Abstract
The terahertz (THz) band is expected to become a key technology to meet the ever-increasing traffic demand for future 6G wireless communications, and a lot of efforts have been paid to develop its capacity. However, few studies have been concerned with the transmission security of such ultra-high-speed THz wireless links. In this paper, we comprehensively investigate the physical layer security (PLS) of a THz communication system in the presence of multiple eavesdroppers and beam scattering. The method of moments (MoM) was adopted so that the eavesdroppers’ channel influenced by the PEC can be characterized. To establish a secure link, the traditional beamforming and artificial noise (AN) beamforming were considered as transmission schemes for comparison. For both schemes, we analyzed their secrecy transmission probability (STP) and ergodic secrecy capacity (ESC) in non-colluding and colluding cases, respectively. Numerical results show that eavesdroppers can indeed degrade the secrecy performance by changing the size or the location of the PEC, while the AN beamforming technique can be an effective candidate to counterbalance this adverse effect.
1. Introduction
Wireless traffic volume has exponentially grown in recent years and wireless data rates exceeding 100 Gbit/s will be required in the coming decades [1]. As a result, new frequency spectra are demanded to fulfill the broad bandwidth requirements for future communication. Among others, the THz band (0.06–10 THz) is regarded as a promising candidate to enable ultra-fast and ultra-broadband data transmission [2,3,4,5]. Recently, THz wireless communication systems are under rapid development and many wireless transmissions exceeding 100 Gbit/s have already been demonstrated in laboratories and in field environments [6,7,8,9,10,11], which bring THz communication closer to reality. However, ultra-high-speed THz communications also pose major challenges to information security [12,13]. Once a malicious eavesdropper tries to intercept the signals, a vast amount of information will be leaked in the blink of an eye which is absolutely unacceptable, particularly in some sensitive fields such as the military and financial industry.
Security mechanisms exist at every layer of a network. Compared to the conventional upper-layer methods [14,15], physical-layer security (PLS) approaches [16,17,18,19,20] do not rely on the assumption that eavesdroppers have limited computational abilities and avoid distributing and managing secret keys [21,22,23,24]. In contrast to the broadcast nature of the microwave communication, highly directive THz waves are more prone to the blockage problem caused by the malicious eavesdropper [25,26]. Recently, researchers have comprehensively investigated the blocking effects of an illegal recipient and proposed a hybrid beamforming and reflecting scheme to eliminate the adverse effects [27,28]. In this environment, any eavesdropper intending to hide itself should control its size, otherwise, it may cast a detectable shadow and raise an alarm. Therefore, the performance of eavesdropping is restricted by the size of the illegal receiver. Alternatively, recent works have pointed out that an eavesdropper may put a tiny passive object instead of itself, like a metal cup or a mobile phone, inside the narrow beam to scatter THz electromagnetic waves [29,30]. By this mean, the bulky illegal receiver placed outside the THz beam can capture the information signal without raising an alarm, as a consequence. We note that the feasibility of this scheme has already been demonstrated in experiments in which the eavesdropper can even intercept a signal strength as good as that of the intended receiver. Nevertheless, all the aforementioned work using scatter (tiny passive object) only consider a single-eavesdropper scenario while a case with multiple eavesdroppers has not been investigated. The reflector in the narrow beam scattering THz waves to multiple eavesdroppers may bring a greater security threat to the THz communication system.
Compared to the single eavesdropper, multiple eavesdroppers can increase the occurrence of stronger attackers that are closer to the legitimate transmitter due to the random spatial distribution [31,32]. Additionally, multiple eavesdroppers may also combine their own observations and jointly process their received message, which will considerably degrade the secrecy performance [33,34,35]. From a practical point of view, multi-eavesdropper scenes will be widespread phenomenon in our future, since potential eavesdroppers in the ubiquitous Internet of Things (IoT) may be some curious legitimate devices belonging to different subsystems [36]. However, secrecy performance and secure transmission schemes in highly directive THz communication systems have not been yet analyzed in the presence of multiple eavesdroppers. Moreover, how to safeguard this point-to-point THz system against randomly located eavesdroppers is still unknown.
In this paper, we comprehensively investigated the secrecy performance of a highly directive THz communication link with multiple eavesdroppers. We established the received signal models with two different multi-antenna techniques, namely traditional beamforming and AN beamforming, as transmission schemes for comparison. We note that the received signal mode is affected by the fading channel, where both the large-scale and small-scale effects matter. We emulate the effect of perfect electric conductor (PEC) parameters on the received signal-to-noise ratio (SNR) of Eve in a multiple-eavesdropper environment. We derive the mathematical framework of the STP and ESC in both non-colluding and colluding cases, so that the secrecy performance of the THz wireless link can be characterized. The results show that Eves can successfully intercept a huge amount of information by changing some parameters, such as the density, size, and distance. As a countermeasure, Alice could consider the deployment of the AN beamforming technique to counterbalance the adverse effect of multiple eavesdroppers.
The rest of the paper is organized as follows. In Section 2, we introduce the system model in the presence of multiple eavesdroppers. In Section 3, we analyze the STP and ESC in non-colluding and colluding cases, respectively. In Section 4, we conduct simulation experiments and demonstrate the factors affecting the secrecy performance. In Section 5, we discuss how one may find the attackers. Finally, we give a brief conclusion in Section 6. Additionally, the important notations in this paper are listed in Table 1 to make this paper clearer.
