Visible-Range Multiple-Channel Metal-Shell Rod-Shaped Narrowband Plasmonic Metamaterial Absorber for Refractive Index and Temperature Sensing
Abstract
1. Introduction
2. Simulation Method and Fundamental
3. Results and Discussion
3.1. Comparison of the Optical Performance of Case 1 and Case 2
3.2. Structural Parameter Optimization of Case 2 PMA
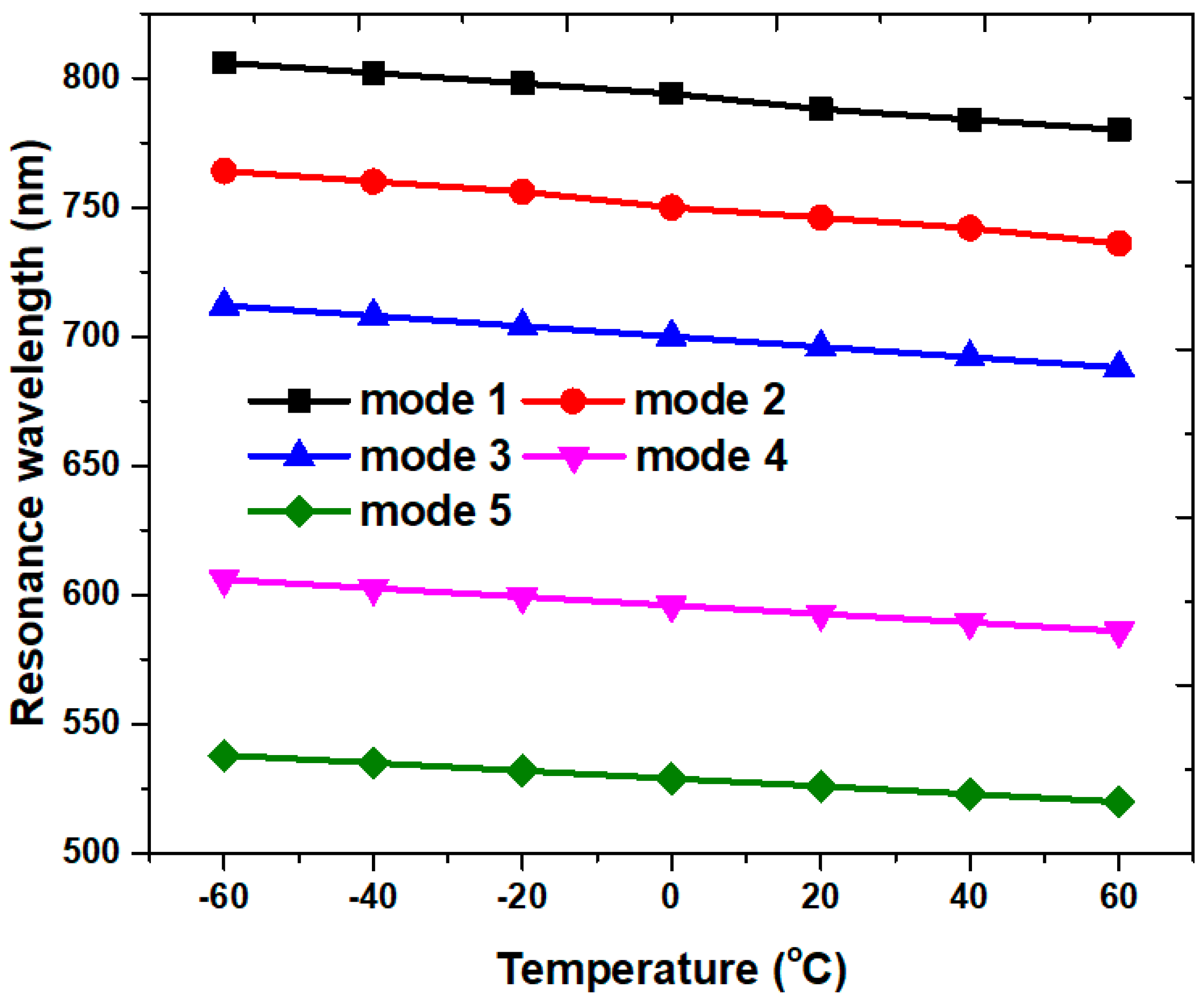
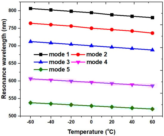
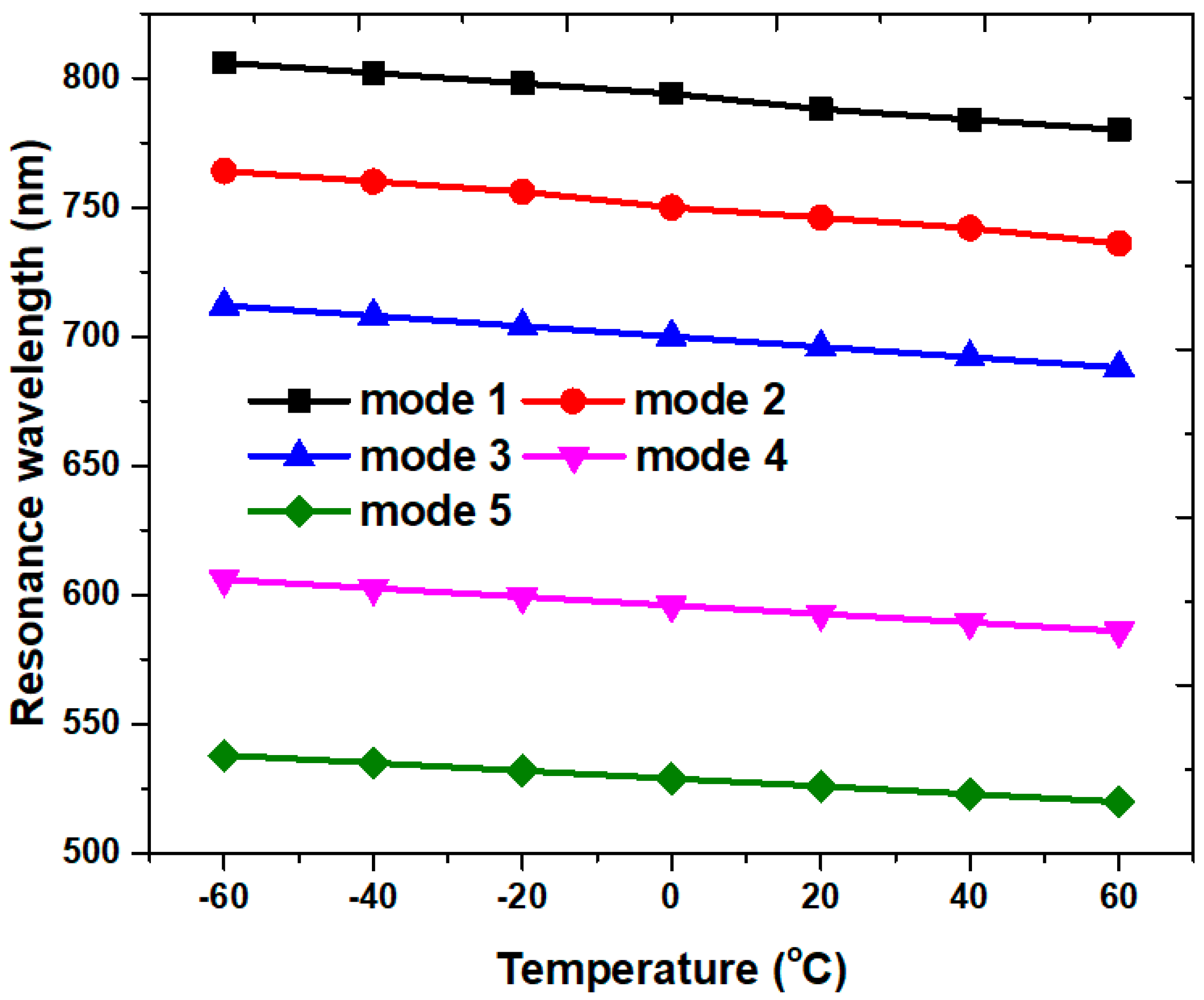
3.3. Refractive Index and Temperature Sensor Performance of Case 2 PMA
4. Conclusions
Author Contributions
Funding
Data Availability Statement
Acknowledgments
Conflicts of Interest
References
- Tong, H.; Xu, Y.; Su, Y.; Wang, X. Theoretical study for fabricating elliptical subwavelength nanohole arrays by higher-order waveguide-mode interference. Results Phys. 2019, 14, 102460. [Google Scholar] [CrossRef]
- Zhang, D.; Wang, H. Self-Assembled Metal–Dielectric Hybrid Metamaterials in Vertically Aligned Nanocomposite Form with Tailorable Optical Properties and Coupled Multifunctionalities. Adv. Photonic Res. 2021, 2, 2000174. [Google Scholar] [CrossRef]
- Kim, K.H.; No, Y.S. Subwavelength core/shell cylindrical nanostructures for novel plasmonic and metamaterial devices. Nano Converg. 2017, 4, 32. [Google Scholar] [CrossRef]
- Wang, P.; Krasavin, A.V.; Liu, L.; Jiang, Y.; Li, Z.; Guo, X.; Tong, L.; Zayats, A.V. Molecular Plasmonics with Metamaterials. Chem. Rev. 2022, 122, 15031–15081. [Google Scholar] [CrossRef]
- Wang, C.; Zhang, W.; Zhao, Z.; Wang, Y.; Gao, P.; Luo, Y.; Luo, X. Plasmonic Structures, Materials and Lenses for Optical Lithography beyond the Diffraction Limit: A Review. Micromachines 2016, 7, 118. [Google Scholar] [CrossRef]
- Manzoor, Z. Aperiodic hyperbolic metamaterial superlens with random distribution. Optik 2021, 242, 167290. [Google Scholar] [CrossRef]
- Ali, A.; Mitra, A.; Aïssa, B. Metamaterials and Metasurfaces: A Review from the Perspectives of Materials, Mechanisms and Advanced Metadevices. Nanomaterials 2022, 12, 1027. [Google Scholar] [CrossRef] [PubMed]
- Janneh, M.; De Marcellis, A.; Palange, E.; Tenggara, A.T.; Byun, D. Design of a metasurface-based dual-band Terahertz perfect absorber with very high Q-factors for sensing applications. Opt. Commun. 2018, 416, 152–159. [Google Scholar] [CrossRef]
- Hong, W.; Lan, J.; Li, H.; Yan, Z.; Li, Y.; Jiang, H.; Chen, M. Towards an understanding of the localized surface plasmon resonance decay pathways in bimetallic core–shell nanoparticles. Opt. Laser Technol. 2022, 146, 107565. [Google Scholar] [CrossRef]
- Kravets, V.G.; Kabashin, A.V.; Barnes, W.L.; Grigorenko, A.N. Plasmonic Surface Lattice Resonances: A Review of Properties and Applications. Chem. Rev. 2018, 118, 5912–5951. [Google Scholar] [CrossRef]
- Chou Chau, Y.-F.; Chou Chao, C.-T.; Huang, H.J.; Kooh, M.R.R.; Kumara, N.T.R.N.; Lim, C.M.; Chiang, H.-P. Ultrawide Bandgap and High Sensitivity of a Plasmonic Metal-Insulator-Metal Waveguide Filter with Cavity and Baffles. Nanomaterials 2020, 10, 2030. [Google Scholar] [CrossRef]
