Content Size-Dependent Alginate Microcapsule Formation Using Centrifugation to Eliminate Empty Microcapsules for On-Chip Imaging Cell Sorter Application
Abstract
1. Introduction
2. Principle
3. Materials and Methods
3.1. Sodium Alginate Buffer
3.2. HeLa Cells
3.3. Microbeads
3.4. Alginate Capsule Formation
3.5. Surface Charge Measurement of Particles
3.6. Statistical Analysis
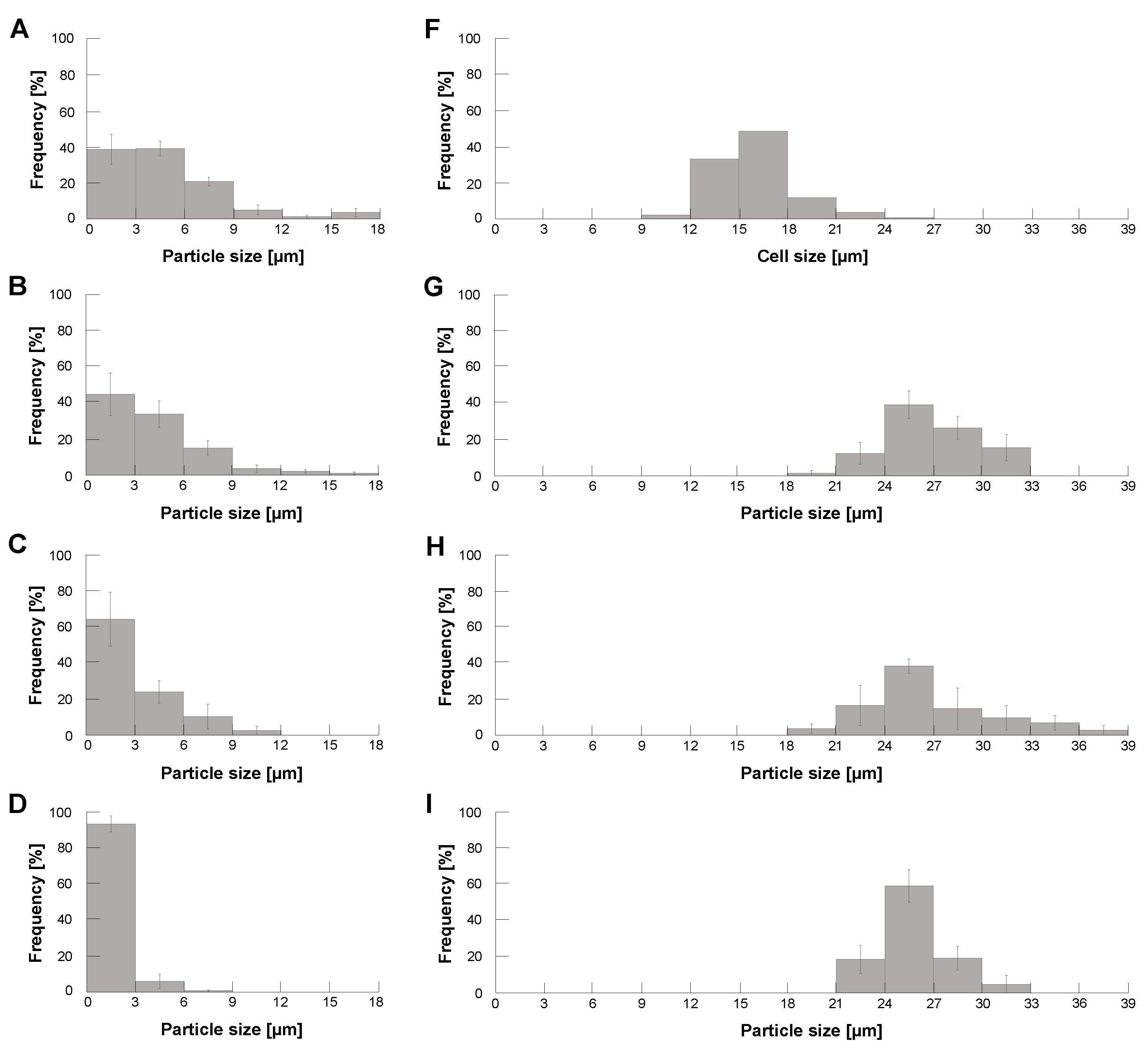
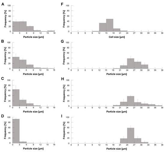
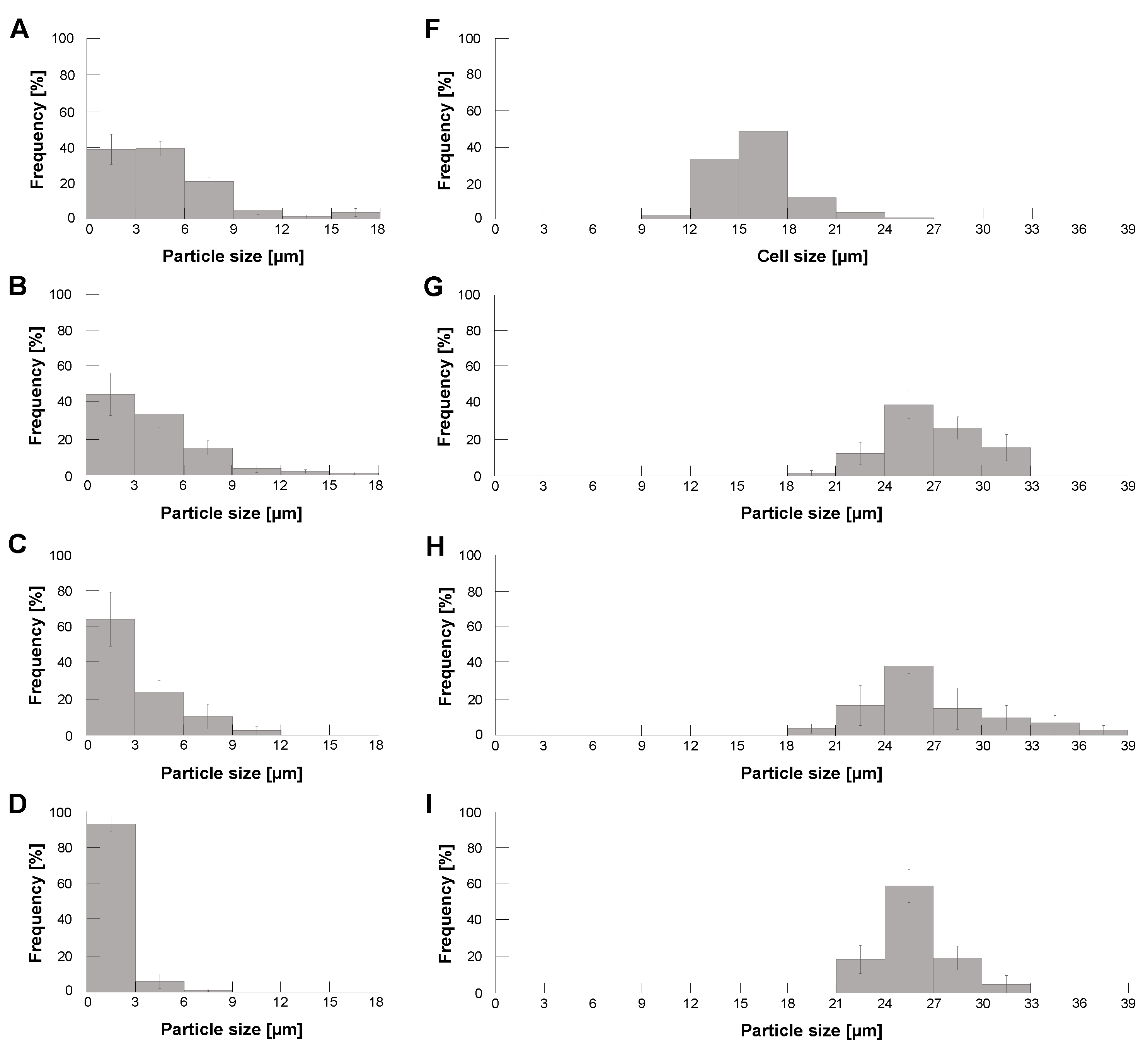
4. Results and Discussion
4.1. Centrifugation Method for Content-Size Dependent Alginate Microcapsule Formation
4.2. Electric Charge of Alginate Capsules: Content Dependency
4.3. Image Recognition of Single Cells Encapsulated in Alginate Beads
5. Conclusions
Author Contributions
Funding
Institutional Review Board Statement
Informed Consent Statement
Data Availability Statement
Acknowledgments
Conflicts of Interest
References
- Theberge, A.B.; Courtois, F.; Schaerli, Y.; Fischlechner, M.; Abell, C.; Hollfelder, F.; Huck, W.T. Microdroplets in microfluidics: An evolving platform for discoveries in chemistry and biology. Angew. Chem. Int. Ed. 2010, 49, 5846–5868. [Google Scholar] [CrossRef] [PubMed]
 - Nossal, G.; Lederberg, J. Antibody production by single cells. Nature 1958, 181, 1419–1420. [Google Scholar] [CrossRef] [PubMed]
 - Rotman, B. Measurement of activity of single molecules of beta-D-galactosidase. Proc. Natl. Acad. Sci. USA 1961, 47, 1981–1991. [Google Scholar] [CrossRef]
 - Viret, C.; Gurr, W. The origin of the “one cell-one antibody” rule. J. Immunol. 2009, 182, 1229–1230. [Google Scholar] [CrossRef]
 - Girault, M.; Kim, H.; Arakawa, H.; Matsuura, K.; Odaka, M.; Hattori, A.; Terazono, H.; Yasuda, K. An on-chip imaging droplet-sorting system: A real-time shape recognition method to screen target cells in droplets with single cell resolution. Sci. Rep. 2017, 7, 40072. [Google Scholar] [CrossRef]
 - Teh, S.Y.; Lin, R.; Hung, L.H.; Lee, A.P. Droplet microfluidics. Lab Chip 2008, 8, 198. [Google Scholar] [CrossRef]