Table 1.
Parameter settings.
2. System Model
In this section, we first propose a security model for the THz system, in which two transmission schemes, namely traditional beamforming and AN beamforming, are adopted to prevent being overheard by multiple eavesdroppers. Then, the details of the highly directive channel of Bob and the scatter channel of Eve are investigated, respectively.
2.1. Signal Model
As shown in Figure 1a, a transmitter (Alice) sends a highly directive THz wave to the receiver (Bob) in the presence of multiple eavesdroppers (Eves). A PEC on the origin O is put inside this narrow beam between Alice and Bob. When there is an incident beam, PEC will scatter the THz signal to Eves in all directions (see Appendix A). We note that the PEC is located at the very edge of the THz beam with only a sliver of THz wave so it will not cast a detectable shadow in the receiver Bob. Additionally, the PEC is a cylinder which has the advantage of being able to scatter light in all directions, giving an attacker more flexibility. We model the locations of multiple eavesdroppers by the homogeneous Poisson point process (PPP) in a circle region of radius with a density , as shown in Figure 1b. The total number of Eves in PPP is a random variable but the average number can be determined by . Due to the short transmission distance ( m) in an indoor environment, all receivers are supposed to be in a high SNR regime. Alice has N antennas while Bob and all the Eves use only one antenna each for reception.
Figure 1.
System model. (a) Alice transmits a highly directive THz signal to Bob with or without AN . A PEC (orange cylinder) located at the edge of beam can scatter the incident THz wave to Eves in all directions. (b) The spatial distribution of Eves is modeled as PPP in a circle region. The objects in this indoor scene can scatter THz signals.
When traditional beamforming is adopted, the received symbols at Bob and i-th Eve are, respectively, given by:
where and are both vectors denoting the channel between Alice and Bob and between Alice and the i-th Eve, respectively; is the total number of eavesdroppers; is the transmitted signal containing the beamforming vector and signal with useful information; and are i.i.d. additive white Gaussian noise with . We assume that both Alice and Bob only know the CSI of , while Eve knows both and perfectly, which is a more rigorous scenario for the security issue [37,38,39].
With the introduction of AN beamforming, the transmitted THz signal can be carefully designed as: . The information signal , where the beamforming vector and signal with a variance of . The AN , where the matrix is the null space of vector so that while and noise vector contains random noise elements with a variance of . Consequently, the received signals of Bob and i-th Eve are, respectively, given by:
The AN passes through the channel and finally develops into the additional noise . We stress that, despite the AN, the on Alice’s side is sent to both the i-th Eve and Bob, whereas on the receiving side, the AN only deteriorates the i-th Eve without impacting Bob. As we can see, there is additional noise on Equation (4) while there is no extra term on Equation (3).
The total transmitter power , where denotes the conjugate transpose. We define as the fraction of to the total transmit power P. When , the AN beamforming is equivalent to traditional beamforming as the information signal is transmitted with the full power P. We note that is an important design parameter that can optimize the secrecy performance.
2.2. Highly Directive Channel
The channel model of Bob can be obtained as:
where is the large-scale factor denoting the fixed pass loss and is the small-scale random vector containing N elements. The influenced by the free space pass loss (FSPL) and highly directive antennas is given by:
where and , respectively, represent the antenna gains of Alice and Bob, and stands for the wavelength, and is the distance between Alice and Bob.
Unlike the conventional channel on the microwave band where the small-scale fading follows normal distribution, on the THz band is usually represented by Nakagami-m distribution with the i-th element , which has recently been proven by experiments [40,41]. Finally, according to Equation (3), the signal-to-noise ratio (SNR) of Bob is given by:
where and are given by Equation (6).
2.3. Scatter Channel
The scatter channel of Eve is given by:
where and are, respectively, the large-scale factor and small-scale random vector of i-th Eve. The and are totally different from and owing to the PEC between Alice and Bob. The PEC between Alice and Bob is a kind of material with infinite conductivity and zero electric field inside. When the incident field strikes the surface of PEC, it provokes a surface current that generates a scattered field and total reflection occurs. By adopting the method of moments (MoM) [42], the scatter field around the PEC at i-th Eve is given by (see Appendix A):
where k is the wave number, is the intrinsic impedance of free space, is the distance between the PEC and i-th Eve and the matrices are determined by the shape, size, and location of the PEC. Here, we assume that the PEC is a cylinder with sufficient height. As such, we can denote the scattering coefficient , where a is the radius of PEC and is the distance between Alice and PEC. Therefore, the can be derived as:
where we assume that Bob and all Eves have the same antenna gain .
The scattering coefficient K is influenced by a and . As shown in Figure 2, the THz wave nearly scatters uniformly around the PEC center (, [42]) and the scattered field gradually fades along as it becomes farther away from the center. The scattering coefficient K increases with radius a and decreases with , as we can see since the color in Figure 2b is deeper than that in Figure 2a.
Figure 2.
The scattered fields of PEC for (a) a = 20 mm, = 2 m (b) a = 40 mm, = 2 m (c) a = 40 mm, = 1.5 m. The maximum values were cut off at 8 since only a few values exceed it.