- Wang, Y.; Chen, K.; Lin, Y.-S.; Yang, B.-R. Plasmonic metasurface with quadrilateral truncated cones for visible perfect absorber. Phys. E Low-Dimens. Syst. Nanostruct. 2022, 139, 115140. [Google Scholar] [CrossRef]
- Cao, C.; Cheng, Y. Quad-Band Plasmonic Perfect Absorber for Visible Light with a Patchwork of Silicon Nanorod Resonators. Materials 2018, 11, 1954. [Google Scholar] [CrossRef]
- Ogawa, S.; Kimata, M. Metal-Insulator-Metal-Based Plasmonic Metamaterial Absorbers at Visible and Infrared Wavelengths: A Review. Materials 2018, 11, 458. [Google Scholar] [CrossRef] [PubMed]
- Mann, S.A.; Garnett, E.C. Resonant Nanophotonic Spectrum Splitting for Ultrathin Multijunction Solar Cells. ACS Photonics 2015, 2, 816–821. [Google Scholar] [CrossRef]
- Ni, X.; Wong, Z.J.; Mrejen, M.; Wang, Y.; Zhang, X. An ultrathin invisibility skin cloak for visible light. Science 2015, 349, 1310–1314. [Google Scholar] [CrossRef]
- Qian, Z.; Kang, S.; Rajaram, V.; Cassella, C.; McGruer, N.E.; Rinaldi, M. Zero-power infrared digitizers based on plasmonically enhanced micromechanical photoswitches. Nat. Nanotechnol. 2017, 12, 969–973. [Google Scholar] [CrossRef] [PubMed]
- Liu, N.; Mesch, M.; Weiss, T.; Hentschel, M.; Giessen, H. Infrared Perfect Absorber and Its Application As Plasmonic Sensor. Nano Lett. 2010, 10, 2342–2348. [Google Scholar] [CrossRef] [PubMed]
- Landy, N.I.; Sajuyigbe, S.; Mock, J.J.; Smith, D.R.; Padilla, W. Perfect Metamaterial Absorber. Phys. Rev. Lett. 2008, 100, 207402. [Google Scholar] [CrossRef] [PubMed]
- Aparna, U.; Kumar, M.S. Compact and Efficient Ring Resonator–Based Plasmonic Lens with Multiple Functionalities. Plasmonics 2023, 18, 349–359. [Google Scholar] [CrossRef]
- Sinha, R.K. Surface-enhanced Raman Scattering and Localized Surface Plasmon Resonance Detection of Aldehydes Using 4-ATP Functionalized Ag Nanorods. Plasmonics 2023, 18, 241–253. [Google Scholar] [CrossRef]
- An, G.; Li, S.; Qin, W.; Zhang, W.; Fan, Z.; Bao, Y. High-Sensitivity Refractive Index Sensor Based on D-Shaped Photonic Crystal Fiber with Rectangular Lattice and Nanoscale Gold Film. Plasmonics 2014, 9, 1355–1360. [Google Scholar] [CrossRef]
- Abdulhalim, I. Coupling configurations between extended surface electromagnetic waves and localized surface plasmons for ultrahigh field enhancement. Nanophotonics 2018, 7, 1891–1916. [Google Scholar] [CrossRef]
- Moeinimaleki, B.; Kaatuzian, H.; Mallah Livani, A. Design and Simulation of a Resonance-Based Plasmonic Sensor for Mass Density Sensing of Methane and Carbon Dioxide Gases. Plasmonics 2023, 18, 225–240. [Google Scholar] [CrossRef]
- Yadav, G.; Paliwal, A.; Gupta, V.; Tomar, M. Optical Confinement Study of Laser MBE Grown InGaN/GaN Quantum Well Structure using Surface Plasmon Resonance Technique. Plasmonics 2022, 17, 869–880. [Google Scholar] [CrossRef]
- Lu, X.; Zhang, T.; Wan, R.; Xu, Y.; Zhao, C.; Guo, S. Numerical investigation of narrowband infrared absorber and sensor based on dielectric-metal metasurface. Opt. Express 2018, 26, 10179–10187. [Google Scholar] [CrossRef]
