Resonant Responses
Abstract
1. Introduction
2. Materials and Methods
2.1. Metasurface Full-Wave Simulations and Multipole Expansion
2.2. Meta-Atom Fabrication with 3D Printing
2.3. Electromagnetic Characterization with Rectangular Waveguide Setup
3. Results
3.1. Free-Space Metasurface with Controllable Strongly Resonant Response
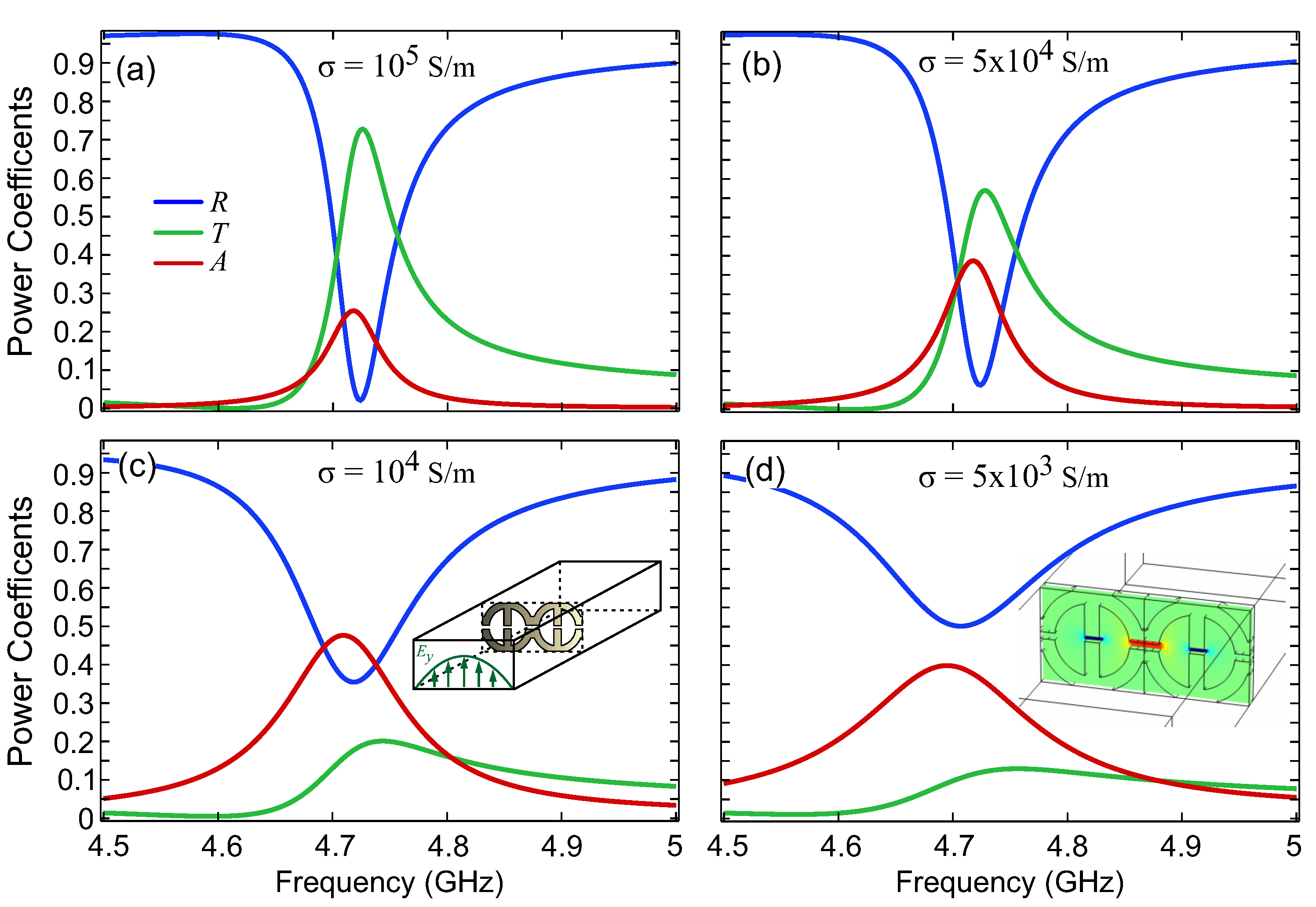
3.2. Meta-Atoms in a Rectangular Waveguide Setup—Experimental Verification
4. Discussion and Conclusions
Author Contributions
Funding
Institutional Review Board Statement
Informed Consent Statement
Data Availability Statement
Acknowledgments
Conflicts of Interest
References
- Afanasiev, G.N.; Stepanovsky, Y.P. The electromagnetic field of elementary time-dependent toroidal sources. J. Phys. A 1995, 28, 4565–4580. [Google Scholar] [CrossRef]
- Radescu, E.E.; Vaman, G. Exact calculation of the angular momentum loss, recoil force, and radiation intensity for an arbitrary source in terms of electric, magnetic, and toroid multipoles. Phys. Rev. E 2002, 65, 046609. [Google Scholar] [CrossRef]
- Savinov, V.; Fedotov, V.A.; Zheludev, N.I. Toroidal dipolar excitation and macroscopic electromagnetic properties of metamaterials. Phys. Rev. B 2014, 89, 205112. [Google Scholar] [CrossRef]
- Papasimakis, N.; Fedotov, V.A.; Savinov, V.; Raybould, T.A.; Zheludev, N.I. Electromagnetic toroidal excitations in matter and free space. Nat. Mater. 2016, 15, 263–271. [Google Scholar] [CrossRef]
- Alaee, R.; Rockstuhl, C.; Fernandez-Corbaton, I. Exact Multipolar Decompositions with Applications in Nanophotonics. Adv. Opt. Mater. 2019, 7, 1800783. [Google Scholar] [CrossRef]
- Zel’dovich, Y.B. Electromagnetic Interaction with Parity Violation. Sov. Phys. JETP 1958, 6, 1184. [Google Scholar]
- Kaelberer, T.; Fedotov, V.A.; Papasimakis, N.; Tsai, D.P.; Zheludev, N.I. Toroidal dipolar response in a metamaterial. Science 2010, 330, 1510–1512. [Google Scholar] [CrossRef]
- Basharin, A.A.; Kafesaki, M.; Economou, E.N.; Soukoulis, C.M.; Fedotov, V.A.; Savinov, V.; Zheludev, N.I. Dielectric Metamaterials with Toroidal Dipolar Response. Phys. Rev. X 2015, 5, 011036. [Google Scholar] [CrossRef]
- Tasolamprou, A.C.; Tsilipakos, O.; Kafesaki, M.; Soukoulis, C.M.; Economou, E.N. Toroidal eigenmodes in all-dielectric metamolecules. Phys. Rev. B 2016, 94, 205433. [Google Scholar] [CrossRef]