Unlike the main channel wherein a direct line-of-sight (LOS) link exists between Alice and Bob, Eve indirectly receives the signal information from non-line-of-sight (NLOS) transmission. Many rays will scatter from PEC and finally converge on Eve’s side as each point on the surface of PEC can generate an electromagnetic field. As such, a tiny move of PEC or Eve may tremendously change the received signal strength. Therefore, we assume , which is also a Rayleigh distribution. Based on Equation (4), the SNR of i-th Eve is given by:
where , , , the PDF of random variable is given by and , holds for considering the worst-case situation where the normalized noise are arbitrarily small. Note that this approach was also taken in [16,35,37].
3. Secrecy Performance
In this section, we introduce STP and ECS which are both secrecy performance metrics. Then, we analyze the secrecy performance with and without AN in both non-colluding and colluding cases.
3.1. Performance Metrics
In the non-colluding case, the eavesdropper individually overhears the communication between Alice and Bob without any centralized processing. Therefore, the SNR of multiple eavesdroppers is given by SNR = max (SNR), where SNR is defined in Equation (11). Whereas, in the colluding case, Eves are capable of sending the information to a central data processing unit (CDPU) and jointly process their received information as shown in Figure 1a. Thus, the SNR of multiple eavesdroppers is given by SNR = SNR. We adopt the following metrics to evaluate the secrecy performance of the proposed system.
Secure transmission probability (STP): STP is defined as a complementary element of secrecy outage probability (SOP) [31]. A supremum of the secrecy transmission rate R is determined by the difference of the main channel capacity and the wiretap channel capacity . If secrecy transmission rates R are less than this supremum , a secure transmission can be realized, otherwise, a secrecy outage occurs. The STP in non-colluding and colluding cases are, respectively, defined as:
Ergodic secrecy capacity (ESC): ESC is defined as the average transmission rate of the confidential message, which is formulated as:
In practice, ECS is used to describe the fast fading channel while STP for a slow fading channel. However, the numerical value of ECS is still determined by the STP. As long as we obtain the STP, the ESC can be simply calculated by its integration.
3.2. Non-Colluding Eavesdroppers
In a non-colluding eavesdroppers scenario, we investigated the STP for traditional beamforming () and AN beamforming (). When traditional beamforming is adopted, we derived the exact value of STP, whereas AN is introduced, and we calculated the lower bound of STP which is a rigorous assumption and common practice [16,37]. We denote the STP for traditional beamforming as and for AN beamforming as , respectively. Based on Equation (12), is given by:
where holds for , and the probability generating functional lemma (PGFL, ref. [43]) over PPP.
By denoting , we have . As , the Equation (15) can finally be derived as:
where .
Similarly to the calculation of and by denoting , is given by:
where holds for and the PGFL over PPP.
3.3. Colluding Eavesdroppers
In colluding case, we denote the STP without AN as and with AN as , respectively. The STP is given by:
We let and thus can be modified as:
where is the probability density function (PDF) of and , holds for and the complementary cumulative distribution function (CCDF) of is given by , where and . The Laplace transformation of function is given by:
By adopting Bruno’s formula [44], we can obtain the n-degree derivation of as:
where the sum is over all the solutions to . By denoting , and are given by:
When AN beamforming is introduced, is given by:
We let and thus can be rewritten as:
where is the PDF of and . As long as we obtain , can be calculated. The Laplace transformation is given by:
where , is the N-degree exponential integral and . As such, the n-degree of is given by:
where and are given by:
4. Security Analysis
In what follows, we describe Eve’s strategies to degrade the secrecy performance with a PEC, and then we show the function of AN as a countermeasure to resist the multiple eavesdroppers. Meanwhile, power allocation as a significant parameter of AN beamforming is also analyzed. Table 1 shows the parameter settings.
4.1. Eve’s Attack
The intensity of Eves’ attack is affected by the spatial distribution. In Figure 3a, when we compare the blue line with the red and yellow line, respectively, we find that the covering radius has little effect on STP while density significantly reduces the STP. However, in Figure 3b, both the value of and have significant impacts on the STP. The reason is that the SNR of multiple eavesdroppers in the non-colluding case depends on the ‘nearest’ Eve which has the best channel quality while the SNR in the colluding case only depends on the total number. The parameter can barely increase the chance of the ‘nearest’ Eve as the THz transmit power quickly attenuates with the distance but indeed increases the total number of them. Therefore, from Eves’ perspective, they have to focus on ‘a better channel’ or ‘a better location’ rather than the total number in a non-colluding case, as we can see the STP of the case when = 17 performs even better than the STP when in Figure 3a.
Figure 3.
Secure transmission probability (STP) under different and for (a) non-colluding case and (b) colluding case. Parameters are given by: G = 25 dBi; N = 5; f = 300 GHz; and P = −10 dBm.
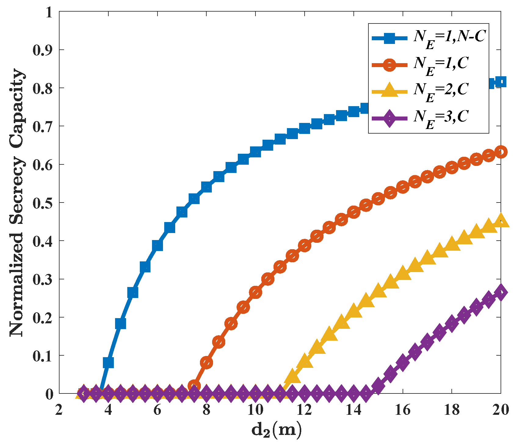
In Figure 4, we use normalized secrecy capacity [30] to show the extent to which Eves reduce the secrecy capacity in non-colluding and colluding cases, respectively. It is shown that for = 20, the existence of Eves reduces the original capacity by 20% in non-colluding case and by nearly 40% in colluding case.
