Miniature Mesa Extension for a Planar Submicron AlGaN/GaN HEMT Gate Formation
Abstract
1. Introduction
2. Materials and Methods
2.1. Material Growth
2.2. Device Process
2.3. Proposed Devices Design
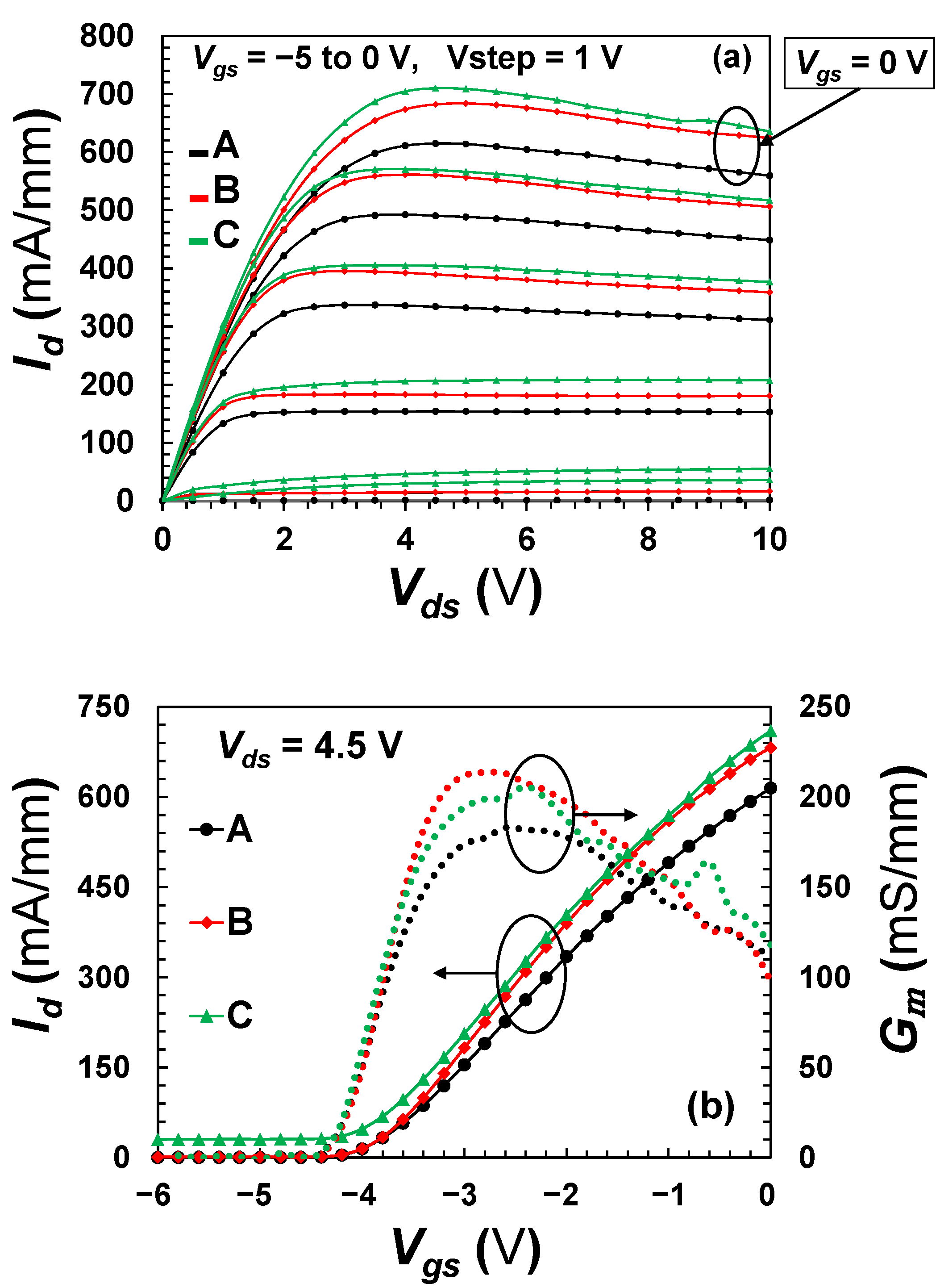
3. Results and Discussion
3.1. DC and RF Performance
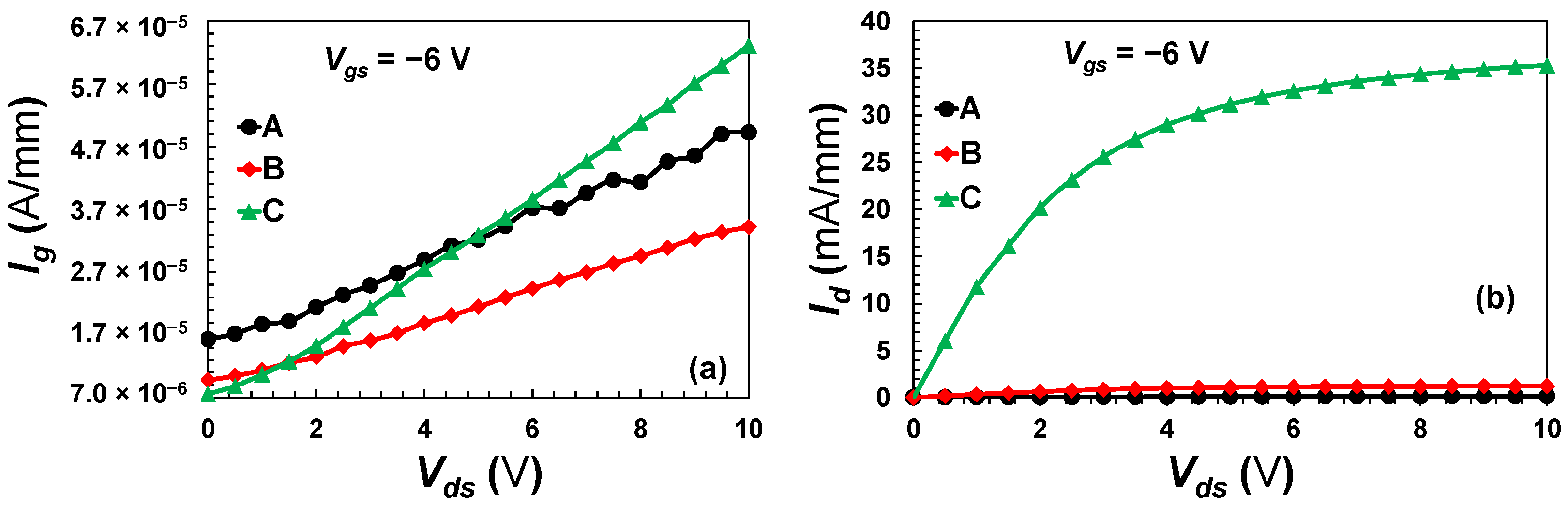
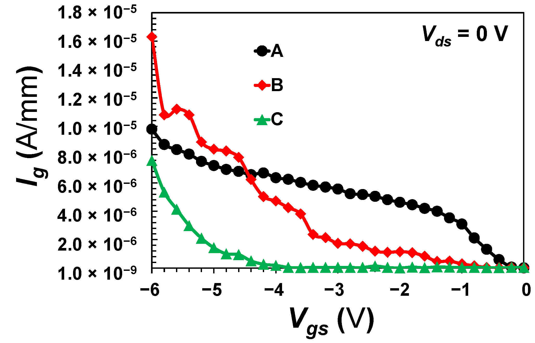
3.2. Gate and Drain Leakage Currents
4. Conclusions
Author Contributions
Funding
Data Availability Statement
Acknowledgments
Conflicts of Interest
References
- Palacios, T.; Shen, L.; Keller, S.; Chakraborty, A.; Heikman, S.; Buttari, D.; DenBaars, S.P.; Mishra, U.K. Demonstration of a GaN-spacer high electron mobility transistor with low alloy scattering. Phys. Status Solidi 2005, 202, 837–840. [Google Scholar] [CrossRef]
- Brown, J.D.; Borges, R.; Piner, E.; Vescan, A.; Singhal, S.; Therrien, R. AlGaN/GaN HFETs fabricated on 100-mm GaN on silicon (111) substrates. Solid State Electron. 2002, 46, 1535–1539. [Google Scholar] [CrossRef]
- Chung, J.W.; Hoke, W.E.; Chumbes, E.M.; Palacios, T. AlGaN/GaN HEMT with 300-GHz fmax. IEEE Electron Device Lett. 2010, 31, 195–197. [Google Scholar] [CrossRef]
- Arulkumaran, S.; Ng, G.I.; Liu, Z.H.; Lee, C.H. High temperature power performance of AlGaN∕GaN high-electron-mobility transistors on high-resistivity silicon. Appl. Phys. Lett. 2007, 91, 083516. [Google Scholar] [CrossRef]
- Leone, S.; Benkhelifa, F.; Kirste, L.; Manz, C.; Quay, R.; Ambacher, O. Epitaxial growth optimization of AlGaN/GaN high electron mobility transistor structures on 3C-SiC/Si. J. Appl. Phys. 2019, 125, 235701. [Google Scholar] [CrossRef]