- Zografopoulos, D.C.; Ferraro, A.; Algorri, J.F.; Martín-Mateos, P.; García-Cámara, B.; Moreno-Oyervides, A.; Krozer, V.; Acedo, P.; Vergaz, R.; Sánchez-Pena, J.M.; et al. All-Dielectric Silicon Metasurface with Strong Subterahertz Toroidal Dipole Resonance. Adv. Opt. Mater. 2019, 7, 1900777. [Google Scholar] [CrossRef]
- Jeong, J.; Goldflam, M.D.; Campione, S.; Briscoe, J.L.; Vabishchevich, P.P.; Nogan, J.; Sinclair, M.B.; Luk, T.S.; Brener, I. High Quality Factor Toroidal Resonances in Dielectric Metasurfaces. ACS Photonics 2020, 7, 1699–1707. [Google Scholar] [CrossRef]
- Zografopoulos, D.C.; Algorri, J.F.; Fuscaldo, W.; López-Higuera, J.M.; Vergaz, R.; Sánchez-Pena, J.M.; Karolos, I.A.; Beccherelli, R.; Tsioukas, V.E.; Yioultsis, T.V.; et al. All-Dielectric Toroidal Metasurfaces for Angular-Dependent Resonant Polarization Beam Splitting. Adv. Opt. Mater. 2021, 9, 2002143. [Google Scholar] [CrossRef]
- Basharin, A.A.; Chuguevsky, V.; Volsky, N.; Kafesaki, M.; Economou, E.N. Extremely high Q-factor metamaterials due to anapole excitation. Phys. Rev. B 2017, 95, 035104. [Google Scholar] [CrossRef]
- Liu, Z.; Du, S.; Cui, A.; Li, Z.; Fan, Y.; Chen, S.; Li, W.; Li, J.; Gu, C. High-Quality-Factor Mid-Infrared Toroidal Excitation in Folded 3D Metamaterials. Adv. Mater. 2017, 29, 1606298. [Google Scholar] [CrossRef]
- Wu, P.C.; Liao, C.Y.; Savinov, V.; Chung, T.L.; Chen, W.T.; Huang, Y.; Wu, P.R.; Chen, Y.; Liu, A.; Zheludev, N.I.; et al. Optical Anapole Metamaterial. ACS Nano 2018, 12, 1920–1927. [Google Scholar] [CrossRef]
- Fan, Y.; Wei, Z.; Li, H.; Chen, H.; Soukoulis, C.M. Low-loss and high-Q planar metamaterial with toroidal moment. Phys. Rev. B 2013, 87, 115417. [Google Scholar] [CrossRef]
- Cong, L.; Srivastava, Y.K.; Singh, R. Tailoring the multipoles in THz toroidal metamaterials. Appl. Phys. Lett. 2017, 111, 081108. [Google Scholar] [CrossRef]
- Gupta, M.; Savinov, V.; Xu, N.; Cong, L.; Dayal, G.; Wang, S.; Zhang, W.; Zheludev, N.I.; Singh, R. Sharp Toroidal Resonances in Planar Terahertz Metasurfaces. Adv. Mater. 2016, 28, 8206–8211. [Google Scholar] [CrossRef]
- Fan, Y.; Zhang, F.; Shen, N.H.; Fu, Q.; Wei, Z.; Li, H.; Soukoulis, C.M. Achieving a high-Q response in metamaterials by manipulating the toroidal excitations. Phys. Rev. A 2018, 97, 033816. [Google Scholar] [CrossRef]
