Eight-Element Dual-Band Multiple-Input Multiple-Output Mobile Phone Antenna for 5G and Wireless Local Area Network Applications
Abstract
:1. Introduction
2. Antenna Structure
3. Design Procedure and Analysis
3.1. Antenna Element Design
3.2. Design Procedure
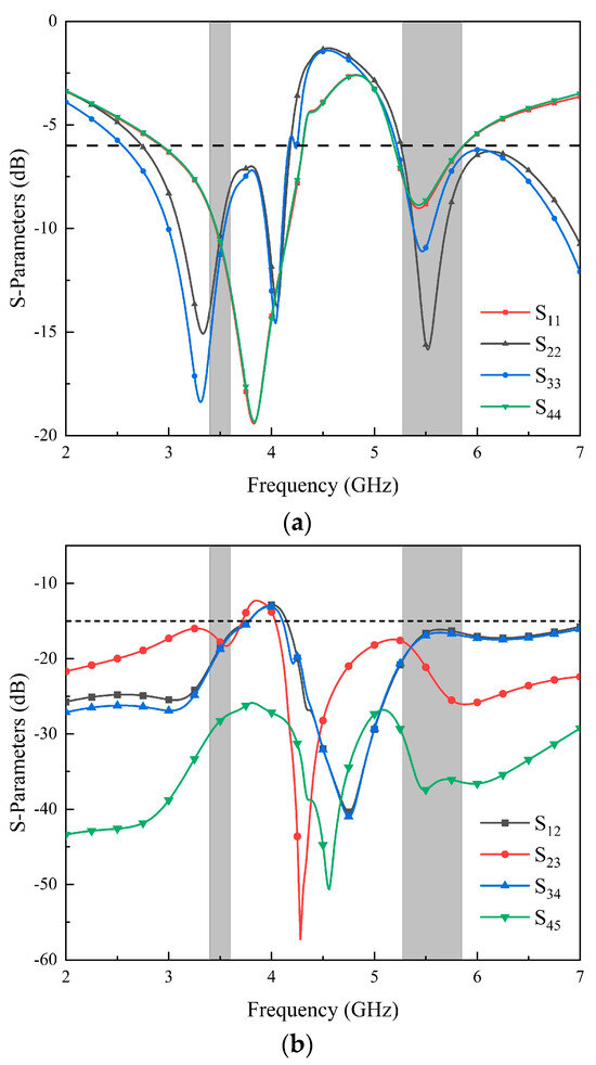
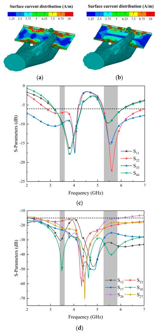
3.3. Parameter Analysis
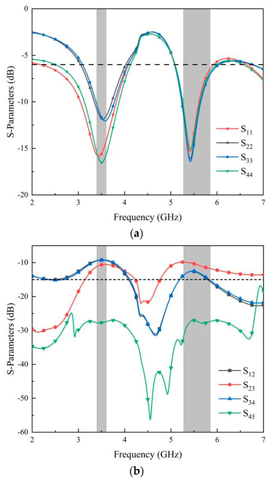
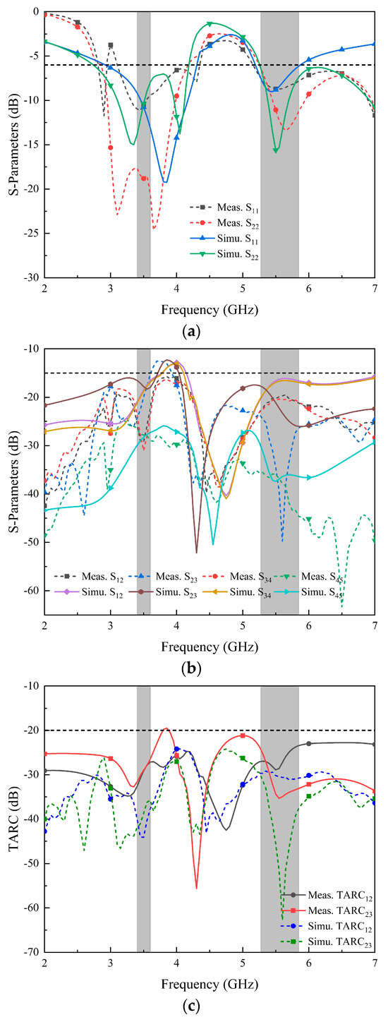
4. Results and Discussion
5. Conclusions
Author Contributions
Funding
Data Availability Statement
Conflicts of Interest
References
- Hussain, R.; Sharawi, M.S. 5G MIMO Antenna Designs for Base Station and User Equipment: Some Recent Developments and Trends. IEEE Antennas Propag. Mag. 2022, 64, 95–107. [Google Scholar] [CrossRef]
- Saily, M.; Estevan, C.B.; Gimenez, J.J.; Tesema, F.; Guo, W.; Gomez-Barquero, D.; Mi, D. 5G Radio Access Network Architecture for Terrestrial Broadcast Services. IEEE Trans. Broadcast. 2020, 66, 404–415. [Google Scholar] [CrossRef]
- Magray, M.I.; Karthikeya, G.S.; Koul, S.K. Co-design of Conformal 4G LTE and mm-Wave 5G Antennas for Smartphones. In Proceedings of the 2019 IEEE International Symposium on Antennas and Propagation and USNC-URSI Radio Science Meeting, Atlanta, GA, USA, 7–12 July 2019; pp. 701–702. [Google Scholar]
- Huang, D.; Du, Z. Eight-band Antenna with A Small Ground Clearance for LTE Metal-frame Mobile Phone Applications. IEEE Antennas Wirel. Propag. Lett. 2018, 17, 34–37. [Google Scholar] [CrossRef]
- Stanley, M.; Huang, Y.; Wang, H.; Zhou, H.; Tian, Z.; Xu, Q. A Novel Reconfigurable Metal Rim Integrated Open Slot Antenna for Octaband Smartphone Applications. IEEE Trans. Antennas Propag. 2017, 65, 3352–3363. [Google Scholar] [CrossRef]
- Dong, J.; Wang, S.; Mo, J. Design of a Twelve-Port MIMO Antenna System for Multi-Mode 4G/5G Smartphone Applications Based on Characteristic Mode Analysis. IEEE Access 2020, 8, 90751–90759. [Google Scholar] [CrossRef]
- Li, Y.; Sim, C.; Luo, Y.; Yang, G. High-Isolation 3.5 GHz Eight Antenna MIMO Array Using Balanced Open-Slot Antenna Element for 5G Smartphones. IEEE Trans. Antennas Propag. 2019, 67, 3820–3830. [Google Scholar] [CrossRef]
- Ren, A.; Liu, Y.; Yu, H.; Jia, Y.; Sim, C.; Xu, Y. A High-Isolation Building Block Using Stable Current Nulls for 5G Smartphone Applications. IEEE Access 2019, 7, 170419–170429. [Google Scholar] [CrossRef]