- Eblabla, A.; Li, X.; Alathbah, M.; Wu, Z.; Lees, J.; Elgaid, K. Multi-Channel AlGaN/GaN Lateral Schottky Barrier Diodes on Low-Resistivity Silicon for Sub-THz Integrated Circuits Applications. IEEE Electron Device Lett. 2019, 40, 878–880. [Google Scholar] [CrossRef]
- Sanabria, C.; Chakraborty, A.; Xu, H.; Rodwell, M.J.; Mishra, U.K.; York, R.A. The effect of gate leakage on the noise figure of AlGaN/GaN HEMTs. IEEE Electron Device Lett. 2006, 27, 19–21. [Google Scholar] [CrossRef]
- Pearton, S.J.; Shul, R.J.; Ren, F. A review of dry etching of GaN and related materials. MRS Internet J. Nitride Semicond. Res. 2000, 5, e11. [Google Scholar] [CrossRef]
- Arulkumaran, S.; Ranjan, K.; Ng, G.I.; Kennedy, J.; Murmu, P.P.; Bhat, T.N.; Tripathy, S. Thermally stable device isolation by inert gas heavy ion implantation in AlGaN/GaN HEMTs on Si. J. Vac. Sci. Technol. B Nanotechnol. Microelectron. Mater. Process. Meas. Phenom. 2016, 34, 042203. [Google Scholar] [CrossRef]
- Mojaver, H.R.; Valizadeh, P. Reverse Gate-Current of AlGaN/GaN HFETs: Evidence of Leakage at Mesa Sidewalls. IEEE Trans. Electron Devices 2016, 63, 1444–1449. [Google Scholar] [CrossRef]
- Elgaid, K.I. A Ka-Band GaAs MESFET Monolithic Downconverter; University of Glasgow: Glasgow, Scotland, 1998. [Google Scholar]
- Bahl, S.R.; Leary, M.H.; del Alamo, J.A.; Bahl, S.R.; del Alamo, J.A. Mesa-Sidewall Gate Leakage in InAlAs/InGaAs Heterostructure Field-Effect Transistors. IEEE Trans. Electron Devices 1992, 39, 2037–2043. [Google Scholar] [CrossRef]
- Binari, S.C.; Dietrich, H.B.; Kelner, G.; Rowland, L.B.; Doverspike, K.; Wickenden, D.K. H, He, and N implant isolation of n-type GaN. J. Appl. Phys. 1998, 78, 3008. [Google Scholar] [CrossRef]