 - Boedicker, J.Q.; Vincent, M.E.; Ismagilov, R.F. Microfluidic confinement of single cells of bacteria in small volumes initiates high-density behavior of quorum sensing and growth and reveals its variability. Angew. Chem. Int. Ed. 2009, 48, 5908–5911. [Google Scholar] [CrossRef] [PubMed]
 - Huebner, A.; Sharma, S.; Srisa-Art, M.; Hollfelder, F.; Edel, J.B.; DeMello, A.J. Microdroplets: A sea of applications? Lab Chip 2008, 8, 1244. [Google Scholar] [CrossRef]
 - Chiu, D.T.; Lorenz, R.M.; Jeffries, G.D. Droplets for ultrasmall-volume analysis. Anal. Chem. 2009, 81, 5111–5118. [Google Scholar] [CrossRef]
 - Jeffries, G.D.M.; Lorenz, R.M.; Chiu, D.T. Ultrasensitive and High-Throughput Fluorescence Analysis of Droplet Contents with Orthogonal Line Confocal Excitation. Anal. Chem. 2010, 82, 9948–9954. [Google Scholar] [CrossRef] [PubMed][Green Version]
 - Günther, A.; Jensen, K.F. Multiphase microfluidics: From flow characteristics to chemical and materials synthesis. Lab Chip 2006, 6, 1487–1503. [Google Scholar] [CrossRef] [PubMed]
 - Baret, J.C.; Miller, O.J.; Taly, V.; Ryckelynck, M.; El-Harrak, A.; Frenz, L.; Rick, C.; Samuels, M.L.; Hutchison, J.B.; Agresti, J.J.; et al. Fluorescence-activated droplet sorting (FADS): Efficient microfluidic cell sorting based on enzymatic activity. Lab Chip 2009, 9, 1850. [Google Scholar] [CrossRef] [PubMed]
 - Fidalgo, L.M.; Whyte, G.; Bratton, D.; Kaminski, C.F.; Abell, C.; Huck, W.T.S. From microdroplets to microfluidics: Selective emulsion separation in microfluidic devices. Angew. Chem. Int. Ed. 2008, 47, 2042–2045. [Google Scholar] [CrossRef] [PubMed]
 - Liau, A.; Kamik, R.; Majumdar, A.; Cate, J.H. Mixing crowded biological solutions in milliseconds. Anal. Chem. 2005, 77, 7618–7625. [Google Scholar] [CrossRef]
 - Damean, N.; Olguin, L.F.; Hollfelder, F.; Abell, C.; Huck, W.T.S. Simultaneous measurement of reactions in microdroplets filled by concentration gradients. Lab Chip 2009, 9, 1707. [Google Scholar] [CrossRef]
 - Song, H.; Li, H.w.; Munson, M.S.; Ha, T.G.V.; Ismagilov, R.F. Ismagilov = On-chip Titration of an Anticoagulant Argatroban and Determination of the Activated Partial Thromboplastin Time for Clotting within Whole Blood or Plasma Using a Plug-based Microfluidic System SUPPORTING INFO.pdf. Anal. Chem. 2006, 78, 4839–4849. [Google Scholar] [CrossRef]