- Serghiou, D.; Khalily, M.; Singh, V.; Araghi, A.; Tafazolli, R. Sub-6 GHz Dual-Band 8 × 8 MIMO Antenna for 5G Smartphones. IEEE Antennas Wirel. Propag. Lett. 2020, 19, 1546–1550. [Google Scholar] [CrossRef]
- Cui, L.; Guo, J.; Liu, Y.; Sim, C. An 8-Element Dual-Band MIMO Antenna with Decoupling Stub for 5G Smartphone Applications. IEEE Antennas Wirel. Propag. Lett. 2019, 18, 2095–2099. [Google Scholar] [CrossRef]
- Ren, Z.; Zhao, A. Dual-Band MIMO Antenna with Compact Self-Decoupled Antenna Pairs for 5G Mobile Applications. IEEE Access 2019, 7, 82288–82296. [Google Scholar] [CrossRef]
- Hu, W.; Qian, L.; Gao, S.; Wen, L.H.; Luo, Q.; Xu, H.; Liu, X.; Liu, Y.; Wang, W. Dual-Band Eight-Element MIMO Array Using Multi-Slot Decoupling Technique for 5G Terminals. IEEE Access 2019, 7, 153910–153920. [Google Scholar] [CrossRef]
- Yang, W.J.; Pan, Y.M.; Zheng, S.Y. A Low-Profile Wideband Circularly Polarized Crossed-Dipole Antenna with Wide Axial-Ratio and Gain Beamwidths. IEEE Trans. Antennas Propag. 2018, 66, 3346–3353. [Google Scholar] [CrossRef]
- Sung, Y. Simple Slot Antenna with Polarization Diversity. IEEE Antennas Wirel. Propag. Lett. 2022, 21, 690–694. [Google Scholar] [CrossRef]
- Sun, L.; Li, Y.; Zhang, Z. Wideband Integrated Quad-Element MIMO Antennas Based on Complementary Antenna Pairs for 5G Smartphones. IEEE Trans. Antennas Propag. 2021, 69, 4466–4474. [Google Scholar] [CrossRef]
- Zhang, C.; Chen, Z.; Shi, X.; Yang, Q.; Dong, G.; Wei, X.; Liu, G. A Dual-Band Eight-Element MIMO Antenna Array for Future Ultrathin Mobile Terminals. Micromachines 2022, 13, 1267. [Google Scholar] [CrossRef] [PubMed]
- Wang, Y.; Du, Z. A Wideband Quad-Antenna System for Mobile Terminals. IEEE Antennas Wirel. Propag. Lett. 2014, 13, 1521–1524. [Google Scholar] [CrossRef]
- Guo, L.; Wang, Y.; Du, Z.; Gao, Y.; Shi, D. A Compact Uniplanar Printed Dual-Antenna Operating at the 2.4/5.2/5.8 GHz WLAN Bands for Laptop Computers. IEEE Antennas Wirel. Propag. Lett. 2014, 13, 229–232. [Google Scholar]
- Zhu, H.; Guan, X.; Ren, B.; Wang, C. Dual-band Eight-element MIMO Antenna Consisted of Tightly Arranged Hybrid Antenna Pairs for 5G Smartphone. Int. J. RF Microw. Comput. Aided Eng. 2021, 31, 22886. [Google Scholar] [CrossRef]