- Johra, F.T.; Jung, W.G. Effect of light-ions implantation on resistivity of GaN thin film. Electron. Mater. Lett. 2014, 10, 699–702. [Google Scholar] [CrossRef]
- Roccaforte, F.; Giannazzo, F.; Iucolano, F.; Bongiorno, C.; Raineri, V. Electrical behavior of AlGaN/GaN heterostuctures upon high-temperature selective oxidation. J. Appl. Phys. 2009, 106, 023703. [Google Scholar] [CrossRef]
- Masato, H.; Ikeda, Y.; Matsuno, T.; Inoue, K.; Nishii, K. Novel high drain breakdown voltage AlGaN/GaN HFETs using selective thermal oxidation process. In Proceedings of the International Electron Devices Meeting 2000. Technical Digest. IEDM (Cat. No.00CH37138), San Francisco, CA, USA, 10–13 December 2000; pp. 377–380. [Google Scholar]
- Fathimulla, A.; Abrahams, J.; Loughran, T.; Hier, H. High-Performance InAlAs/InGaAs HEMT’s and MESFET’s. IEEE Electron Device Lett. 1988, 9, 328–330. [Google Scholar] [CrossRef]
- Newson, D.J.; Merrett, R.P.; Ridley, B.K. Control of gate leakage in InAIAs/InGaAs Hemts. Electron. Lett. 1991, 27, 1592–1593. [Google Scholar] [CrossRef]
- Boos, J.B.; Kruppa, W. InAIAs/InGaAs/InP HEMTs with high breakdown voltages using double-recess gate process. Electron. Lett. 1991, 27, 1909–1910. [Google Scholar] [CrossRef]
- Joh, J.; del Alamo, J.A. A Current-Transient Methodology for Trap Analysis for GaN High Electron Mobility Transistors. IEEE Trans. Electron Devices 2011, 58, 132–140. [Google Scholar] [CrossRef]
- AlN/GaN MOS-HEMTs Technology—Enlighten: Theses. Available online: https://theses.gla.ac.uk/3356/ (accessed on 5 April 2022).
