Reliability Assessment of On-Wafer AlGaN/GaN HEMTs: The Impact of Electric Field Stress on the Mean Time to Failure
Abstract
:1. Introduction
2. Materials and Methods
MTTF Determination Method
3. Results
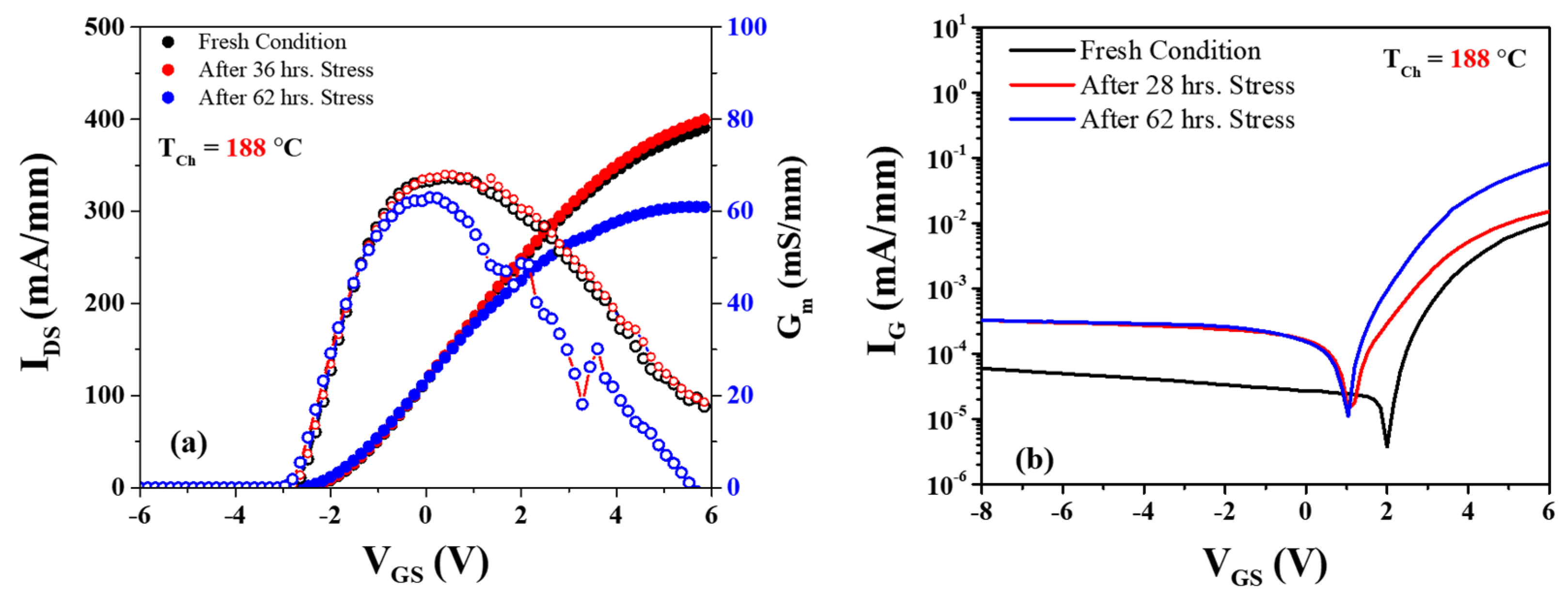
3.1. Low Electric Field with High Current Stress Experiment
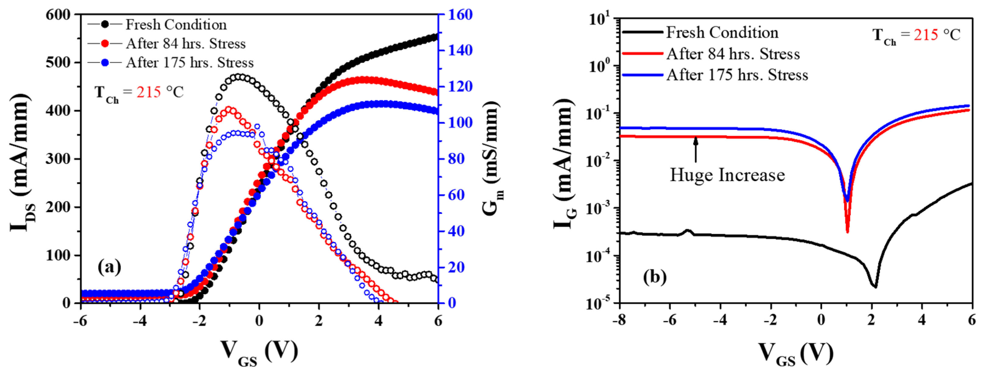
3.2. High Electric Field with Low Current Stress Experiment
4. Conclusions
Author Contributions
Funding
Data Availability Statement
Conflicts of Interest
References
- Chakraborty, S.; Kim, T.-W. Comprehensive Schottky Barrier Height Behavior and Reliability Instability with Ni/Au and Pt/Ti/Pt/Au on AlGaN/GaN High-Electron-Mobility Transistors. Micromachines 2022, 13, 84. [Google Scholar] [CrossRef] [PubMed]
- Zagni, N.; Gao, V.Z.; Verzellesi, G.; Chini, A.; Pantellini, A.; Natali, M.; Lucibello, A.; Latessa, L.; Lanzieri, C.; De Santi, C.; et al. Mechanisms of Step-Stress Degradation In Carbon-Doped 0.15 μm Algan/Gan Hemts for Power RF Applications. IEEE Trans. Electron Devices 2023. [Google Scholar] [CrossRef]
- Zanoni, E.; Rampazzo, F.; De Santi, C.; Gao, Z.; Sharma, C.; Modolo, N.; Verzellesi, G.; Chini, A.; Meneghesso, G.; Meneghini, M. Failure Physics and Reliability of GaN-Based HEMTs for Microwave and Millimeter-Wave Applications: A Review of Consolidated Data and Recent Results. Phys. Status Solidi. A 2022, 219, 2100722. [Google Scholar] [CrossRef]
- Bisi, D.; Meneghini, M.; de Santi, C.; Chini, A.; Dammann, M.; Brückner, P.; Mikulla, M.; Meneghesso, G.; Zanoni, E. Deep-Level Characterization in GaN HEMTs-Part I: Advantages and Limitations of Drain Current Transient Measurements. IEEE Trans. Electron. Devices 2013, 60, 3166–3175. [Google Scholar] [CrossRef]
- Meneghini, M.; De Santi, C.; Abid, I.; Buffolo, M.; Cioni, M.; Khadar, R.A.; Nela, L.; Zagni, N.; Chini, A.; Medjdoub, F.; et al. GaN-based power devices: Physics, reliability, and perspectives. J. Appl. Phys. 2021, 130, 181101. [Google Scholar] [CrossRef]
- Amir, W.; Shin, J.-W.; Shin, K.-Y.; Chakraborty, S.; Cho, C.-Y.; Kim, J.-M.; Lee, S.-T.; Hoshi, T.; Tsutsumi, T.; Sugiyama, H.; et al. Performance Enhancement of AlGaN/GaN HEMT via Trap-State Improvement Using O2 Plasma Treatment. IEEE Trans. Electron. Devices 2013, 70, 2988–2993. [Google Scholar] [CrossRef]
- Chakraborty, S.; Kim, T.-W. Investigation of Mean-Time-to-Failure Measurements from AlGaN/GaN High-Electron-Mobility Transistors Using Eyring Model. Electronics 2021, 10, 3052. [Google Scholar] [CrossRef]