Figure 4.
The normalized secrecy capacity as a function of in the non-colluding and colluding cases. Here, all the eavesdroppers have the same distance to the PEC and the channel fading is ignored. Other parameters are given by: G = 25 dBi; f = 300 GHz; P = −10 dBm; = 15 m; and = 1 m.
Eve can move the PEC closer to Alice to strengthen the attack. In Figure 5, we find that the ESC monotonically increases with (PEC) while decreasing with the (Bob). In addition, the parameters and may have interacted with each other. For example, for = 3, a unit increase in will give birth to the improved ESC by ESC = 1.45. For = 5, ESC becomes 1.95. That is to say, () may exhibit a different effect when the other factor changes. Furthermore, if PEC is located in the midpoint between Alice and Bob, the ESC will not change significantly with the increase in , as we can see that the white line in Figure 5 nearly remains unchanged at ESC = 4.85.
Figure 5.
Ergodic secrecy capacity (ESC) as a function of (Alice–Bob) and (Alice–PEC) for (a) non-colluding eavesdroppers and (b) colluding eavesdroppers. Other parameters are given by: dBi; N = 3; f = 300 GHz; P = −10 dBm; = 15 m; and = 0.015.
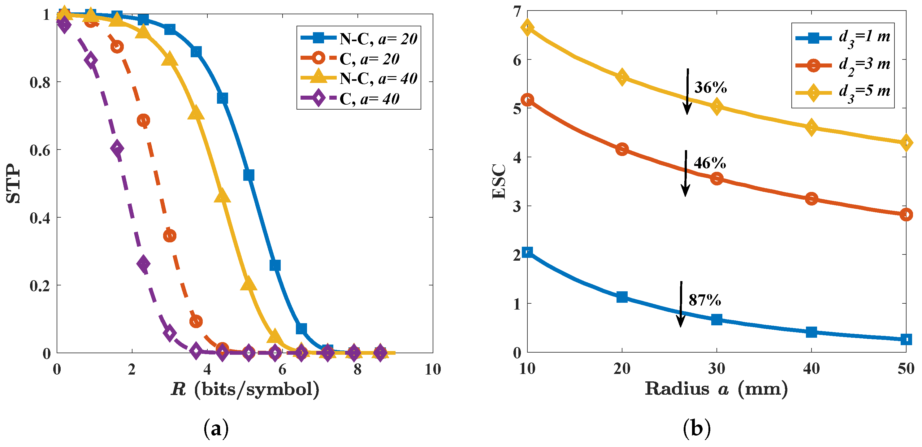
Eve can increase the size of PEC to strengthen the attack. In Figure 6a, we find that the STP will decrease when the radius a rises from 20 mm to 40 mm, regardless of whether it is in the non-colluding case or in the colluding case. As shown in Figure 2, as a grows from 20 mm to 40 mm, the electromagnetic field around the PEC will be augmented and hence Eves obtains better signal quality. Additionally, we find that Eves benefit from increasing a to various degrees when the location of PEC changes. For = 5 m, as shown in Figure 6b, reducing a from 10 mm to 50 mm will lead to an ESC decrease of 36%. For = 1 m, however, reducing a from 10 to 50 decreases the ESC by 87% to nearly 0 which means that Eves can almost intercept all the information. Since being too near to Alice will increases the risk of being detected, Eve’s strategy is to select a proper size and optimal location in such a way she can obtain as good a signal strength as possible and hide herself simultaneously.
Figure 6.
(a) Influence of radius a on STP. (b) ESC versus radius a under different PEC location . The solid line describes the non-colluding case while the dashed line describes the colluding case. Other parameters are given by: G = 25 dBi; N = 3; f = 300 GHz; P = −10 dBm; = 15 m; and = 0.04.
4.2. AN as a Countermeasure
We find that the AN beamforming can compensate for the detriment of multiple eavesdroppers. As shown in Figure 7, the increase in causes an STP () reduction from 0.85 to 0.75 and 0.5 to 0.1, respectively. However, with the introduction of AN in the non-colluding case, the STP () rises to 0.95, leading to an improvement of nearly 27%. In the colluding case, the STP rises to 0.7, corresponding to an improvement of 600%. It is noteworthy that the detriment of multiple eavesdroppers in the colluding case is more than that in the non-colluding case. In the non-colluding case, for , the STP with AN beamforming () is higher than that with traditional beamforming (). However, in the colluding case, the situation is reversed for which means that colluding eavesdroppers cause greater damage to transmission security.
Figure 7.
The benefit of AN on STP for (a) a non-colluding case; and a (b) colluding case. Other parameters are given by: G = 25 dBi, N = 3, f = 300 GHz, P = −10 dBm, = 15 m, = 0.3.