- Zhang, X.; Li, Q. Forced Damped Harmonic Oscillator Model of the Dipole Mode of Localized Surface Plasmon Resonance. Plasmonics 2021, 16, 1525–1536. [Google Scholar] [CrossRef]
- Cetin, A.E.; Dršata, M.; Ekşioğlu, Y.; Petráček, J. Extraordinary Transmission Characteristics of Subwavelength Nanoholes with Rectangular Lattice. Plasmonics 2017, 12, 655–661. [Google Scholar] [CrossRef]
- Shen, Y.; Zhang, J.; Pang, Y.; Zheng, L.; Wang, J.; Ma, H.; Qu, S. Three-Dimensional Resistive Metamaterial Absorber Loaded with Metallic Resonators for the Enhancement of Lower-Frequency Absorption. Materials 2018, 11, 210. [Google Scholar] [CrossRef]
- Gong, C.; Zhan, M.; Yang, J.; Wang, Z.; Liu, H.; Zhao, Y.; Liu, W. Broadband terahertz metamaterial absorber based on sectional asymmetric structures. Sci. Rep. 2016, 6, 32466. [Google Scholar] [CrossRef]
- Ding, F.; Dai, J.; Chen, Y.; Zhu, J.; Jin, Y.; Bozhevolnyi, S.I. Broadband near-infrared metamaterial absorbers utilizing highly lossy metals. Sci. Rep. 2016, 6, 39445. [Google Scholar] [CrossRef]
- Liang, Y.; Koshelev, K.; Zhang, F.; Lin, H.; Lin, S.; Wu, J.; Jia, B.; Kivshar, Y. Bound States in the Continuum in Anisotropic Plasmonic Metasurfaces. Nano Lett. 2020, 20, 6351–6356. [Google Scholar] [CrossRef] [PubMed]
- Wu, D.; Li, R.; Liu, Y.; Yu, Z.; Yu, L.; Chen, L.; Liu, C.; Ma, R.; Ye, H. Ultra-narrow Band Perfect Absorber and Its Application as Plasmonic Sensor in the Visible Region. Nanoscale Res. Lett. 2017, 12, 427. [Google Scholar] [CrossRef] [PubMed]
- Callewaert, F.; Chen, S.; Butun, S.; Aydin, K. Narrow band absorber based on a dielectric nanodisk array on silver film. J. Opt. 2016, 18, 075006. [Google Scholar] [CrossRef]
- Liang, C.; Yi, Z.; Chen, X.; Tang, Y.; Yi, Y.; Zhou, Z.; Wu, X.; Huang, Z.; Yi, Y.; Zhang, G. Dual-Band Infrared Perfect Absorber Based on a Ag-Dielectric-Ag Multilayer Films with Nanoring Grooves Arrays. Plasmonics 2020, 15, 93–100. [Google Scholar] [CrossRef]
- Chen, X.; Su, W.; Geng, Z.; Meng, Z.; Wu, H. A multi-band terahertz plasmonic absorber based on fan-like metasurface. Optik 2022, 267, 169701. [Google Scholar] [CrossRef]
- Askari, M. A near infrared plasmonic perfect absorber as a sensor for hemoglobin concentration detection. Opt. Quantum Electron. 2021, 53, 67. [Google Scholar] [CrossRef]
- Cui, Y.; He, Y.; Jin, Y.; Ding, F.; Yang, L.; Ye, Y.; Zhong, S.; Lin, Y.; He, S. Plasmonic and metamaterial structures as electromagnetic absorbers. Laser Photonics Rev. 2014, 8, 495–520. [Google Scholar] [CrossRef]
- Yao, G.; Ling, F.; Yue, J.; Luo, C.; Ji, J.; Yao, J. Dual-band tunable perfect metamaterial absorber in the THz range. Opt. Express 2016, 24, 1518–1527. [Google Scholar] [CrossRef]
- Gao, H.; Zhou, D.; Cui, W.; Liu, Z.; Liu, Y.; Jing, Z.; Peng, W. Ultraviolet broadband plasmonic absorber with dual visible and near-infrared narrow bands. J. Opt. Soc. Am. A 2019, 36, 264–269. [Google Scholar] [CrossRef]
- Zhou, F.; Fu, Y.; Tan, R.; Zhou, J.; Chen, P. Broadband and wide-angle metamaterial absorber based on the hybrid of spoof surface plasmonic polariton structure and resistive metasurface. Opt. Express 2021, 29, 34735–34747. [Google Scholar] [CrossRef]