- Hou, B.; Yang, L.; Mi, M.; Zhang, M.; Yi, C.; Wu, M.; Zhu, Q.; Lu, Y.; Zhu, J.; Zhou, X.; et al. High linearity and high power performance with barrier layer of sandwich structure and Al0.05GaN back barrier for X-band application. J. Phys. D Appl. Phys. 2020, 53, 145102. [Google Scholar] [CrossRef]
- Min, S.R.; Cho, M.S.; Lee, S.H.; Park, J.; An, H.D.; Kim, G.U.; Yoon, Y.J.; Seo, J.H.; Jang, J.W.; Bae, J.H.; et al. Analysis for DC and RF Characteristics Recessed-Gate GaN MOSFET Using Stacked TiO2/Si3N4 Dual-Layer Insulator. Materials 2022, 15, 819. [Google Scholar] [CrossRef]
- Tan, W.S.; Houston, P.A.; Parbrook, J.; Hill, G.; Airey, R.J. Comparison of different surface passivation dielectrics in AlGaN/GaN heterostructure field-effect transistors. J. Phys. D Appl. Phys. 2002, 35, 595–598. [Google Scholar] [CrossRef]
- Roff, C.; Benedikt, J.; Tasker, P.J.; Wallis, D.J.; Hilton, K.P.; Maclean, J.O.; Hayes, D.G.; Uren, M.J.; Martin, T. Analysis of DC-RF dispersion in AlGaN/GaN HFETs using RF waveform engineering. IEEE Trans. Electron Devices 2009, 56, 13–19. [Google Scholar] [CrossRef]
- Lee, D.S.; Laboutin, O.; Cao, Y.; Johnson, W.; Beam, E.; Ketterson, A.; Schuette, M.; Saunier, P.; Palacios, T. Impact of Al2O3 passivation thickness in highly scaled GaN HEMTs. IEEE Electron Device Lett. 2012, 33, 976–978. [Google Scholar] [CrossRef]
- Sun, H.; Alt, A.R.; Tirelli, S.; Marti, D.; Benedickter, H.; Piner, E.; Bolognesi, C.R. Nanometric AlGaN/GaN HEMT performance with implant or mesa isolation. IEEE Electron Device Lett. 2011, 32, 1056–1058. [Google Scholar] [CrossRef]
- Shul, R.J.; Zhang, L.; Baca, A.G.; Willison, C.G.; Han, J.; Pearton, S.; Lee, K.P.; Ren, F. Inductively Coupled High-Density Plasma-Induced Etch Damage of GaN MESFETs. MRS Online Proc. Libr. 2000, 622, T7.5.1. [Google Scholar] [CrossRef]
- Li, Y.; Ng, G.I.; Arulkumaran, S.; Liu, Z.H.; Ranjan, K.; Ang, K.S.; Murmu, P.P.; Kennedy, J. Improved planar device isolation in AlGaN/GaN HEMTs on Si by ultra-heavy 131Xe+ implantation. Phys. Status Solidi Appl. Mater. Sci. 2017, 214, 1600794. [Google Scholar] [CrossRef]
- Shiu, J.-Y.; Huang, J.-C.; Desmaris, V.; Chang, C.-T.; Lu, C.-Y.; Kumakura, K.; Makimoto, T.; Zirath, H.; Rorsman, N.; Chang, E.Y. Oxygen ion implantation isolation planar process for AlGaN/GaN HEMTs. IEEE Electron Device Lett. 2007, 28, 476–478. [Google Scholar] [CrossRef]
- Chiu, H.-C.; Chen, C.-H.; Kao, H.-L.; Chien, F.-T.; Weng, P.-K.; Gau, Y.-T.; Chuang, H.-W. Sidewall defects of AlGaN/GaN HEMTs evaluated by low frequency noise analysis. Microelectron. Reliab. 2013, 53, 1897–1900. [Google Scholar] [CrossRef]