- Chakraborty, S.; Amir, W.; Kwon, H.-M.; Kim, T.-W. New Methodology for Parasitic Resistance Extraction and Capacitance Correction in RF AlGaN/GaN High Electron Mobility Transistors. Electronics 2023, 12, 3044. [Google Scholar] [CrossRef]
- Haziq, M.; Falina, S.; Manaf, A.A.; Kawarada, H.; Syamsul, M. Challenges and Opportunities for High-Power and High-Frequency AlGaN/GaN High-Electron-Mobility Transistor (HEMT) Applications: A Review. Micromachines 2022, 13, 2133. [Google Scholar] [CrossRef]
- Teo, K.H.; Zhang, Y.; Chowdhury, N.; Rakheja, S.; Ma, R.; Xie, Q.; Yagyu, E.; Yamanaka, K.; Li, K.; Palacios, T. Emerging GaN technologies for power, RF, digital, and quantum computing applications: Recent advances and prospects. J. Appl. Phys. 2021, 130, 160902. [Google Scholar] [CrossRef]
- Harrouche, K.; Kabouche, R.; Okada, E.; Medjdoub, F. High Performance and Highly Robust AlN/GaN HEMTs for Millimeter-Wave Operation. IEEE J. Electron Devices 2019, 7, 1145–1150. [Google Scholar] [CrossRef]
- Raman, A.; Chattopadhyay, S.P.; Ranjan, R.; Kumar, N.; Kakkar, D.; Sharma, R. Design and Investigation of Dual Dielectric Recessed-Gate AlGaN/GaN HEMT as Gas sensor Application. Trans. Electr. Electron. Mater. 2022, 23, 618–623. [Google Scholar] [CrossRef]
- Ranjan, R.; Kashyap, N.; Raman, A. High-performance dual-gate-charge-plasma-AlGaN/GaN MIS-HEMT. Appl. Phys. A 2020, 126, 169. [Google Scholar] [CrossRef]
- Shivangi, S.; Ashish, R.; Sarabdeep, S.; Naveen, K. Design and Analysis of Source Engineered with High Electron Mobility Material Triple Gate Junctionless Field Effect Transistor. J. Nanoelectron. Optoelectron. 2019, 14, 825–832. [Google Scholar] [CrossRef]
- Li, H.; Yao, C.; Fu, L.; Zhang, X.; Wang, J. Evaluations and applications of GaN HEMTs for power electronics. In Proceedings of the 2016 IEEE 8th International Power Electronics and Motion Control Conference (IPEMC-ECCE Asia), Hefei, China, 22–26 May 2016; pp. 563–569. [Google Scholar] [CrossRef]
- Zhong, Y.; Zhang, J.; Wu, S.; Jia, L.; Yang, X.; Liu, Y.; Zhang, Y.; Sun, Q. A review on the GaN-on-Si power electronic devices. Fundam. Res. 2022, 2, 462–475. [Google Scholar] [CrossRef]
- Musumeci, S.; Barba, V. Gallium Nitride Power Devices in Power Electronics Applications: State of Art and Perspectives. Energies 2023, 16, 3894. [Google Scholar] [CrossRef]
- De Santi, C.; Buffolo, M.; Rossetto, I.; Bordignon, T.; Brusaterra, E.; Caria, A.; Chiocchetta, F.; Favero, D.; Fregolent, M.; Masin, F.; et al. Review on the degradation of GaN-based lateral power transistors. E-Prime Adv. Electr. Eng. Electron. Energy 2021, 1, 100018. [Google Scholar] [CrossRef]