- Yong, Z.; Zhang, S.; Gong, C.; He, S. Narrow band perfect absorber for maximum localized magnetic and electric field enhancement and sensing applications. Sci. Rep. 2016, 6, 24063. [Google Scholar] [CrossRef]
- Salahandish, M.; Pourziad, A.; Ghahramani Bigbaghlou, R. Hybrid MIM plasmonic waveguide by triangular grooves. Optik 2023, 273, 170441. [Google Scholar] [CrossRef]
- Ignatov, A.I.; Merzlikin, A.M.; Baryshev, A.V.; Zablotskiy, A.V.; Kuzin, A.A. Excitation of channel plasmons in V-shaped grooves in the Kretschmann configuration. Opt. Commun. 2016, 359, 353–358. [Google Scholar] [CrossRef]
- Sun, B.; Ji, B.; Lang, P.; Qin, Y.; Lin, J. Local near-field optical response of gold nanohole excited by propagating plasmonic excitations. Opt. Commun. 2022, 505, 127498. [Google Scholar] [CrossRef]
- Su, J.; Mo, X.; Si, G.; Gu, Q.; Jiang, X.; Lv, J. High selectivity color filters based on bismuth enhanced plasmonic nanorods. Opt. Commun. 2021, 490, 126941. [Google Scholar] [CrossRef]
- Hsieh, L.-Z.; Chau, Y.-F.C.; Lim, C.M.; Lin, M.-H.; Huang, H.J.; Lin, C.-T.; Muhammad Nur Syafi’ie, M.I. Metal nano-particles sizing by thermal annealing for the enhancement of surface plasmon effects in thin-film solar cells application. Opt. Commun. 2016, 370, 85–90. [Google Scholar] [CrossRef]
- Golmohammadi, S.; Khalilou, Y.; Ahmadivand, A. Plasmonics: A route to design an optical demultiplexer based on gold nanorings arrays to operate at near infrared region (NIR). Opt. Commun. 2014, 321, 56–60. [Google Scholar] [CrossRef]
- Mandal, P. Visible frequency plasmonic perfect absorber made of a thin metal layer containing cylindrical grooves. Photonics Nanostruct. Fundam. Appl. 2018, 31, 66–70. [Google Scholar] [CrossRef]
- Tittl, A.; Mai, P.; Taubert, R.; Dregely, D.; Liu, N.; Giessen, H. Palladium-Based Plasmonic Perfect Absorber in the Visible Wavelength Range and Its Application to Hydrogen Sensing. Nano Lett. 2011, 11, 4366–4369. [Google Scholar] [CrossRef] [PubMed]
- Franken, C.A.A.; van Rees, A.; Winkler, L.V.; Fan, Y.; Geskus, D.; Dekker, R.; Geuzebroek, D.H.; Fallnich, C.; van der Slot, P.J.M.; Boller, K.J. Hybrid-integrated diode laser in the visible spectral range. Opt. Lett. 2021, 46, 4904–4907. [Google Scholar] [CrossRef] [PubMed]
- Celiksoy, S.; Ye, W.; Wandner, K.; Kaefer, K.; Sönnichsen, C. Intensity-Based Single Particle Plasmon Sensing. Nano Lett. 2021, 21, 2053–2058. [Google Scholar] [CrossRef]
- Cheng, Y.; Luo, H.; Chen, F.; Gong, R. Triple narrow-band plasmonic perfect absorber for refractive index sensing applications of optical frequency. OSA Contin. 2019, 2, 2113–2122. [Google Scholar] [CrossRef]
- Tognazzi, A.; Rocco, D.; Gandolfi, M.; Locatelli, A.; Carletti, L.; De Angelis, C. High Quality Factor Silicon Membrane Metasurface for Intensity-Based Refractive Index Sensing. Optics 2021, 2, 193–199. [Google Scholar] [CrossRef]
- Pitruzzello, G.; Krauss, T.F. Photonic crystal resonances for sensing and imaging. J. Opt. 2018, 20, 073004. [Google Scholar] [CrossRef]