- Takatani, S.; Matsumoto, H.; Shigeta, J.; Ohshika, K.; Yamashita, T.; Fukui, M. Generation mechanism of gate leakage current due to reverse-voltage stress in i-AlGaAs/n-GaAs HIGFET’s. IEEE Trans. Electron Devices 1998, 45, 14–20. [Google Scholar] [CrossRef]
- Ohta, H.; Nagashima, A.; Ito, M.; Hori, M.; Goto, T. Formation of silicon nitride gate dielectric films at 300 °C employing radical chemical vapor deposition. J. Vac. Sci. Technol. B Microelectron. Nanom. Struct. Process. Meas. Phenom. 2000, 18, 2486. [Google Scholar] [CrossRef]
- Hwang, I.T.; Jang, K.W.; Kim, H.J.; Lee, S.H.; Lim, J.W.; Yang, J.M.; Kwon, H.S.; Kim, H.S. Analysis of DC characteristics in GaN-based metal-insulator-semiconductor high electron mobility transistor with variation of gate dielectric layer composition by considering self-heating effect. Appl. Sci. 2019, 9, 3610. [Google Scholar] [CrossRef]
- Chu, R.; Shen, L.; Fichtenbaum, N.; Brown, D.; Keller, S.; Mishra, U.K. Plasma treatment for leakage reduction in AlGaN/GaN and GaN Schottky contacts. IEEE Electron Device Lett. 2008, 29, 297–299. [Google Scholar]









| Parameter | Device (A) | Device (B) | Device (C) |
|---|---|---|---|
| IDSS (mA/mm) | 692 | 772 | 813 |
| Pdensity (W/mm) | 6.5 | 7.1 | 7.4 |
| VPinch-off (V) | −4.0 | −4.0 | −4.0 |
| RON (Ω⋅mm) | 3.57 | 3.23 | 3.05 |
| Gm (mS/mm) | 177 | 211 | 198 |
| ƒT (GHz) | 8.08 | 10.08 | 11.02 |
| ƒmax (GHz) | 17.16 | 17.58 | 19.75 |
Publisher’s Note: MDPI stays neutral with regard to jurisdictional claims in published maps and institutional affiliations. |
© 2022 by the authors. Licensee MDPI, Basel, Switzerland. This article is an open access article distributed under the terms and conditions of the Creative Commons Attribution (CC BY) license (https://creativecommons.org/licenses/by/4.0/).
Share and Cite
Alathbah, M.; Elgaid, K. Miniature Mesa Extension for a Planar Submicron AlGaN/GaN HEMT Gate Formation. Micromachines 2022, 13, 2007. https://doi.org/10.3390/mi13112007
Alathbah M, Elgaid K. Miniature Mesa Extension for a Planar Submicron AlGaN/GaN HEMT Gate Formation. Micromachines. 2022; 13(11):2007. https://doi.org/10.3390/mi13112007
Chicago/Turabian StyleAlathbah, Moath, and Khaled Elgaid. 2022. "Miniature Mesa Extension for a Planar Submicron AlGaN/GaN HEMT Gate Formation" Micromachines 13, no. 11: 2007. https://doi.org/10.3390/mi13112007
APA StyleAlathbah, M., & Elgaid, K. (2022). Miniature Mesa Extension for a Planar Submicron AlGaN/GaN HEMT Gate Formation. Micromachines, 13(11), 2007. https://doi.org/10.3390/mi13112007

