A New Octagonal Close Ring Resonator Based Dumbbell-Shaped Tuning Fork Perfect Metamaterial Absorber for C- and Ku-Band Applications
Abstract
:1. Introduction
2. Design of the Unit Cell and Simulation
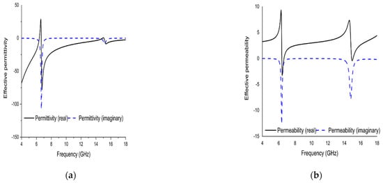
3. Method and Physical Explanation
4. Results and Discussion
5. Parametric Study of the PMA Unit Cell
5.1. Design Optimization
5.2. Effect of Changing the Octagonal Ring Width
5.3. Effect of Varying the Tuning Fork Split Gap
6. Equivalent Circuit of the Proposed Metamaterial Absorber Unit Cell
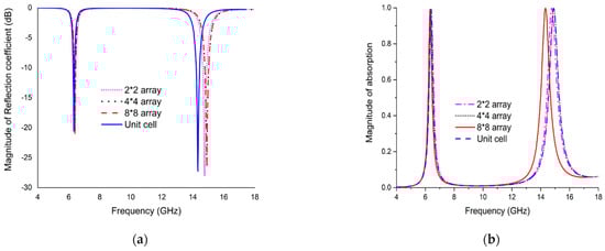
7. Array Simulation of the Unit Cell
8. Validation Using HFSS
9. Conclusions
Author Contributions
Funding
Data Availability Statement
Conflicts of Interest
References
- Smith, D.R.; Pendry, J.B.; Wiltshire, M.C. Metamaterials and negative refractive index. Science 2004, 305, 788–792. [Google Scholar] [CrossRef] [Green Version]
 - Alici, K.B.; Bilotti, F.; Vegni, L.; Ozbay, E. Experimental verification of metamaterial based subwavelength microwave absorbers. J. Appl. Phys. 2010, 108, 083113. [Google Scholar] [CrossRef]
 - Watts, C.M.; Liu, X.; Padilla, W.J. Metamaterial Electromagnetic Wave Absorbers. Adv. Mater. 2012, 24, OP98–OP120. [Google Scholar] [CrossRef] [PubMed]
 - Afsar, S.U.; Faruque, M.R.I.; Hossain, M.J.; Khandaker, M.U.; Osman, H.; Alamri, S. Modified Hexagonal Split Ring Resonator Based on an Epsilon-Negative Metamaterial for Triple-Band Satellite Communication. Micromachines 2021, 12, 878. [Google Scholar] [CrossRef]
 - Salisbury, W.W. Absorber Body for Electromagnetic Waves. U.S. Patent 2599944, 10 June 1952. [Google Scholar]
 - Landy, N.I.; Sajuyigbe, S.; Mock, J.J.; Smith, D.R.; Padilla, W.J. Perfect Metamaterial Absorber. Phys. Rev. Lett. 2008, 100, 207402. [Google Scholar] [CrossRef]
 - Zheng, Z.; Li, P.; Huang, J.; Liu, H.; Zao, Y.; Hu, Z.; Zhang, L.; Chen, H.; Wang, M.-S.; Peng, D.-L.; et al. High performance columnar-like Fe2O3@carbon composite anode via yolk@shell structural design. J. Energy Chem. 2020, 41, 126–134. [Google Scholar] [CrossRef] [Green Version]
 - Xiong, Z.; Cao, L. High magnetic-dielectric tunability in Ni nanocrystals embedded BaTiO3 films. J. Alloys Compd. 2019, 785, 200–205. [Google Scholar] [CrossRef]
 - Liu, C.; Su, W.; Wang, F.; Li, X.; Yang, L.; Sun, T.; Mu, H.; Chu, P.K. Theoretical assessment of a highly sensitive photonic crystal fibre based on surface plasmon resonance sensor operating in the near-infrared wavelength. J. Mod. Opt. 2019, 66, 1–6. [Google Scholar] [CrossRef]
 - Luo, X.; Zhai, X.; Wang, L.L.; Lin, Q. Enhanced dual-band absorption of molybdenum disulfide using plasmonic perfect absorber. Opt. Exp. 2018, 26, 11658–11666. [Google Scholar] [CrossRef]
 - Xu, Y.Q.; Zhou, P.H.; Zhang, H.B.; Chen, L.; Deng, L.J. A wide-angle planar metamaterial absorber based on split ring resonator coupling. J. Appl. Phys. 2011, 110, 044102. [Google Scholar]
 - Hossain, M.J.; Faruque, M.R.I.; Islam, M.T.; Mat, K.B. A New Compact Octagonal Shape Perfect Metamaterial Absorber for Microwave Applications. Appl. Sci. 2017, 7, 1263. [Google Scholar] [CrossRef] [Green Version]