- Cheng, J.; Zhang, H.; Xiong, Y.; Gao, L.; Wen, B.; Raza, H.; Wang, H.; Zheng, G.; Zhang, D.; Zhang, H. Construction of multiple interfaces and dielectric/magnetic heterostructures in electromagnetic wave absorbers with enhanced absorption performance: A review. J. Mater. 2021, 7, 1233–1263. [Google Scholar] [CrossRef]
- Zhang, F.; Jia, Z.; Wang, Z.; Zhang, C.; Wang, B.; Xu, B.; Liu, X.; Wu, G. Tailoring nanoparticles composites derived from metal-organic framework as electromagnetic wave absorber. Mater. Today Phys. 2021, 20, 100475. [Google Scholar] [CrossRef]
- Chau, Y.-F.; Tsai, D.P. Three-Dimensional analysis of silver nano-particles doping effects on super resolution near-field structure. Opt. Commun. 2007, 269, 389–394. [Google Scholar] [CrossRef]
- Chen, M.W.; Chau, Y.-F.; Tsai, D.P. Three-Dimensional Analysis of Scattering Field Interactions and Surface Plasmon Resonance in Coupled Silver Nanospheres. Plasmonics 2008, 3, 157. [Google Scholar] [CrossRef]
- Chou Chau, Y.-F.; Lim, C.M.; Chiang, C.-Y.; Voo, N.Y.; Idris, M.; Syafi’ie, N.; Chai, S.U. Tunable silver-shell dielectric core nano-beads array for thin-film solar cell application. J. Nanopart. Res. 2016, 18, 1–13. [Google Scholar] [CrossRef]
- Gharbi, T.; Barchiesi, D.; Kessentini, S.; Maalej, R. Fitting optical properties of metals by Drude-Lorentz and partial-fraction models in the [0.5;6] eV range. Opt. Mat. Express 2020, 10, 1129–1162. [Google Scholar] [CrossRef]
- Chau, Y.-F.C.; Chao, C.T.C.; Huang, H.J.; Wang, Y.-C.; Chiang, H.-P.; Idris, M.N.S.i.M.; Masri, Z.; Lim, C.M. Strong and tunable plasmonic field coupling and enhancement generating from the protruded metal nanorods and dielectric cores. Results Phys. 2019, 13, 102290. [Google Scholar] [CrossRef]
- Sagor, R.H.; Hassan, M.F.; Yaseer, A.A.; Surid, E.; Ahmed, M.I. Highly sensitive refractive index sensor optimized for blood group sensing utilizing the Fano resonance. Appl. Nanosci. 2021, 11, 521–534. [Google Scholar] [CrossRef]
- Song, Y.; Sun, M.; Wu, H.; Zhao, W.; Wang, Q. Temperature Sensor Based on Surface Plasmon Resonance with TiO(2)-Au-TiO(2) Triple Structure. Materials 2022, 15, 7766. [Google Scholar] [CrossRef] [PubMed]
- Chau, Y.F.C. Mid-infrared sensing properties of a plasmonic metal-insulator-metal waveguide with a single stub including defects. J. Phys. D: Appl. Phys. 2020, 53, 115401. [Google Scholar] [CrossRef]
- Ben Salah, H.; Hocini, A.; Bahri, H. Design and analysis of a mid-infrared ultra-high sensitive sensor based on metal-insulator-metal structure and its application for temperature and detection of glucose. Prog. Electromagn. Res. M 2022, 112, 81–91. [Google Scholar] [CrossRef]
- Chou Chau, Y.F.; Jiang, J.C.; Chou Chao, C.T.; Chiang, H.P.; Lim, C.M. Manipulating near field enhancement and optical spectrum in a pair-array of the cavity resonance based plasmonic nanoantennas. J. Phys. D Appl. Phys. 2016, 49, 475102. [Google Scholar] [CrossRef]
- Yu, J.; Zhu, J.; Ye, S.; Wang, X. Ultra-wide sensing range plasmonic refractive index sensor based on a two-dimensional circular-hole grating engraved on a gold film. Results Phys. 2021, 26, 104396. [Google Scholar] [CrossRef]