- Gao, Y.; Huang, A.Q. Feasibility Study of AlGaN/GaN HEMT for Multi-megahertz DC/DC Converter Applications. In Proceedings of the 2006 CES/IEEE 5th International Power Electronics and Motion Control Conference, Shanghai, China, 14–16 August 2006; pp. 1–3. [Google Scholar] [CrossRef]
- Kozak, J.P.; Zhang, R.; Song, Q.; Liu, J.; Saito, W.; Zhang, Y. True Breakdown Voltage and Overvoltage Margin of GaN Power HEMTs in Hard Switching. IEEE Electron. Device Lett. 2021, 42, 505–508. [Google Scholar] [CrossRef]
- Imada, T.; Kanamura, M.; Kikkawa, T. Enhancement-mode GaN MIS-HEMTs for power supplies. In Proceedings of the 2010 International Power Electronics Conference—ECCE ASIA, Sapporo, Japan, 21–24 June 2010; pp. 1027–1033. [Google Scholar] [CrossRef]
- Ma, C.-T.; Gu, Z.-H. Review of GaN HEMT Applications in Power Converters over 500 W. Electronics 2019, 8, 1401. [Google Scholar] [CrossRef]
- Zhang, K.; Chen, X.; Peng, Z.; Chen, Y.; Wei, G.; Ze, S. High-Efficiency, High-Power Density and Wide-Range Power Supply Design Based on GaN HEMT. In Proceedings of the 2022 International Conference on Power Energy Systems and Applications (ICoPESA), Singapore, 25–27 February 2022; pp. 101–108. [Google Scholar] [CrossRef]
- Micovic, M.; Brown, D.F.; Regan, D.; Wong, J.; Tang, Y.; Herrault, F.; Santos, D.; Burnham, S.D.; Tai, J.; Prophet, E.; et al. High frequency GaN HEMTs for RF MMIC applications. In Proceedings of the 2016 IEEE International Electron Devices Meeting (IEDM), San Francisco, CA, USA, 3–7 December 2016; IEEE: New York, NY, USA, 2016. [Google Scholar]
- Ahn, H.; Ji, H.; Kang, D.; Son, S.-M.; Lee, S.; Han, J. A 26–30 GHz GaN HEMT Low-Noise Amplifier Employing a Series Inductor-Based Stability Enhancement Technique. Electronics 2022, 11, 2716. [Google Scholar] [CrossRef]
- Jarndal, A.; Arivazhagan, L.; Almajali, E.; Majzoub, S.; Bonny, T. Impact of AlGaN Barrier Thickness and Substrate Material on the Noise Characteristics of GaN HEMT. IEEE J. Electron Devices Soc. 2022, 10, 696–705. [Google Scholar] [CrossRef]
- Niida, Y.; Kamada, Y.; Ohki, T.; Ozaki, S.; Makiyama, K.; Minoura, Y.; Okamoto, N.; Sato, M.; Joshin, K.; Watanabe, K. 3.6 W/mm high power density W-band InAlGaN/GaN HEMT MMIC power amplifier. In Proceedings of the 2016 IEEE Topical Conference on Power Amplifiers for Wireless and Radio Applications (PAWR), Austin, TX, USA, 24–27 January 2016; pp. 24–26. [Google Scholar] [CrossRef]