- Han, S.; Gupta, M.; Cong, L.; Srivastava, Y.K.; Singh, R. Toroidal and magnetic Fano resonances in planar THz metamaterials. J. Appl. Phys. 2017, 122, 113105. [Google Scholar] [CrossRef]
- Yang, Y.; Bozhevolnyi, S.I. Nonradiating anapole states in nanophotonics: From fundamentals to applications. Nanotechnology 2019, 30, 204001. [Google Scholar] [CrossRef]
- Christopoulos, T.; Tsilipakos, O.; Sinatkas, G.; Kriezis, E.E. On the calculation of the quality factor in contemporary photonic resonant structures. Opt. Express 2019, 27, 14505–14522. [Google Scholar] [CrossRef]
- Pu, M.; Hu, C.; Huang, C.; Wang, C.; Zhao, Z.; Wang, Y.; Luo, X. Investigation of Fano resonance in planar metamaterial with perturbed periodicity. Opt. Express 2013, 21, 992. [Google Scholar] [CrossRef]
- Jenkins, S.D.; Ruostekoski, J.; Papasimakis, N.; Savo, S.; Zheludev, N.I. Many-Body Subradiant Excitations in Metamaterial Arrays: Experiment and Theory. Phys. Rev. Lett. 2017, 119, 053901. [Google Scholar] [CrossRef]
- Tsilipakos, O.; Maiolo, L.; Maita, F.; Beccherelli, R.; Kafesaki, M.; Kriezis, E.E.; Yioultsis, T.V.; Zografopoulos, D.C. Experimental demonstration of ultrathin broken-symmetry metasurfaces with controllably sharp resonant response. Appl. Phys. Lett. 2021, 119, 231601. [Google Scholar] [CrossRef]
- Zografopoulos, D.C.; Tsilipakos, O. Recent advances in strongly resonant and gradient all-dielectric metasurfaces. Mater. Adv. 2023, 4, 11–34. [Google Scholar] [CrossRef]
- Shi, L.; Evlyukhin, A.B.; Reinhardt, C.; Babushkin, I.; Zenin, V.A.; Burger, S.; Malureanu, R.; Chichkov, B.N.; Morgner, U.; Kovacev, M. Progressive Self-Boosting Anapole-Enhanced Deep-Ultraviolet Third Harmonic During Few-Cycle Laser Radiation. ACS Photonics 2020, 7, 1655–1661. [Google Scholar] [CrossRef]
- Timofeeva, M.; Lang, L.; Timpu, F.; Renaut, C.; Bouravleuv, A.; Shtrom, I.; Cirlin, G.; Grange, R. Anapoles in Free-Standing III–V Nanodisks Enhancing Second-Harmonic Generation. Nano Lett. 2018, 18, 3695–3702. [Google Scholar] [CrossRef]
- Ahmadivand, A.; Semmlinger, M.; Dong, L.; Gerislioglu, B.; Nordlander, P.; Halas, N.J. Toroidal Dipole-Enhanced Third Harmonic Generation of Deep Ultraviolet Light Using Plasmonic Meta-atoms. Nano Lett. 2018, 19, 605–611. [Google Scholar] [CrossRef]