- Zhang, G.; Wang, D. Fabrication of Heterogeneous Binary Arrays of Nanoparticles via Colloidal Lithography. J. Am. Chem. Soc. 2008, 130, 5616–5617. [Google Scholar] [CrossRef]
- Ai, B.; Yu, Y.; Möhwald, H.; Wang, L.; Zhang, G. Resonant Optical Transmission through Topologically Continuous Films. ACS Nano 2014, 8, 1566–1575. [Google Scholar] [CrossRef]
- Shao, L.; Zheng, J. Fabrication of plasmonic nanostructures by hole-mask colloidal lithography: Recent development. Appl. Mater. Today 2019, 15, 6–17. [Google Scholar] [CrossRef]
- Fredriksson, H.; Alaverdyan, Y.; Dmitriev, A.; Langhammer, C.; Sutherland, D.S.; Zäch, M.; Kasemo, B. Hole–Mask Colloidal Lithography. Adv. Mater. (Deerfield Beach Fla.) 2007, 19, 4297–4302. [Google Scholar] [CrossRef]
- Zhang, G.; Wang, D. Colloidal Lithography—The Art of Nanochemical Patterning. Chem. Asian J. 2009, 4, 236–245. [Google Scholar] [CrossRef]
- Chau, Y.; Yeh, H.; Tsai, D.P. A New Type of Optical Antenna: Plasmonics Nanoshell Bowtie Antenna with Dielectric Hole. J. Electromagn. Waves Appl. 2010, 24, 1621–1632. [Google Scholar] [CrossRef]
- Chau, Y.-F.; Yeh, H.-H.; Tsai, D.P. Surface plasmon resonances effects on different patterns of solid-silver and silver-shell nanocylindrical pairs. J. Electromagn. Waves Appl. 2010, 24, 1005–1014. [Google Scholar] [CrossRef]
- Huang, C.-p.; Yin, X.-g.; Huang, H.; Zhu, Y.-y. Study of plasmon resonance in a gold nanorod with an LC circuit model. Opt. Express 2009, 17, 6407–6413. [Google Scholar] [CrossRef]
- Ren, Y.; Zhang, J.; Gao, X.; Zheng, X.; Zhang, L.P.; Cui, T.J. Miniaturized Spoof Plasmonic Antennas with Good Impedance Matching. Nanomaterials 2023, 13, 136. [Google Scholar] [CrossRef]
- Mahmoud, M.A.; O’Neil, D.; El-Sayed, M.A. Hollow and Solid Metallic Nanoparticles in Sensing and in Nanocatalysis. Chem. Mater. 2014, 26, 44–58. [Google Scholar] [CrossRef]
- Zhu, D.; Bosman, M.; Yang, J.K.W. A circuit model for plasmonic resonators. Opt. Express 2014, 22, 9809–9819. [Google Scholar] [CrossRef] [PubMed]
- Bitton, O.; Gupta, S.N.; Haran, G. Quantum dot plasmonics: From weak to strong coupling. Nanophotonics 2019, 8, 559–575. [Google Scholar] [CrossRef]
- Xiong, X.; Jiang, S.C.; Hu, Y.H.; Peng, R.W.; Wang, M. Structured metal film as a perfect absorber. Adv. Mater. 2013, 25, 3994–4000. [Google Scholar] [CrossRef] [PubMed]
- Cheng, Y.; Zhang, H.; Mao, X.S.; Gong, R. Dual-band plasmonic perfect absorber based on all-metal nanostructure for refractive index sensing application. Mater. Lett. 2018, 219, 123–126. [Google Scholar] [CrossRef]
- Liu, C.; Wang, F.; Lv, J.; Sun, T.; Liu, Q.; Fu, C.; Mu, H.; Chu, P.K. A highly temperature-sensitive photonic crystal fiber based on surface plasmon resonance. Opt. Commun. 2016, 359, 378–382. [Google Scholar] [CrossRef]
- Chen, F.; Zhang, H.; Sun, L.; Li, J.; Yu, C. Temperature tunable Fano resonance based on ring resonator side coupled with a MIM waveguide. Opt. Laser Technol. 2019, 116, 293–299. [Google Scholar] [CrossRef]