- Wong, K.L.; Lin, B.W.; Li, B.Y. Dual-band Dual Inverted-F Loop Antennas as A Compact Decoupled Building Block for Forming Eight 3.5/5.8-GHz MIMO Antennas in the Future Smartphone. Microw. Opt. Technol. Lett. 2017, 59, 2715–2721. [Google Scholar] [CrossRef]
- Guo, J.L.; Cui, L.; Li, C.G.; Sun, B.H. Side-Edge Frame Printed Eight-Port Dual-Band Antenna Array for 5G Smartphone Applications. IEEE Trans. Antennas Propag. 2018, 66, 7412–7417. [Google Scholar] [CrossRef]
- Tian, Z.; Chen, R.; Li, C. Dual-Band Inverted F-shaped Antenna Array for Sub-6 GHz Smartphones. In Proceedings of the 2019 IEEE 89th Vehicular Technology Conference (VTC2019-Spring), Kuala Lumpur, Malaysia, 28 April–1 May 2019; pp. 1–5. [Google Scholar]
- Huang, J.; Cai, J.; Shi, X.; Chen, B.; Liu, G. Compact Dual-band Eight-element MIMO Antenna for 5G Operations in Mobile Handsets. Int. J. RF Microw. Comput. Aided Eng. 2022, 32, 23544. [Google Scholar] [CrossRef]
- Abdullah, M.; Kiani, S.H.; Iqbal, A. Eight Element Multiple-Input Multiple-Output (MIMO) Antenna for 5G Mobile Applications. IEEE Access 2019, 7, 134488–134495. [Google Scholar] [CrossRef]
- Zahid, M.N.; Gaofeng, Z.; Kiani, S.H.; Rafique, U.; Abbas, S.M.; Alibakhshikenari, M.; Dalarsson, M. H-shaped Eight-Element Dual-Band MIMO Antenna for Sub-6 GHz 5G Smartphone Applications. IEEE Access 2022, 10, 85619–85629. [Google Scholar] [CrossRef]
- Kiani, S.H.; Marey, M.; Savci, H.S.; Mostafa, H.; Rafique, U.; Khan, M.A. Dual-Band Multiple-Element MIMO Antenna System for Next-Generation Smartphones. Appl. Sci. 2022, 12, 96949705. [Google Scholar] [CrossRef]
- Kiani, S.H.; Khan, M.A.; Rafique, U.; Marey, M.; Alharbi, A.G.; Mostafa, H.; Khan, M.A.; Abbas, S.M. High Performance Eight-Port Dual-Band MIMO Antenna System for 5G Devices. Micromachines 2022, 13, 959973. [Google Scholar] [CrossRef]























| Reference | Bandwidth (GHz) | Isolation (dB) | ECC | MIMO Order | Efficiency (%) | Decoupling Method | Size (mm3) |
|---|---|---|---|---|---|---|---|
| [7] | 3.4–3.6 (−10 dB) | >15 dB | <0.036 | 8 | 62–76 | Intrinsic decoupling | 150 × 80 × 0.8 |
| [19] | 3.4–3.6, 4.8–5.0 (−6 dB) | >12 dB | <0.15 | 8 | >41 | Short circuited stub | 150 × 64 × 0.8 |
| [20] | 3.4–3.6, 5.725–5.925 (−6 dB) | >10 dB | <0.15 | 8 | 55–70 | Decoupled block | 150 × 74 × 7 |
| [21] | 3.4–3.6, 4.8–5.1 (−6 dB) | >11.5 dB | <0.08 | 8 | 40–85 | Neutralization line | 150 × 75 × 7 |