- Totero Gongora, J.S.; Miroshnichenko, A.E.; Kivshar, Y.S.; Fratalocchi, A. Anapole nanolasers for mode-locking and ultrafast pulse generation. Nat. Commun. 2017, 8, 15535. [Google Scholar] [CrossRef]
- Ahmadivand, A.; Gerislioglu, B.; Manickam, P.; Kaushik, A.; Bhansali, S.; Nair, M.; Pala, N. Rapid Detection of Infectious Envelope Proteins by Magnetoplasmonic Toroidal Metasensors. ACS Sensors 2017, 2, 1359–1368. [Google Scholar] [CrossRef]
- Ahmadivand, A.; Gerislioglu, B.; Ramezani, Z.; Ghoreishi, S.A. Attomolar Detection of Low-Molecular Weight Antibiotics Using Midinfrared-Resonant Toroidal Plasmonic Metachip Technology. Phys. Rev. Appl. 2019, 12, 034018. [Google Scholar] [CrossRef]
- Gupta, M.; Singh, R. Toroidal metasurfaces in a 2D flatland. Rev. Phys. 2020, 5, 100040. [Google Scholar] [CrossRef]
- Takou, E.; Tasolamprou, A.C.; Tsilipakos, O.; Economou, E.N. Dynamic anapole in metasurfaces made of sculptured cylinders. Phys. Rev. B 2019, 100, 085431. [Google Scholar] [CrossRef]
- Takou, E.; Tasolamprou, A.C.; Tsilipakos, O.; Viskadourakis, Z.; Kafesaki, M.; Kenanakis, G.; Economou, E.N. Anapole Tolerance to Dissipation Losses in Thermally Tunable Water-Based Metasurfaces. Phys. Rev. Appl. 2021, 15, 014043. [Google Scholar] [CrossRef]
- Viskadourakis, Z.; Tamiolakis, E.; Tsilipakos, O.; Tasolamprou, A.C.; Economou, E.N.; Kenanakis, G. 3D-Printed Metasurface Units for Potential Energy Harvesting Applications at the 2.4 GHz Frequency Band. Crystals 2021, 11, 1089. [Google Scholar] [CrossRef]
- Tasolamprou, A.C.; Mentzaki, D.; Viskadourakis, Z.; Economou, E.N.; Kafesaki, M.; Kenanakis, G. Flexible 3D Printed Conductive Metamaterial Units for Electromagnetic Applications in Microwaves. Materials 2020, 13, 3879. [Google Scholar] [CrossRef]
- Ishikawa, A.; Kato, T.; Takeyasu, N.; Fujimori, K.; Tsuruta, K. Selective electroless plating of 3D-printed plastic structures for three-dimensional microwave metamaterials. Appl. Phys. Lett. 2017, 111, 183102. [Google Scholar] [CrossRef]
- Taghizadeh, A.; Mørk, J.; Chung, I.S. Ultracompact resonator with high quality-factor based on a hybrid grating structure. Opt. Express 2015, 23, 14913. [Google Scholar] [CrossRef]