- Sano, S.; Ebihara, K.; Yamamoto, T.; Sato, T.; Miyazawa, N. GaN HEMTs for wireless communication. SEI Tech. Rev. 2018, 85, 65. [Google Scholar]
- Cidronali, A.; Pagnini, L.; Collodi, G.; Passafiume, M. A Highly Linear Ka-Band GaN-on-Si Active Balanced Mixer for Radar Applications. IEEE Trans. Circuits Syst. I Regul. Pap. 2022, 69, 4453–4464. [Google Scholar] [CrossRef]
- Meneghesso, G.; Verzellesi, G.; Danesin, F.; Rampazzo, F.; Zanon, F.; Tazzoli, A.; Meneghini, M.; Zanoni, E. Reliability of GaN High-Electron-Mobility Transistors: State of the Art and Perspectives. IEEE Trans. Electron. Devices 2008, 8, 332–343. [Google Scholar] [CrossRef]
- Zanoni, E.; Meneghini, M.; Chini, A.; Marcon, D. AlGaN/GaN-Based HEMTs Failure Physics and Reliability: Mechanisms Affecting Gate Edge and Schottky Junction. IEEE Trans. Electron. Devices 2013, 60, 3119–3131. [Google Scholar] [CrossRef]
- Faqir, M.; Verzellesi, G.; Meneghesso, G.; Zanoni, E.; Fantini, F. Investigation of High-Electric-Field Degradation Effects in AlGaN/GaN HEMTs. IEEE Trans. Electron. Devices 2008, 55, 1592–1602. [Google Scholar] [CrossRef]
- Sozza, A.; Dua, C.; Morvan, E.; diForte-Poisson, M.A.; Delage, S.; Rampazzo, F.; Tazzoli, A.; Danesin, F.; Meneghesso, G.; Zanoni, E.; et al. Evidence of traps creation in GaN/AlGaN/GaN HEMTs after a 3000 hour on-state and off-state hot-electron stress. In Proceedings of the IEEE InternationalElectron Devices Meeting 2005, IEDM Technical Digest, Washington, DC, USA, 5 December 2005. [Google Scholar] [CrossRef]
- Amano, H.; Baines, Y.; Beam, E.; Borga, M.; Bouchet, T.; Chalker, P.R.; Charles, M.; Chen, K.J.; Chowdhury, N.; Chu, R.; et al. The 2018 GaN power electronics roadmap. J. Phys. D Appl. Phys. 2018, 51, 163001. [Google Scholar] [CrossRef]
- Lee, S.; Vetury, R.; Brown, J.D.; Gibb, S.R.; Cai, W.Z.; Sun, J.; Green, D.S.; Shealy, J. Reliability assessment of AlGaN/GaN HEMT technology on SiC for 48V applications. In Proceedings of the 2008 IEEE International Reliability Physics Symposium, Phoenix, AZ, USA, 27 April–1 May 2008; pp. 446–449. [Google Scholar] [CrossRef]
- Burnham, S.D.; Paine, B.M. Towards and RF GaN Reliability Standard. In Proceedings of the JEDEC Reliability of Compound Semiconductors Workshop, Indian Wells, CA, USA, 22 May 2017. [Google Scholar]
- Marcon, D.; Viaene, J.; Favia, P.; Bender, H.; Kang, X.; Lenci, S.; Stoffels, S.; Decoutere, S. Reliability of AlGaN/GaN HEMTs: Permanent leakage current increase and output current drop. In Proceedings of the 20th IEEE International Symposium on the Physical and Failure Analysis of Integrated Circuits (IPFA), Suzhou, China, 15–19 July 2013; pp. 249–254. [Google Scholar] [CrossRef]