 - Cao, C.; Cheng, Y. A broadband plasmonic light absorber based on a tungsten meander-ring-resonator in visible region. Appl. Phys. A 2019, 125, 15. [Google Scholar] [CrossRef]
 - Fante, R.L.; Mccormack, M.T. Reflection properties of the Salisbury screen. IEEE Trans. Antennas. Propag. 1988, 36, 1443–1454. [Google Scholar] [CrossRef]
 - Park, M.-J.; Choi, J.; Kim, S.-S. Wide bandwidth pyramidal absorbers of granular ferrite and carbonyl iron powders. IEEE Trans. Magn. 2000, 36, 3272–3274. [Google Scholar] [CrossRef]
 - Chen, Z.; Weng, Y.; Liu, J.; Guo, N.; Yu, Y.; Xiao, L. Dual-band perfect absorber for a mid-infrared photodetector based on a dielectric metal metasurface. Photonics Res. 2020, 9, 27. [Google Scholar] [CrossRef]
 - Niu, X.; Qi, D.; Wang, X.; Cheng, Y.; Chen, F.; Li, B.; Gong, R. Improved broadband spectral selectivity of absorbers/emitters for solar thermophotovoltaics based on 2D photonic crystal heterostructures. J. Opt. Soc. Am. A 2018, 35, 1832. [Google Scholar] [CrossRef] [PubMed]
 - Mulla, B.; Sabah, C. Perfect metamaterial absorber design for solar cell applications. Waves Random. Complex 2015, 25, 382–392. [Google Scholar] [CrossRef]
 - Kollatou, T.M.; Dimitriadis, A.I.; Assimonis, S.; Kantartzis, N.V.; Antonopoulos, C.S. A family of ultra-thin, polarization-insensitive, multi-band, highly absorbing metamaterial structures. Prog. Electromagn. Res. 2013, 136, 579–594. [Google Scholar] [CrossRef] [Green Version]
 - Naser-Moghadasi, M.; Nia, A.Z.; Toolabi, M.; Heydari, S. Microwave metamaterial Absorber based on Jerusalem Cross with meandered load for bandwidth enhancement. Opt. Int. J. Light Electron Opt. 2017, 140, 515–522. [Google Scholar] [CrossRef]
 - Lin, B.; Zhao, S.; Da, X.; Fang, Y.; Ma, J.; Li, W.; Zhu, Z. Triple-band low frequency ultra-compact metamaterial absorber. J. Appl. Phys. 2015, 117, 184503. [Google Scholar] [CrossRef]
 - Islam, S.S.; Faruque, M.R.I.; Islam, M.T. Design and absorption analysis of a new multiband split-S-shaped metamaterial. Sci. Eng. Compos. Mater. 2017, 24, 139–148. [Google Scholar] [CrossRef]
 - Zhao, J.; Cheng, Y. Ultra broadband microwave metamaterial absorber based on electric SRR loaded with lumped resistors. J. Electron. Mater. 2016, 45, 5033–5039. [Google Scholar] [CrossRef]
 - Dincer, F.; Karaaslan, M.; Sabah, C. Design and analysis of perfect metamaterial absorber in GHz and THz frequencies. J. Electromagn. Waves Appl. 2015, 29, 2492–2500. [Google Scholar] [CrossRef]
 - Wen, Q.Y.; Zhang, H.W.; Xie, Y.S.; Yang, Q.H.; Liu, Y.L. Dual band terahertz metamaterial absorber: Design, fabrication, and characterization. Appl. Phys. Lett. 2009, 95, 241111. [Google Scholar] [CrossRef]
 - Kim, Y.; Yoo, Y.; Hwang, J.; Lee, Y. Ultra-broadband microwave metamaterial absorber based on resistive sheets. J. Opt. 2016, 19, 015103. [Google Scholar] [CrossRef]