 - Bai, Y.; He, X.; Liu, D.; Patil, S.N.; Bratton, D.; Huebner, A.; Hollfelder, F.; Abell, C.; Huck, W.T.S. A double droplet trap system for studying mass transport across a droplet-droplet interface. Lab Chip 2010, 10, 1281. [Google Scholar] [CrossRef]
 - Srisa-Art, M.; Demello, A.J.; Edel, J.B. Fluorescence lifetime imaging of mixing dynamics in continuous-flow microdroplet reactors. Phys. Rev. Lett. 2008, 101, 014502. [Google Scholar] [CrossRef]
 - Mark, D.; Haeberle, S.; Zengerle, R.; Ducree, J.; Vladisavljević, G.T. Manufacture of chitosan microbeads using centrifugally driven flow of gel-forming solutions through a polymeric micronozzle. J. Colloid Interface Sci. 2009, 336, 634–641. [Google Scholar] [CrossRef]
 - Zhang, H.; Tumarkin, E.; Sullan, R.M.A.; Walker, G.C.; Kumacheva, E. Exploring microfluidic routes to microgels of biological polymers. Macromol. Rapid Commun. 2007, 28, 527–538. [Google Scholar] [CrossRef]
 - Oh, J.K.; Drumright, R.; Siegwart, D.J.; Matyjaszewski, K. The development of microgels/nanogels for drug delivery applications. Prog. Polym. Sci. 2008, 33, 448–477. [Google Scholar] [CrossRef]
 - De Geest, B.G.; Urbanski, J.P.; Thorsen, T.; Demeester, J.; De Smedt, S.C. Synthesis of monodisperse biodegradable microgels in microfluidic devices. Langmuir 2005, 21, 10275–10279. [Google Scholar] [CrossRef] [PubMed]
 - Zhang, H.; Ju, X.J.; Xie, R.; Cheng, C.J.; Ren, P.W.; Chu, L.Y. A microfluidic approach to fabricate monodisperse hollow or porous poly(HEMA-MMA) microspheres using single emulsions as templates. J. Colloid Interface Sci. 2009, 336, 235–243. [Google Scholar] [CrossRef]
 - Xu, S.; Nie, Z.; Seo, M.; Lewis, P.; Kumacheva, E.; Stone, H.A.; Garstecki, P.; Weibel, D.B.; Gitlin, I.; Whitesides, G.M. Generation of monodisperse particles by using microfluidics: Control over size, shape and composition. Angew. Chem. Int. Ed. 2005, 44, 724–728. [Google Scholar] [CrossRef]
 - Bruchet, M.; Melman, A. Fabrication of patterned calcium cross-linked alginate hydrogel films and coatings through reductive cation exchange. Carbohydr. Polym. 2015, 131, 57–64. [Google Scholar] [CrossRef] [PubMed]