- Joh, J.; Gao, F.; Palacios, T.; del Alamo, J.A. A model for the critical voltage for electrical degradation of GaN high electron mobility transistors. Microelectron. Reliab. 2010, 50, 6. [Google Scholar] [CrossRef]
- Zhang, Y.; Zhou, L.; Mao, J.-F. Inverse Piezoelectric and Trap Effects with Temperature Dependence in AlGaN/GaN HEMTs Under Narrowband Microwave Pulses. IEEE Trans. Electromagn. Compat. 2023, 65, 794–803. [Google Scholar] [CrossRef]
- Meneghesso, G.; Meneghini, M.; Stocco, A.; Bisi, D.; de Santi, C.; Rossetto, I.; Zanandrea, A.; Rampazzo, F.; Zanoni, E. Degradation of AlGaN/GaN HEMT devices: Role of reverse-bias and hot electron stress. Microelectron. Eng. 2013, 109, 257–261. [Google Scholar] [CrossRef]
- Meneghesso, G.; Meneghini, M.; Tazzoli, A.; Ronchi, N.; Stocco, A.; Chini, A.; Zanoni, E. Reliability issues of Gallium Nitride High Electron Mobility Transistors. Int. J. Microw. Wirel. Technol. 2010, 2, 39–50. [Google Scholar] [CrossRef]
- Del Alamo, J.A.; Joh, J. GaN HEMT reliability. Microelectron. Reliab. 2009, 49, 1200–1206. [Google Scholar] [CrossRef]
- Sozza, A.; Dua, C.; Morvan, E.; Grimber, B.; Delage, S.L. A 3000 hours DC Life Test on AlGaN/GaN HEMT for RF and microwave applications. Microelectron. Reliab. 2005, 45, 9–11. [Google Scholar] [CrossRef]
- Gao, Z.; Chiocchetta, F.; Rampazzo, F.; De Santi, C.; Fornasier, M.; Meneghesso, G.; Meneghini, M.; Zanoni, E. Thermally-activated failure mechanisms of 0.25 μm RF AlGaN/GaN HEMTs submitted to long-term life tests. In Proceedings of the 2023 IEEE International Reliability Physics Symposium (IRPS), Monterey, CA, USA, 26–30 March 2023; pp. 1–5. [Google Scholar] [CrossRef]
- Miccoli, C.; Gervasi, L.; Cerantonio, V.; Pomeroy, J.; Kuball, M. Peak channel temperature determination for an AlGaN/GaN HEMT with Raman Thermography and MTTF extraction for long term reliability. In Proceedings of the 2022 IEEE 9th Workshop on Wide Bandgap Power Devices & Applications (WiPDA), Redondo Beach, CA, USA, 7–9 November 2022; pp. 35–39. [Google Scholar] [CrossRef]
- Kurpas, P.; Selvanathan, I.; Schulz, M.; Würfl, J. Performance Benchmarking of European GaN Epitaxial Wafer Suppliers in Comparison with Vendors from USA and Japan; ESA/ESTEC Contract 20328/06/NL/IA; European Space Agency: Paris, France, 2022; Available online: https://escies.org/download/webDocumentFile?id=62230 (accessed on 30 August 2023).