| [22] | 3.4–3.6, 5.725–5.758 (−6 dB) | >10 dB | <0.2 | 12 | 41–59 | Self-isolation | 150 × 75 × 7 |
| [23] | 3.4–3.6, 4.8–5.0 (−10 dB) | >12 dB | <0.06 | 8 | 44–72 | Self-isolation | 150 × 75 × 7 |
| [24] | 2.5–3.6 (−10 dB) | >10 dB | <0.2 | 8 | 45–64 | Spatial decoupling | 150 × 75 × 1.6 |
| [25] | 3.1–3.9, 5.5–6.3 (−6 dB) | >12 dB | <0.035 | 8 | 70–80 | Self-isolation | 150 × 75 × 7 |
| [26] | 3.4–3.6, 5.1–5.7 (−10 dB) | >14 dB | <0.02 | 8 | 58–74 | Spatial decoupling | 150 × 75 × 8 |
| [27] | 3.34–3.7, 4.67–5.08 (−6 dB) | >12 dB | <0.08 | 8 | 55–72 | Slotted decoupling | 150 × 75 × 0.8 |
| Proposed | 3.4–3.6, 5.275–5.850 (−6 dB) | >15 dB | <0.024 | 8 | 58–72 | Parasitic strip | 150 × 75 × 7 |
Disclaimer/Publisher’s Note: The statements, opinions and data contained in all publications are solely those of the individual author(s) and contributor(s) and not of MDPI and/or the editor(s). MDPI and/or the editor(s) disclaim responsibility for any injury to people or property resulting from any ideas, methods, instructions or products referred to in the content. |
© 2023 by the authors. Licensee MDPI, Basel, Switzerland. This article is an open access article distributed under the terms and conditions of the Creative Commons Attribution (CC BY) license (https://creativecommons.org/licenses/by/4.0/).
Share and Cite
He, T.; Huang, J.; Lu, J.; Shi, X.; Liu, G. Eight-Element Dual-Band Multiple-Input Multiple-Output Mobile Phone Antenna for 5G and Wireless Local Area Network Applications. Micromachines 2023, 14, 2200. https://doi.org/10.3390/mi14122200
He T, Huang J, Lu J, Shi X, Liu G. Eight-Element Dual-Band Multiple-Input Multiple-Output Mobile Phone Antenna for 5G and Wireless Local Area Network Applications. Micromachines. 2023; 14(12):2200. https://doi.org/10.3390/mi14122200
Chicago/Turabian StyleHe, Tao, Jianlin Huang, Jiaping Lu, Xiaojing Shi, and Gui Liu. 2023. "Eight-Element Dual-Band Multiple-Input Multiple-Output Mobile Phone Antenna for 5G and Wireless Local Area Network Applications" Micromachines 14, no. 12: 2200. https://doi.org/10.3390/mi14122200
APA StyleHe, T., Huang, J., Lu, J., Shi, X., & Liu, G. (2023). Eight-Element Dual-Band Multiple-Input Multiple-Output Mobile Phone Antenna for 5G and Wireless Local Area Network Applications. Micromachines, 14(12), 2200. https://doi.org/10.3390/mi14122200