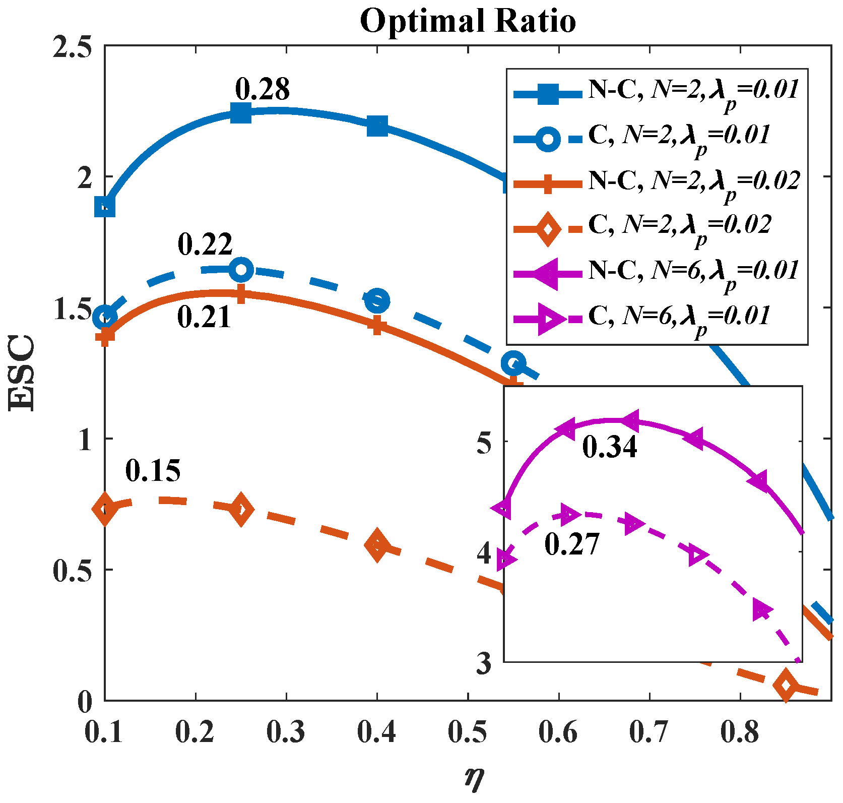
In Figure 8, we find that the optimal depends on both density and the number of antennas N. For (blue and yellow line), the optimal in the non-colluding and colluding cases is 0.28 and 0.22, respectively, which are larger than 0.21 and 0.15 for . More Eves around PEC signify stronger information attacks. Therefore, Alice must allocate more transmission power to AN to resist the adverse effect of the added Eves. Additionally, the optimal value of increases with N. As shown in the inset, the optimal are 0.34 and 0.27 for while 0.28 and 0.22 for . We stress that only Bob benefits from the increase in antennas since the transmitter maximizes the signal strength to Bob and the signal power at Eves’ side remains unchanged.
Figure 8.
The optimal under different and N. The solid line describes non-colluding cases while the dashed line describes colluding cases. The main figure for N = 2 while the inset for N = 6. Other parameters are given by: G = 27 dBi; f = 300 GHz; P = −10 dBm; and = 15 m.
In Figure 9, we find that the ESC decreases with the f while increasing with the P when . For a system without AN, the ESC will not be influenced by P since and benefit from them to the same extent, as shown by Equations (7) and (11). However, with the introduction of AN, P can no longer influence the supremum of but still impacts . Additionally, we also find P and f cannot significantly change the optimal . In Figure 9a,b, the optimal varies in the ranges of 0.27∼0.31 and 0.26∼0.3 with standard deviations (STD) of 1.13 and 1.14 , respectively, lending to a tiny change. We note that despite Figure 9 only showing a non-colluding case, the same rule can also be applied to the colluding scenario.
Figure 9.
Secrecy performance in a non-colluding case. (a) The ECS as a function of and f with 10 dBm; (b) The ECS as a function of and P with f = 300 GHz. Other parameters are given by: G = 25 dBi, N = 3, = 15 m, = 0.02.
5. Discussion
In practice, the first step to guarantee transmission security is to determine whether attackers exist instead of determining how to resist attackers. Therefore, before using unique techniques (such as AN), we should adopt a specific measure to detect the existence of an attacker, otherwise, many resources will be wasted. Recent work in [30] can successfully distinguish the suspicious objects from the ordinary environment through measuring the incoming signal. Here, we consider the possibility of increasing the beam directivity or enlarging the aperture of the receiver to guarantee the security. In this paper, the diameter of the THz beam is larger than the aperture of the receiver. Thus, Eves can utilize the edge of the beam to realize an attack. However, if the receiver has the ability to capture all of the transmitted THz wave without any leakage, any eavesdroppers trying to put an object in the beam will cause an extensive power reduction on Bob’ side. In this case, if Eves still wants to implement an attack, she needs to either utilize the misalignment effect between Alice and Bob which may also induce a leakage or pretend to be irrelevant moving objects. Nevertheless, either way, Eves’ strategy to implement an attack would be significantly more complicated and harder to implement. Another purpose of increasing the directivity is to resist the interference. Transceivers on the same unlicensed bandwidth may have interacted with each other. Additionally, jammers can also take advantage of this large bandwidth in the THz band for interference [45]. Increasing their directivity gains can make irrelevant transceivers and jammers either less effective or need to increase their transmit power.
In some cases, Eves are not afraid of being found because they are intended to block the signal power of Bob (reduce the secrecy capacity at the same time). As a countermeasure, multiple IRS-assisted THz systems with opportunistic connectivity may be a choice since Alice can choose different ways to transmit the signal and design unique beamforming schemes to maximize the secrecy rate performance. Researchers have found that opportunistic connectivity [46] with well-designed beamforming schemes can significantly boost the secrecy rate performance and reduce blocking probability.