- Tsilipakos, O.; Zhang, L.; Kafesaki, M.; Soukoulis, C.M.; Koschny, T. Experimental Implementation of Achromatic Multiresonant Metasurface for Broadband Pulse Delay. ACS Photonics 2021, 8, 1649–1655. [Google Scholar] [CrossRef]
- Zografopoulos, D.C.; Algorri, J.F.; Ferraro, A.; García-Cámara, B.; Sánchez-Pena, J.M.; Beccherelli, R. Toroidal metasurface resonances in microwave waveguides. Sci. Rep. 2019, 9, 7544. [Google Scholar] [CrossRef] [PubMed]





| Central Gap (mm) | Resonant Frequency (GHz) | |
|---|---|---|
| 0.3 | 8.02 | 446 |
| 0.4 | 8.37 | 14,000 |
| 0.5 | 8.71 | 2,114 |
| 0.6 | 8.94 | 517 |
| 0.7 | 9.14 | 260 |
Disclaimer/Publisher’s Note: The statements, opinions and data contained in all publications are solely those of the individual author(s) and contributor(s) and not of MDPI and/or the editor(s). MDPI and/or the editor(s) disclaim responsibility for any injury to people or property resulting from any ideas, methods, instructions or products referred to in the content. |
© 2023 by the authors. Licensee MDPI, Basel, Switzerland. This article is an open access article distributed under the terms and conditions of the Creative Commons Attribution (CC BY) license (https://creativecommons.org/licenses/by/4.0/).
Share and Cite
Tsilipakos, O.; Viskadourakis, Z.; Tasolamprou, A.C.; Zografopoulos, D.C.; Kafesaki, M.; Kenanakis, G.; Economou, E.N. Meta-Atoms with Toroidal Topology for Strongly Resonant Responses. Micromachines 2023, 14, 468. https://doi.org/10.3390/mi14020468
Tsilipakos O, Viskadourakis Z, Tasolamprou AC, Zografopoulos DC, Kafesaki M, Kenanakis G, Economou EN. Meta-Atoms with Toroidal Topology for Strongly Resonant Responses. Micromachines. 2023; 14(2):468. https://doi.org/10.3390/mi14020468
Chicago/Turabian StyleTsilipakos, Odysseas, Zacharias Viskadourakis, Anna C. Tasolamprou, Dimitrios C. Zografopoulos, Maria Kafesaki, George Kenanakis, and Eleftherios N. Economou. 2023. "Meta-Atoms with Toroidal Topology for Strongly Resonant Responses" Micromachines 14, no. 2: 468. https://doi.org/10.3390/mi14020468
APA StyleTsilipakos, O., Viskadourakis, Z., Tasolamprou, A. C., Zografopoulos, D. C., Kafesaki, M., Kenanakis, G., & Economou, E. N. (2023). Meta-Atoms with Toroidal Topology for Strongly Resonant Responses. Micromachines, 14(2), 468. https://doi.org/10.3390/mi14020468