- Raja, P.V.; Nallatamby, J.-C.; Bouslama, M.; Jacquet, J.C.; Sommet, R.; Chang, C.; Lambert, B. HTRB Stress Effects on 0.15 µm AlGaN/GaN HEMT Performance. In Proceedings of the 2022 IEEE MTT-S International Conference on Numerical Electromagnetic and Multiphysics Modeling and Optimization (NEMO), Limoges, France, 6–8 July 2022; pp. 1–4. [Google Scholar] [CrossRef]
- Bergsten, J.; Chen, J.-T.; Gustafsson, S.; Malmros, A.; Forsberg, U.; Thorsell, M.; Janzén, E.; Rorsman, N. Performance Enhancement of Microwave GaN HEMTs Without an AlN-Exclusion Layer Using an Optimized AlGaN/GaN Interface Growth Process. IEEE Trans. Electron. Devices 2016, 63, 333–338. [Google Scholar] [CrossRef]
- Alemdar, O.S.; Karakaya, F.; Keysan, O. PCB Layout Based Short-Circuit Protection Scheme for GaN HEMTs. In Proceedings of the 2019 IEEE Energy Conversion Congress and Exposition (ECCE), Baltimore, MD, USA, 29 September–3 October 2019; pp. 2212–2218. [Google Scholar] [CrossRef]
- Lyu, X.; Li, H.; Abdullah, Y.; Wang, K.; Hu, B.; Yang, Z.; Wang, J.; Liu, L.; Bala, S. A Reliable Ultra-Fast Three Step Short Circuit Protection Method for E-mode GaN HEMTs. In Proceedings of the 2019 IEEE Applied Power Electronics Conference and Exposition (APEC), Anaheim, CA, USA, 17–21 March 2019; pp. 437–440. [Google Scholar] [CrossRef]
- Shankar, B.; Raghavan, S.; Shrivastava, M. ESD Reliability of AlGaN/GaN HEMT Technology. IEEE Trans. Electron. Devices 2019, 66, 3756–3763. [Google Scholar] [CrossRef]
- Shankar, B.; Shrivastava, M. Unique ESD behavior and failure modes of AlGaN/GaN HEMTs. In Proceedings of the 2016 IEEE International Reliability Physics Symposium (IRPS), Pasadena, CA, USA, 17–21 April 2016; pp. EL-7-1–EL-7-5. [Google Scholar] [CrossRef]
- Shankar, B.; Raghavan, S.; Shrivastava, M. Distinct Failure Modes of AlGaN/GaN HEMTs Under ESD Conditions. IEEE Trans. Electron. Devices 2020, 67, 1567–1574. [Google Scholar] [CrossRef]
- Shankar, B.; Shrivastava, M. Safe Operating Area of Polarization Super-junction GaN HEMTs and Diodes. IEEE Trans. Electron. Devices 2019, 66, 4140–4147. [Google Scholar] [CrossRef]
- Shankar, B.; Sengupta, R.; Gupta, S.D.; Soni, A.; Mohan, N.; Bhat, N.; Raghavan, S.; Shrivastava, M. On the ESD behavior of AlGaN/GaN schottky diodes and trap assisted failure mechanism. In Proceedings of the 2017 39th Electrical Overstress/Electrostatic Discharge Symposium (EOS/ESD), Tucson, AZ, USA, 10–14 September 2017; pp. 1–6. [Google Scholar] [CrossRef]
- Shankar, B.; Soni, A.; Gupta, S.D.; Shrivastava, M. Safe Operating Area (SOA) reliability of Polarization Super Junction (PSJ) GaN FETs. In Proceedings of the 2018 IEEE International Reliability Physics Symposium (IRPS), Burlingame, CA, USA, 11–15 March 2018; pp. 4E.3-1–4E.3-4. [Google Scholar] [CrossRef]