6. Conclusions
In this paper, we investigated the secure transmission of THz waves in the indoor environment against randomly distributed eavesdroppers. We established the PLS model for this THz communication system, where Bob’s channel is featured by a highly directive beam while Eve’s channel scatters THz waves. Particularly, we characterize both channels with stochastic small-scale fading in order to accommodate the random variation in practice such as scattering on aerosols or the movement of objects. The security performance of traditional beamforming and AN beamforming in both non-colluding and colluding cases are analyzed by deriving the STP and ESC. Based on our analysis, we reveal that Eves can indeed take different strategies to degrade the secrecy performance, for instance, by changing the size or the distance of the scatter and increasing the density. To deal with this issue, an AN beamforming technique with a well-designed power allocation can be an effective candidate to counterbalance this adverse effect. Our study can not only serve as an inspiration for eavesdropping scenes but also for a widespread network scenario. Future work may extend this point-to-point communication scene to an indoor THz wireless local area networks (WLANs) which seem more appealing.
Author Contributions
Design, fabrication, and data analysis, Y.H. and X.Y.; software, Y.H. and L.Z., writing—original draft preparation, Y.H.; writing—review and editing, S.L. and H.Z.; supervision, X.Y. All authors have read and agreed to the published version of the manuscript.
Funding
This work was supported by the National Key Research and Development Program of China (2020YFB1805700), in part by the Natural National Science Foundation of China under Grant 62101483, in part by the Natural Science Foundation of Zhejiang Province under Grant LQ21F010015, the Fundamental Research Funds for the Zhejiang Lab (no. 2020LC0AD01), the State Key Laboratory of Advanced Optical Communication Systems and Networks of Shanghai Jiao Tong University and in part by Zhejiang Lab (NO. 2020LC0AA03).
Data Availability Statement
Not applicable.
Conflicts of Interest
The authors declare no conflict of interest.
Appendix A
When the incident field strikes the surface of PEC, it provokes surface current on PEC, which in turn generates a scattered field which is given by:
where is the field point on the plane, is the source point on the surface and is the Hankel function of the second kind of zero order. The integral in Equation (A1) is along the surface C which is divided into segments. According to the property of PEC, the incident field of segment n is given by:
where , is, respectively, the midpoint of segment n and m and is the length of segment m. By applying Equation (A2) to all the segments, there are totally equations and all the equations can be cast in matrix form as:
where the elements of impedance matrix are influenced by the PEC itself and the incident field of segment n is also given by , where is the distance between Alice and the segment n. Finally, we can calculate the scatter field by substituting and Equation (A3) into Equation (A2):
where , , (e) holds for in the THz band so that approximations can be made with .
References
- Nagatsuma, T.; Ducournau, G.; Renaud, C.C. Advances in terahertz communications accelerated by photonics. Nat. Photonics 2016, 10, 371–379. [Google Scholar] [CrossRef]
- Chen, S.; Liang, Y.C.; Sun, S.; Kang, S.; Cheng, W.; Peng, M. Vision, requirements, and technology trend of 6G: How to tackle the challenges of system coverage, capacity, user data-rate and movement speed. IEEE Wirel. Commun. 2020, 27, 218–228. [Google Scholar] [CrossRef]
- Huq, K.M.; Kazi, M.S.; Busari, S.A.; Rodriguez, J.; Frascolla, V.; Bazzi, W.; Sicker, D.C. Terahertz-enabled wireless system for beyond-5G ultra-fast networks: A brief survey. IEEE Netw. 2019, 33, 89–95. [Google Scholar] [CrossRef]
- Zhang, Z.; Xiao, Y.; Ma, Z.; Xiao, M.; Ding, Z.; Lei, X.; Karagiannidis, G.K.; Fan, P. 6G wireless networks: Vision, requirements, architecture, and key technologies. IEEE Veh. Technol. Mag. 2019, 14, 28–41. [Google Scholar] [CrossRef]
- Han, C.; Bicen, A.O.; Akyildiz, I.F. Multi-ray channel modeling and wideband characterization for wireless communications in the terahertz band. IEEE Trans. Wirel. Commun. 2015, 14, 2402–2412. [Google Scholar] [CrossRef]