 - Sugiura, S.; Oda, T.; Izumida, Y.; Aoyagi, Y.; Satake, M.; Ochiai, A.; Ohkohchi, N.; Nakajima, M. Size control of calcium alginate beads containing living cells using micro-nozzle array. Biomaterials 2005, 26, 3327–3331. [Google Scholar] [CrossRef] [PubMed]
 - Workman, V.L.; Dunnett, S.B.; Kille, P.; Palmer, D. Microfluidic chip-based synthesis of alginate microspheres for encapsulation of immortalized human cells. Biomicrofluidics 2007, 1, 014105. [Google Scholar] [CrossRef] [PubMed]
 - Workman, V.L.; Dunnett, S.B.; Kille, P.; Palmer, D.D. On-chip alginate microencapsulation of functional cells. Macromol. Rapid Commun. 2008, 29, 165–170. [Google Scholar] [CrossRef]
 - Bonaventure, J.; Kadhom, N.; Cohen-Solal, L.; Ng, K.; Bourguignon, J.; Lasselin, C.; Freisinger, P. Reexpression of Cartilage-Specific Genes by Dedifferentiated Human Articular Chondrocytes Cultured in Alginate Beads. Exp. Cell Res. 1994, 212, 97–104. [Google Scholar] [CrossRef]
 - Bigdeli, S.; Dettloff, R.O.; Frank, C.W.; Davis, R.W.; Crosby, L.D. A simple method for encapsulating single cells in alginate microspheres allows for direct PCR and whole genome amplification. PLoS ONE 2015, 10, e0117738. [Google Scholar] [CrossRef][Green Version]
 - Odaka, M.; Hattori, A.; Matsuura, K.; Yasuda, K. Selective digestion of Ba2+/Ca2+ alginate gel microdroplets for single-cell handling. Jpn J. Appl. Phys. 2018, 57, 06HH02. [Google Scholar] [CrossRef]
 - Terazono, H.; Kim, H.; Hayashi, M.; Hattori, A.; Nomura, F.; Kaneko, T.; Yasuda, K. A non-destructive culturing and cell sorting method for cardiomyocytes and neurons using a double alginate layer. PLoS ONE 2012, 7, e42485. [Google Scholar] [CrossRef] [PubMed]
 - Scherer, W.F. Studies on the Propagation in Vitro of Poliomyelitis Viruses: Iv. Viral Multiplication in a Stable Strain of Human Malignant Epithelial Cells (Strain Hela) Derived From an Epidermoid Carcinoma of the Cervix. J. Exp. Med. 1953, 97, 695–710. [Google Scholar] [CrossRef]