- Qin, Y.; Chai, C.; Li, F.; Liang, Q.; Wu, H.; Yang, Y. Study of Self-Heating and High-Power Microwave Effects for Enhancement-Mode p-Gate GaN HEMT. Micromachines 2022, 13, 106. [Google Scholar] [CrossRef]
- Chakraborty, S.; Amir, W.; Shin, J.-W.; Shin, K.-Y.; Cho, C.-Y.; Kim, J.-M.; Hoshi, T.; Tsutsumi, T.; Sugiyama, H.; Matsuzaki, H.; et al. Explicit Thermal Resistance Model of Self-Heating Effects of AlGaN/GaN HEMTs with Linear and Non-Linear Thermal Conductivity. Materials 2022, 15, 8415. [Google Scholar] [CrossRef]
- Kuball, M.; Ťapajna, M.; Simms, R.J.T.; Faqir, M.; Mishra, U.K. AlGaN/GaN HEMT device reliability and degradation evolution: Importance of diffusion processes. Microelectron. Reliab. 2011, 1, 2. [Google Scholar] [CrossRef]














| Sample Quantity | Stress Voltage, (VDS (V)) | Current, (IDS (mA/mm)) | Power, (P (W/mm)) |
|---|---|---|---|
| 5 | 10 | 200 | 2 |
| 5 | 25 | 50 | 1.25 |
| Base Plate Temperature (Tb) °C | Corresponding Channel Temperature (Tch) °C | Condition | Lifetime (h) (15% Degradation) |
|---|---|---|---|
| 150 | 215 | VDS = 10 V, | 175 |
| 170 | 230 | ID = 200 mA/mm | 147 |
| 190 | 240 | P = 2 W/mm | 120 |
| Base Plate Temperature (Tb) °C | Corresponding Channel Temperature (Tch) °C | Condition | Lifetime (h) (15% Degradation) |
|---|---|---|---|
| 150 | 188 | VDS = 25 V, | 62 |
| 170 | 208 | ID = 50 mA/mm | 36 |
| 190 | 228 | P = 1.25 W/mm | 15 |
Disclaimer/Publisher’s Note: The statements, opinions and data contained in all publications are solely those of the individual author(s) and contributor(s) and not of MDPI and/or the editor(s). MDPI and/or the editor(s) disclaim responsibility for any injury to people or property resulting from any ideas, methods, instructions or products referred to in the content. |
© 2023 by the authors. Licensee MDPI, Basel, Switzerland. This article is an open access article distributed under the terms and conditions of the Creative Commons Attribution (CC BY) license (https://creativecommons.org/licenses/by/4.0/).
Share and Cite
Chakraborty, S.; Kim, T.-W. Reliability Assessment of On-Wafer AlGaN/GaN HEMTs: The Impact of Electric Field Stress on the Mean Time to Failure. Micromachines 2023, 14, 1833. https://doi.org/10.3390/mi14101833
Chakraborty S, Kim T-W. Reliability Assessment of On-Wafer AlGaN/GaN HEMTs: The Impact of Electric Field Stress on the Mean Time to Failure. Micromachines. 2023; 14(10):1833. https://doi.org/10.3390/mi14101833
Chicago/Turabian StyleChakraborty, Surajit, and Tae-Woo Kim. 2023. "Reliability Assessment of On-Wafer AlGaN/GaN HEMTs: The Impact of Electric Field Stress on the Mean Time to Failure" Micromachines 14, no. 10: 1833. https://doi.org/10.3390/mi14101833
APA StyleChakraborty, S., & Kim, T.-W. (2023). Reliability Assessment of On-Wafer AlGaN/GaN HEMTs: The Impact of Electric Field Stress on the Mean Time to Failure. Micromachines, 14(10), 1833. https://doi.org/10.3390/mi14101833