- Yu, X.; Jia, S.; Hu, H.; Galil, M.; Morioka, T.; Jepsen, P.U.; Oxenløwe, L.K. 160 Gbit/s photonics wireless transmission in the 300–500 GHz band. Apl Photonics 2016, 1, 081301. [Google Scholar] [CrossRef]
- Jia, S.; Pang, X.; Ozolins, O.; Yu, X.; Hu, H.; Yu, J.; Guan, P.; Ros, F.D.; Po, S.; Jacobsen, G.; et al. 0.4 THz photonic-wireless link with 106 Gb/s single channel bitrate. J. Lightw. Technol. 2018, 36, 610–616. [Google Scholar] [CrossRef]
- Zhang, H.; Zhang, L.; Wang, S.; Lu, Z.; Yang, Z.; Liu, S.; Qiao, M.; He, Y.; Pang, X.; Zhang, X.; et al. Tbit/s multi-dimensional multiplexing THz-over-fiber for 6G wireless communication. J. Lightw. Technol. 2021, 39, 5783–5790. [Google Scholar] [CrossRef]
- Wang, S.; Lu, Z.; Li, W.; Jia, S.; Zhang, L.; Qiao, M.; Pang, X.; Idrees, N.; Saqlain, M.; Gao, X.; et al. 26.8-m THz wireless transmission of probabilistic shaping 16-QAM-OFDM signals. APL Photonics 2020, 5, 056105. [Google Scholar] [CrossRef]
- Harter, T.; Füllner, C.; Kemal, J.N.; Ummethala, S.; Steinmann, J.L.; Brosi, M.; Hesler, J.L.; Bründermann, E.; Müller, A.-S.; Freude, W.; et al. Generalized Kramers–Kronig receiver for coherent terahertz communications. Nat. Photonics 2020, 14, 601–606. [Google Scholar] [CrossRef]
- Idrees, N.M.; Lu, Z.; Saqlain, M.; Zhang, H.; Wang, S.; Zhang, L.; Yu, X. A W-Band Communication and Sensing Convergence System Enabled by Single OFDM Waveform. Micromachines 2022, 13, 312. [Google Scholar] [CrossRef]
- Yang, P.; Xiao, Y.; Xiao, M.; Li, S. 6G wireless communications: Vision and potential techniques. IEEE Netw. 2019, 33, 70–75. [Google Scholar] [CrossRef]
- Tariq, F.; Khandaker, M.R.; Wong, K.K.; Imran, M.A.; Bennis, M.; Debbah, M. A speculative study on 6G. IEEE Wirel. Commun. 2020, 27, 118–125. [Google Scholar] [CrossRef]
- Zou, Y.; Zhu, J.; Wang, X.; Hanzo, L. A survey on wireless security: Technical challenges, recent advances, and future trends. Proc. IEEE 2016, 104, 1727–1765. [Google Scholar] [CrossRef]
- Yang, N.; Wang, L.; Geraci, G.; Elkashlan, M.; Yuan, J.; Renzo, M.D. Safeguarding 5G wireless communication networks using physical layer security. Nat. Photonics 2015, 53, 20–27. [Google Scholar] [CrossRef]
- Goel, S.; Negi, R. Guaranteeing secrecy using artificial noise. IEEE Trans. Wirel. Commun. 2008, 7, 2180–2189. [Google Scholar] [CrossRef]
- Li, B.; Zhang, M.; Rong, Y.; Han, Z. Artificial Noise-Aided Secure Relay Communication With Unknown Channel Knowledge of Eavesdropper. IEEE Trans. Wirel. Commun. 2021, 20, 3168–3179. [Google Scholar] [CrossRef]
- Yang, F.; Zhang, K.; Zhai, Y.; Quan, J.; Dong, Y. Artificial Noise Design in Time Domain for Indoor SISO DCO-OFDM VLC Wiretap Systems. J. Lightw. Technol. 2021, 39, 6450–6458. [Google Scholar] [CrossRef]
- Xu, W.; Li, B.; Tao, L.; Xiang, W. Artificial Noise Assisted Secure Transmission for Uplink of Massive MIMO Systems. IEEE Trans. Veh. Technol. 2021, 70, 6750–6762. [Google Scholar] [CrossRef]
- Ding, X.; Song, T.; Zou, Y.; Chen, X.; Hanzo, L. Security-reliability tradeoff analysis of artificial noise aided two-way opportunistic relay selection. IEEE Trans. Veh. Technol. 2017, 66, 3930–3941. [Google Scholar] [CrossRef]
- Wyner, A.D. The wire-tap channel. Bell Syst. Tech. J. 1975, 54, 1355–1387. [Google Scholar] [CrossRef]
- Gopala, P.K.; Lai, L.; Gamal, H.E. On the secrecy capacity of fading channels. IEEE Trans. Inf. Theory 2008, 10, 4687–4698. [Google Scholar] [CrossRef]
- Shafiee, S.; Liu, N.; Ulukus, S. Towards the secrecy capacity of the Gaussian MIMO wire-tap channel: The 2-2-1 channel. IEEE Trans. Inf. Theory 2009, 55, 4033–4039. [Google Scholar] [CrossRef]
- Helena, R.P.; Jordi, H.J. Computational and energy costs of cryptographic algorithms on handheld devices. Future Internet 2011, 3, 31–48. [Google Scholar]
- Jia, S.; Lo, M.-C.; Zhang, L.; Ozolins, O.; Udalcovs, A.; Kong, D.; Pang, X.; Yu, X.; Xiao, S.; Popov, S.; et al. Integrated dual-DFB laser for 408 GHz carrier generation enabling 131 Gbit/s wireless transmission over 10.7 meters. In Proceedings of the Optical Fiber Communication Conference, San Diego, CA, USA, 7 March 2019. [Google Scholar]
- Guerboukha, H.; Shrestha, R.; Neronha, J.; Ryan, O.; Hornbuckle, M.; Fang, Z.; Mittleman, D.M. Efficient leaky-wave antennas at terahertz frequencies generating highly directional beams. Appl. Phys. Lett. 2020, 117, 261103. [Google Scholar] [CrossRef]