 - Rahbari, R.; Sheahan, T.; Modes, V.; Collier, P.; Macfarlane, C.; Badge, R.M. A novel L1 retrotransposon marker for HeLa cell line identification. BioTechniques 2009, 46, 277–284. [Google Scholar] [CrossRef]
 - Capes-Davis, A.; Theodosopoulos, G.; Atkin, I.; Drexler, H.G.; Kohara, A.; MacLeod, R.A.; Masters, J.R.; Nakamura, Y.; Reid, Y.A.; Reddel, R.R.; et al. Check your cultures! A list of cross-contaminated or misidentified cell lines. Int. J. Cancer 2010, 127, 1–8. [Google Scholar] [CrossRef]
 - Mackie, W.; Noy, R.; Sellen, D. Solution properties of sodium alginate. Biopolym. Orig. Res. Biomol. 1980, 19, 1839–1860. [Google Scholar] [CrossRef]
 - Park, Y.; Iwata, H.; Ikada, Y. Microencapsulation of islets and model beads with a thin alginate–Ba2+ gel layer using centrifugation. Polym. Adv. Technol. 1998, 9, 734–739. [Google Scholar] [CrossRef]
 - Dar, A.; Shachar, M.; Leor, J.; Cohen, S. Optimization of cardiac cell seeding and distribution in 3D porous alginate scaffolds. Biotechnol. Bioeng. 2002, 80, 305–312. [Google Scholar] [CrossRef]
 - De Ceuninck, F.; Lesur, C.; Pastoureau, P.; Caliez, A.; Sabatini, M. Culture of chondrocytes in alginate beads. In Cartilage and Osteoarthritis; Springer: Basel, Switzerland, 2004; pp. 15–22. [Google Scholar]
 - Maeda, K.; Onoe, H.; Takinoue, M.; Takeuchi, S. Controlled synthesis of 3D multi-compartmental particles with centrifuge-based microdroplet formation from a multi-barrelled capillary. Adv. Mater. 2012, 24, 1340–1346. [Google Scholar] [CrossRef]
 - Kim, H.; Terazono, H.; Nakamura, Y.; Sakai, K.; Hattori, A.; Odaka, M.; Girault, M.; Arao, T.; Nishio, K.; Miyagi, Y.; et al. Development of On-Chip Multi-Imaging Flow Cytometry for Identification of Imaging Biomarkers of Clustered Circulating Tumor Cells. PLoS ONE 2014, 9, e104372. [Google Scholar] [CrossRef]
 - Odaka, M.; Kim, H.; Nakamura, Y.; Hattori, A.; Matsuura, K.; Iwamura, M.; Miyagi, Y.; Yasuda, K. Size distribution analysis with on-chip multi-imaging cell sorter for unlabeled identification of circulating tumor cells in blood. Micromachines 2019, 10, 154. [Google Scholar] [CrossRef] [PubMed]