- Liu, Q.; Li, S.; Gao, X. Highly sensitive plasmonics temperature sensor based on photonic crystal fiber with a liquid core. Opt. Commun. 2018, 427, 622–627. [Google Scholar] [CrossRef]
- Al-mahmod, M.J.; Hyder, R.; Islam, M.Z. Numerical studies on a plasmonic temperature nanosensor based on a metal-insulator-metal ring resonator structure for optical integrated circuit applications. Photonics Nanostruct. Fundam. Appl. 2017, 25, 52–57. [Google Scholar] [CrossRef]
- Zhu, J.; Lou, J. Ultrasensitive and Multifunction Plasmonic Temperature Sensor with Ethanol-Sealed Asymmetric Ellipse Resonators. Molecules 2018, 23, 2700. [Google Scholar] [CrossRef]
- Danlard, I.; Mensah, I.O.; Akowuah, E.K. Design and numerical analysis of a fractal cladding PCF-based plasmonic sensor for refractive index, temperature, and magnetic field. Optik 2022, 258, 168893. [Google Scholar] [CrossRef]
- Osifeso, S.; Chu, S.; Prasad, A.; Nakkeeran, K. Surface Plasmon Resonance-Based Temperature Sensor with Outer Surface Metal Coating on Multi-Core Photonic Crystal Fibre. Surfaces 2020, 3, 337–351. [Google Scholar] [CrossRef]
- Zhang, Y.; Liu, M.; Zhang, Y.; Liu, Z.; Yang, X.; Zhang, J.; Yang, J.; Yuan, L. Simultaneous measurement of temperature and refractive index based on a hybrid surface plasmon resonance multimode interference fiber sensor. Appl. Opt. 2020, 59, 1225–1229. [Google Scholar] [CrossRef]
- Rakhshani, M.R.; Mansouri-Birjandi, M.A. High sensitivity plasmonic refractive index sensing and its application for human blood group identification. Sens. Actuators B Chem. 2017, 249, 168–176. [Google Scholar] [CrossRef]
- Kriegner, D.; Panse, C.; Mandl, B.; Dick, K.A.; Keplinger, M.; Persson, J.M.; Caroff, P.; Ercolani, D.; Sorba, L.; Bechstedt, F.; et al. Unit Cell Structure of Crystal Polytypes in InAs and InSb Nanowires. Nano Lett. 2011, 11, 1483–1489. [Google Scholar] [CrossRef] [PubMed]
- Gandolfi, M.; Peli, S.; Diego, M.; Danesi, S.; Giannetti, C.; Alessandri, I.; Zannier, V.; Demontis, V.; Rocci, M.; Beltram, F.; et al. Ultrafast Photoacoustic Nanometrology of InAs Nanowires Mechanical Properties. J. Phys. Chem. C 2022, 126, 6361–6372. [Google Scholar] [CrossRef]
- Zhao, L.; Liu, H.; He, Z.; Dong, S. Design of multi-narrowband metamaterial perfect absorbers in near-infrared band based on resonators asymmetric method and modified resonators stacked method. Opt. Commun. 2018, 420, 95–103. [Google Scholar] [CrossRef]












| Name | Formula | Unit |
|---|---|---|
| A (absorptance) [11] | A(ω) = 1 − R(ω) − T(ω) | |
| S (sensitivity) [65] | S = Δλ/Δn | nm/RIU |
| FOM (figure of merit) [66] | FOM = S/FWHM | 1/RIU |
| Q-factor (quality factor) [67] | Q = λres/FWHM | |
| ΔD (dipping strength) [68] | ΔD = (Amax − Amin) × 100% | |
| ST (temperature sensitivity) | ST = Δλ/ΔT | nm/°C |
| h (nm) | Px (nm) | Py (nm) | t_Ag (nm) | r1 (nm) | r2 (nm) | θ(°) | φ(°) |
|---|---|---|---|---|---|---|---|
| 1000 | 1000 | Px/(3)1/2 | 30 | 90 | r1 − t_Ag | 0 | 0 |
| Case 1 | Case 2 | |||||
|---|---|---|---|---|---|---|
| mode | 1 | 2 | 3 | 1 | 2 | 3 |
| λres (nm) | 596 | 562 | 524 | 604 | 570 | 532 |
| FWHM (nm) | 5 | 4 | 4 | 5 | 4 | 3 |