 - Faraji, M.; Moravvej-Farshi, M.K.; Yousefi, L. A switchable THz perfect absorber using graphene-based metamaterials. In Proceedings of the 2014 Third Conference on Millimeter-Wave and Terahertz Technologies (MMWATT), Tehran, Iran, 30 December 2014–1 January 2015. [Google Scholar]
 - Jafari, F.S.; Naderi, M.; Hatami, A.; Zarrabi, F.B. Microwave Jerusalem cross absorber by metamaterial split ring resonator load to obtain polarization independence with triple band application. AEU Int. J. Electron. Commun. 2019, 101, 138–144. [Google Scholar] [CrossRef]
 - Montaser, M. Design of Metamaterial Absorber for all bands from Microwave to Terahertz ranges. IJARECE 2016, 55, 1475–1481. [Google Scholar]
 - Bağmancı, M.; Karaaslan, M.; Ünal, E.; Akgol, O.; Karadağ, F.; Sabah, C. Broad-band polarization-independent metamaterial absorber for solar energy harvesting applications. Phys. E Low-Dimens. Syst. Nanostruct. 2017, 90, 1–6. [Google Scholar] [CrossRef]
 - Abdulkarim, Y.I.; Dalgaç, Ş.; Alkurt, F.O.; Muhammadsharif, F.F.; Awl, H.N.; Saeed, S.R.; Altıntaş, O.; Li, C.; Bakır, M.; Karaaslan, M.; et al. Utilization of a triple hexagonal split ring resonator (SRR) based metamaterial sensor for the improved detection of fuel adulteration. J. Mater. Sci. Mater. Electron. 2021, 32, 24258–24272. [Google Scholar] [CrossRef]
 - Abdulkarim, Y.I.; Awl, H.N.; Alkurt, F.O.; Muhammadsharif, F.F.; Saeed, S.R.; Karaaslan, M.; Bakır, M.; Luo, H. A thermally stable and polarization insensitive square-shaped water metamaterial with ultra-broadband absorption. J. Mater. Res. Technol. 2021, 13, 1150–1158. [Google Scholar] [CrossRef]
 - Sağık, M.; Karaaslan, M.; Ünal, E.; Akgöl, O.; Bakır, M.; Akdogan, V.; Özdemir, E.; Abdulkarim, Y.I. C-shaped split ring resonator type metamaterial antenna design using neural network. Opt. Eng. 2021, 60, 047106. [Google Scholar] [CrossRef]
 - Borah, D.; Bhattacharyya, N.S. Design and Development of Expanded Graphite-Based Non-metallic and Flexible Metamaterial Absorber for X-band Applications. J. Electron. Mater. 2017, 46, 226–232. [Google Scholar] [CrossRef]
 - Hasan, M.M.; Faruque, M.R.I.; Islam, M.T. A tri-band microwave perfect metamaterial absorber. Microw. Opt. Technol. Lett. 2017, 59, 2302–2307. [Google Scholar] [CrossRef]
 - Sen, G.; Islam, S.N.; Banerjee, A.; Das, S. Broadband Perfect Metamaterial Absorber on Thin Substrate for X-Band and Ku-Band Applications. Prog. Electromagn. Res. C 2017, 73, 9–16. [Google Scholar] [CrossRef] [Green Version]
 - Zafar, M.F.; Masud, U.; Rashid, A.; Murtaza, M.; Ullah, T. Comment on ‘An ultrathin and broadband radar absorber using metamaterials. Waves Random Complex Media 2021, 31, 1–6. [Google Scholar] [CrossRef]
 - Xiong, Z.; Cao, L. Tailoring morphology, enhancing magnetization and photocatalytic activity via Cr doping in Bi25FeO40. J. Alloys Compd. 2019, 773, 828–837. [Google Scholar] [CrossRef]
 - Luo, X.; Liu, Z.M.; Wang, L.L.; Liu, J.P.; Lin, Q. Tunable ultra-narrowband and wide-angle graphene-based perfect absorber in the optical communication region. Appl. Phys. Exp. 2018, 11, 105102. [Google Scholar] [CrossRef]