 - Zeeb, B.; Saberi, A.H.; Weiss, J.; McClements, D.J. Retention and release of oil-in-water emulsions from filled hydrogel beads composed of calcium alginate: Impact of emulsifier type and pH. Soft Matter. 2015, 11, 2228–2236. [Google Scholar] [CrossRef] [PubMed]
 - Barbosa, J.A.; Abdelsadig, M.S.; Conway, B.R.; Merchant, H.A. Using zeta potential to study the ionisation behaviour of polymers employed in modified-release dosage forms and estimating their pKa. Int. J. Pharm. 2019, 1, 100024. [Google Scholar] [CrossRef] [PubMed]
 
















Disclaimer/Publisher’s Note: The statements, opinions and data contained in all publications are solely those of the individual author(s) and contributor(s) and not of MDPI and/or the editor(s). MDPI and/or the editor(s) disclaim responsibility for any injury to people or property resulting from any ideas, methods, instructions or products referred to in the content.  | 
© 2022 by the authors. Licensee MDPI, Basel, Switzerland. This article is an open access article distributed under the terms and conditions of the Creative Commons Attribution (CC BY) license (https://creativecommons.org/licenses/by/4.0/).
Share and Cite
Akimoto, T.; Yasuda, K. Content Size-Dependent Alginate Microcapsule Formation Using Centrifugation to Eliminate Empty Microcapsules for On-Chip Imaging Cell Sorter Application. Micromachines 2023, 14, 72. https://doi.org/10.3390/mi14010072
Akimoto T, Yasuda K. Content Size-Dependent Alginate Microcapsule Formation Using Centrifugation to Eliminate Empty Microcapsules for On-Chip Imaging Cell Sorter Application. Micromachines. 2023; 14(1):72. https://doi.org/10.3390/mi14010072
Chicago/Turabian StyleAkimoto, Toshinosuke, and Kenji Yasuda. 2023. "Content Size-Dependent Alginate Microcapsule Formation Using Centrifugation to Eliminate Empty Microcapsules for On-Chip Imaging Cell Sorter Application" Micromachines 14, no. 1: 72. https://doi.org/10.3390/mi14010072
APA StyleAkimoto, T., & Yasuda, K. (2023). Content Size-Dependent Alginate Microcapsule Formation Using Centrifugation to Eliminate Empty Microcapsules for On-Chip Imaging Cell Sorter Application. Micromachines, 14(1), 72. https://doi.org/10.3390/mi14010072
        