| A (%) | 64.10 | 54.7 | 57.05 | 91.24 | 73.03 | 53.61 |
| ∆D (%) | 56.90 | 45.40 | 47.20 | 81.22 | 59.20 | 39.55 |
| Q factor | 120.40 | 140.50 | 131.00 | 120.80 | 142.50 | 177.33 |
| Case 1 | Case 2 | |||||
|---|---|---|---|---|---|---|
| mode | 1 | 2 | 3 | 1 | 2 | 3 |
| λres (nm) | 586 | 554 | 522 | 594 | 562 | 536 |
| FWHM (nm) | 5 | 4 | 8 | 5 | 4 | 8 |
| A (%) | 50.06 | 54.7 | 50.06 | 90.334 | 81.092 | 37.233 |
| ∆D (%) | 48.41 | 65.94 | 49.05 | 89.296 | 80.93 | 35.66 |
| Q factor | 117.20 | 138.50 | 65.25 | 118.80 | 140.50 | 67.00 |
| Reference/Working Wavelength (nm) | Resonator Structure | Mode Number | RI Sensitivity S (nm/RIU) | Max. FOM (RIU−1) | Temperature Sensitivity ST (nm/°C) |
|---|---|---|---|---|---|
| [33]/740–785 | Au/dielectric/Au layers | 1 | 425 | 233.5 | NA |
| [35]/900–1500 | Ag/dielectric/Ag layers | 2 | 630, 465 | NA | NA |
| [34]/400–800 | dielectric nanodisks | 2 | NA | NA | NA |
| [53]/600–1500 | vertical-square-split-ring | 3 | 1194,816,473 | 16.17 | NA |
| [94]/900–1350 | dielectric–dielectric–metal | 3 | 474,463,255, 770 | 338.6 | NA |
| This work | hexagonal Ag-shell nanorods | 5 | 600, 600, 600, 400, 350 | 120.0 | 0.22,0.22,0.22 0.17, 0.15 |
Disclaimer/Publisher’s Note: The statements, opinions and data contained in all publications are solely those of the individual author(s) and contributor(s) and not of MDPI and/or the editor(s). MDPI and/or the editor(s) disclaim responsibility for any injury to people or property resulting from any ideas, methods, instructions or products referred to in the content. |
© 2023 by the authors. Licensee MDPI, Basel, Switzerland. This article is an open access article distributed under the terms and conditions of the Creative Commons Attribution (CC BY) license (https://creativecommons.org/licenses/by/4.0/).
Share and Cite
Chao, C.-T.C.; Kooh, M.R.R.; Lim, C.M.; Thotagamuge, R.; Mahadi, A.H.; Chau, Y.-F.C. Visible-Range Multiple-Channel Metal-Shell Rod-Shaped Narrowband Plasmonic Metamaterial Absorber for Refractive Index and Temperature Sensing. Micromachines 2023, 14, 340. https://doi.org/10.3390/mi14020340
Chao C-TC, Kooh MRR, Lim CM, Thotagamuge R, Mahadi AH, Chau Y-FC. Visible-Range Multiple-Channel Metal-Shell Rod-Shaped Narrowband Plasmonic Metamaterial Absorber for Refractive Index and Temperature Sensing. Micromachines. 2023; 14(2):340. https://doi.org/10.3390/mi14020340
Chicago/Turabian StyleChao, Chung-Ting Chou, Muhammad Raziq Rahimi Kooh, Chee Ming Lim, Roshan Thotagamuge, Abdul Hanif Mahadi, and Yuan-Fong Chou Chau. 2023. "Visible-Range Multiple-Channel Metal-Shell Rod-Shaped Narrowband Plasmonic Metamaterial Absorber for Refractive Index and Temperature Sensing" Micromachines 14, no. 2: 340. https://doi.org/10.3390/mi14020340
APA StyleChao, C.-T. C., Kooh, M. R. R., Lim, C. M., Thotagamuge, R., Mahadi, A. H., & Chau, Y.-F. C. (2023). Visible-Range Multiple-Channel Metal-Shell Rod-Shaped Narrowband Plasmonic Metamaterial Absorber for Refractive Index and Temperature Sensing. Micromachines, 14(2), 340. https://doi.org/10.3390/mi14020340