- Qiao, J.; Alouini, M. Secure Transmission for Intelligent Reflecting Surface-Assisted mmWave and Terahertz Systems. IEEE Wirel. Commun. Lett. 2020, 9, 1743–1747. [Google Scholar] [CrossRef]
- Qiao, J.; Zhang, C.; Dong, A.; Bian, J.; Alouini, M. Securing Intelligent Reflecting Surface Assisted Terahertz Systems. IEEE Trans. Veh. Technol. 2022. accepted. [Google Scholar] [CrossRef]
- Steinmetzer, D.; Chen, J.; Classen, J.; Knightly, E.; Hollick, M. Eavesdropping with periscopes: Experimental security analysis of highly directional millimeter waves. In Proceedings of the IEEE Conference on Communications and Network Security (CNS), Florence, Italy, 28–30 September 2015. [Google Scholar]
- Ma, J.; Shrestha, R.; Adelberg, J.; Yeh, C.Y.; Hossain, Z.; Knightly, E.; Jornet, J.M.; Mittleman, D.M. Security and eavesdropping in terahertz wireless links. Nature 2018, 563, 89–93. [Google Scholar] [CrossRef]
- Ju, Y.; Wang, H.W.; Zheng, T.X.; Yin, Q.; Lee, M.H. Safeguarding millimeter wave communications against randomly located eavesdroppers. IEEE Trans. Wirel. Commun. 2018, 17, 2675–2689. [Google Scholar] [CrossRef]
- Wu, Y.; Kokkoniemi, J.; Han, C.; Juntti, M. Interference and coverage analysis for terahertz networks with indoor blockage effects and line-of-sight access point association. IEEE Trans. Wirel. Commun. 2020, 20, 1472–1486. [Google Scholar] [CrossRef]
- Pinto, P.C.; Barros, J.; Win, M.Z. Wireless physical-layer security: The case of colluding eavesdroppers. In Proceedings of the IEEE International Symposium on Information Theory, Seoul, Korea, 28 June–3 July 2009. [Google Scholar]
- Zhou, X.; Ganti, R.K.; Andrews, J.G. Secure wireless network connectivity with multi-antenna transmission. IEEE Trans. Wirel. Commun. 2011, 10, 425–430. [Google Scholar] [CrossRef]
- Zhang, X.; Zhou, X.; McKay, M.R. Enhancing secrecy with multi-antenna transmission in wireless ad hoc networks. IEEE Trans. Inf. Forensics Secur. 2013, 11, 1802–1814. [Google Scholar] [CrossRef]
- Xu, Q.; Ren, P.; Song, H.; Du, Q. Security enhancement for IoT communications exposed to eavesdroppers with uncertain locations. IEEE Access 2016, 4, 2840–2853. [Google Scholar] [CrossRef]
- Zhou, X.; McKay, M.R. Secure transmission with artificial noise over fading channels: Achievable rate and optimal power allocation. IEEE Trans. Veh. Technol. 2010, 59, 3831–3842. [Google Scholar] [CrossRef]
- Wang, H.M.; Zheng, T.; Xia, X.G. Secure MISO wiretap channels with multiantenna passive eavesdropper: Artificial noise vs. artificial fast fading. IEEE Trans. Wirel. Commun. 2015, 14, 94–106. [Google Scholar] [CrossRef]
- Zhang, X.; McKay, M.R.; Zhou, X.; Heath, R.W. Artificial-noise-aided secure multi-antenna transmission with limited feedback. IEEE Trans. Wirel. Commun. 2015, 14, 2742–2754. [Google Scholar] [CrossRef]
- Papasotiriou, E.N.; Boulogeorgos, A.A.A.; Alexiou, A. Performance analysis of THz wireless systems in the presence of antenna misalignment and phase noise. IEEE Commun. Lett. 2020, 24, 1211–1215. [Google Scholar] [CrossRef]
- Ekti, A.R.; Boyaci, A.; Alparslan, A.; Ünal, İ.; Yarkan, S.; Görçin, A.; Arslan, H.; Uysal, M. Statistical modeling of propagation channels for terahertz band. In Proceedings of the IEEE Conference on Standards for Communications and Networking (CSCN), Helsinki, Finland, 18–20 September 2017. [Google Scholar]
- Sadiku, M.N. Numerical Techniques in Electromagnetics, 2nd ed.; CRC Press: Boca Raton, FL, USA, 2000. [Google Scholar]
- Stoyan, D.; Kendall, W.; Mecke, J. Stochastic Geometry and Its Applications, 2nd ed.; John Wiley and Sons: Hoboken, NJ, USA, 1996. [Google Scholar]
- Johnson, W. The curious history of Faà di Bruno’s formula. Am. Math. Mon. 2002, 109, 217–234. [Google Scholar]
- Shrestha, R.; Guerboukha, H.; Fang, Z.; Knightly, E.; Mittleman, D.M. Jamming a terahertz wireless link. Nat. Commun. 2022, 13, 3045. [Google Scholar] [CrossRef]
- Boulogeorgos, A.A.A.; Jornet, J.; Alexiou, A. Directional terahertz communication systems for 6G: Fact check: A quantitative look. IEEE Veh. Technol. Mag. 2021, 16, 68–77. [Google Scholar] [CrossRef]
Publisher’s Note: MDPI stays neutral with regard to jurisdictional claims in published maps and institutional affiliations. |
© 2022 by the authors. Licensee MDPI, Basel, Switzerland. This article is an open access article distributed under the terms and conditions of the Creative Commons Attribution (CC BY) license (https://creativecommons.org/licenses/by/4.0/).