 - Tung, B.S.; Khuyen, B.X.; Yoo, Y.J. Reversibly-propagational metamaterial absorber for sensing application. Mod. Phys. Lett. B 2018, 32, 1850044. [Google Scholar] [CrossRef]
 - Ozturk, Y.; Yilmaz, A.E. Multiband and Perfect Absorber with Circular Fishnet Metamaterial and its Variations. ACES J. 2016, 31, 1445–1451. [Google Scholar]
 - Islam, S.S.; Faruque, M.R.I.; Islam, M.T. An ENG metamaterial based wideband electromagnetic cloak. Microw. Opt. Technol. Lett. 2016, 58, 2522–2525. [Google Scholar] [CrossRef]
 













| Parameter | Dimension (mm) | Parameter | Dimension (mm) | 
|---|---|---|---|
| a | 8 | c | 4 | 
| b | 8 | d | 1.3 | 
| h | 1.8 | e | 1.6 | 
| g | 0.4 | f | 1 | 
| r1 | 4 | r2 | 3.5 | 
| Author Name | Design Structure | Size (mm2) | Proposed Band | Absorption (%) | Year of Published | 
|---|---|---|---|---|---|
| Proposed PMA | Tuning fork shape | 8 × 8 | C-Ku | 99.76 | -- | 
| M. F Zafar et a [37] | L-shape | 8 × 8 | X-band | 90 | 2021 | 
| Islam et al [22] | S-shape | 20 × 20 | S-, X-, Ku-band | 55 | 2017 | 
| Sen et al [36] | L-shape | 9 × 9 | X-, Ku-band | 95 | 2017 | 
| M. M. Hasan et al [35] | Square shape | 10 × 10 | C-, X-, Ku-band | 93 | 2017 | 
| Borah et al [34] | O-shape | 12 × 12 | X-band | 98.90 | 2016 | 
| Kollatou et al [19] | Modified square | 8 × 8 | X-band | 95.81 | 2013 | 
Publisher’s Note: MDPI stays neutral with regard to jurisdictional claims in published maps and institutional affiliations.  | 
© 2022 by the authors. Licensee MDPI, Basel, Switzerland. This article is an open access article distributed under the terms and conditions of the Creative Commons Attribution (CC BY) license (https://creativecommons.org/licenses/by/4.0/).
Share and Cite
Afsar, M.S.U.; Faruque, M.R.I.; Hossain, M.B.; Siddiky, A.M.; Khandaker, M.U.; Alqahtani, A.; Bradley, D.A. A New Octagonal Close Ring Resonator Based Dumbbell-Shaped Tuning Fork Perfect Metamaterial Absorber for C- and Ku-Band Applications. Micromachines 2022, 13, 162. https://doi.org/10.3390/mi13020162
Afsar MSU, Faruque MRI, Hossain MB, Siddiky AM, Khandaker MU, Alqahtani A, Bradley DA. A New Octagonal Close Ring Resonator Based Dumbbell-Shaped Tuning Fork Perfect Metamaterial Absorber for C- and Ku-Band Applications. Micromachines. 2022; 13(2):162. https://doi.org/10.3390/mi13020162
Chicago/Turabian StyleAfsar, Md Salah Uddin, Mohammad Rashed Iqbal Faruque, Md Bellal Hossain, Air Mohammad Siddiky, Mayeen Uddin Khandaker, Amal Alqahtani, and D. A. Bradley. 2022. "A New Octagonal Close Ring Resonator Based Dumbbell-Shaped Tuning Fork Perfect Metamaterial Absorber for C- and Ku-Band Applications" Micromachines 13, no. 2: 162. https://doi.org/10.3390/mi13020162
APA StyleAfsar, M. S. U., Faruque, M. R. I., Hossain, M. B., Siddiky, A. M., Khandaker, M. U., Alqahtani, A., & Bradley, D. A. (2022). A New Octagonal Close Ring Resonator Based Dumbbell-Shaped Tuning Fork Perfect Metamaterial Absorber for C- and Ku-Band Applications. Micromachines, 13(2), 162. https://doi.org/10.3390/mi13020162
        
                                                
