Electrochemical Quantification of H2O2 Released by Airway Cells Growing in Different Culture Media
Abstract
1. Introduction
- -
- Cell culture medium (MEM, DMEM, RPMI, Ham’s F12 and bronchial epithelial cell growth media (BEGM)/DMEM);
- -
- Electrochemical quantification technique (CH and LSV);
- -
- Medium dilution (undiluted vs. diluted in PBS (50% v/v));
- -
- Operating temperature (25 °C and 37 °C);
- -
- Interferents (uric acid, sodium chloride, lactic acid, glucose and HEPES);
- -
- Storage condition (immersed in PBS or in deionized water and stored at 4 and 20 °C, sealed under vacuum and stored at 4 and 20 °C or stored at 4 and 20 °C in air).
2. Materials and Methods
2.1. Reagents
2.2. Sensor Fabrication and Electrochemical Detection of H2O2
2.3. Cell Culture Test
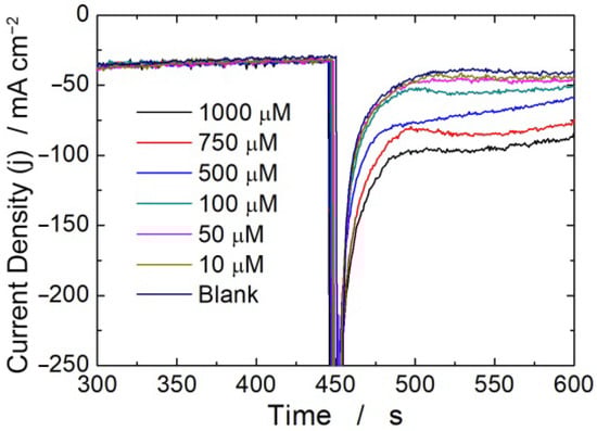
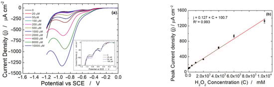
3. Results and Discussion
- -
- Immersed in PBS or in deionized water and stored at 4 and 20 °C;
- -
- Sealed under vacuum and stored at 4 and 20 °C;
- -
- Stored at 4 and 20 °C in air.
4. Conclusions
Supplementary Materials
Author Contributions
Funding
Data Availability Statement
Conflicts of Interest
Abbreviations
| AuNPs-rGO | sensor |
| 16HBE | human normal bronchial epithelial cell line |
| A549 | lung adenocarcinoma cell line |
| ALI | air-liquid interface culture |
| AuNPs | gold nanoparticles |
| BEGM | bronchial epithelial cell growth media (BEGM) |
| B/D | BEGM/DMEM (1:1) medium |
| Carboxy-H2DCFDA | 6-carboxy-2′,7′-dichlorodihydrofluorescein diacetate |
| CH | chronoamperometry |
| COPD | chronic obstructive pulmonary disease |
| CSE | cigarette smoke extract |
| DMEM | Dulbecco’s modified eagle medium (DMEM) |
| FBS | fetal bovine serum (FBS) |
| HEPES | 4-(2-hydroxyethyl)-1-piperazineethanesulfonic acid |
| ITO-PET | indium tin oxide/polyethylene terephthalate substrate |
| LOD | limit of detection |
| LSV | linear scan voltammetry |
| MEM | Eagle’s minimum essential medium (MEM), |
| MFI | mean of fluorescence intensity |
| PBECs | human primary bronchial epithelial cells |
| PBS | Phosphate-buffered saline |
| RES | resveratrol |
| rGO | reduces graphene oxide |
| ROS | reactive oxygen species |
| SCE | saturated calomel electrode |
| RPMI-1640 | Roswell Park Memorial Institute-1640 medium, |
| TEER | trans-epithelial electrical resistance |
References
- Pizzino, G.; Irrera, N.; Cucinotta, M.; Pallio, G.; Mannino, F.; Arcoraci, V.; Squadrito, F.; Altavilla, D.; Bitto, A. Oxidative Stress: Harms and Benefits for Human Health. Oxid. Med. Cell Longev. 2017, 2017, 8416763. [Google Scholar] [CrossRef] [PubMed]
- Valko, M.; Leibfritz, D.; Moncol, J.; Cronin, M.T.D.; Mazur, M.; Telser, J. Free radicals and antioxidants in normal physiological functions and human disease. Int. J. Biochem. Cell Biol. 2007, 39, 44–84. [Google Scholar] [CrossRef] [PubMed]
- Lin, L.-S.; Wang, J.-F.; Song, J.; Liu, Y.; Zhu, G.; Dai, Y.; Shen, Z.; Tian, R.; Song, J.; Wang, Z.; et al. Cooperation of endogenous and exogenous reactive oxygen species induced by zinc peroxide nanoparticles to enhance oxidative stress-based cancer therapy. Theranostics 2019, 9, 7200–7209. [Google Scholar] [CrossRef] [PubMed]
- Kohen, R.; Nyska, A. Invited Review: Oxidation of Biological Systems: Oxidative Stress Phenomena, Antioxidants, Redox Reactions, and Methods for Their Quantification. Toxicol. Pathol. 2002, 30, 620–650. [Google Scholar] [CrossRef]
- Cipollina, C.; Bruno, A.; Fasola, S.; Cristaldi, M.; Patella, B.; Inguanta, R.; Vilasi, A.; Aiello, G.; La Grutta, S.; Torino, C.; et al. Cellular and Molecular Signatures of Oxidative Stress in Bronchial Epithelial Cell Models Injured by Cigarette Smoke Extract. Int. J. Mol. Sci. 2022, 23, 1770. [Google Scholar] [CrossRef]
- Furukawa, S.; Fujita, T.; Shimabukuro, M.; Iwaki, M.; Yamada, Y.; Nakajima, Y.; Nakayama, O.; Makishima, M.; Matsuda, M.; Shimomura, I. Increased oxidative stress in obesity and its impact on metabolic syndrome. J. Clin. Investig. 2004, 114, 1752–1761. [Google Scholar] [CrossRef]
- Ganguli, G.; Mukherjee, U.; Sonawane, A. Peroxisomes and Oxidative Stress: Their Implications in the Modulation of Cellular Immunity During Mycobacterial Infection. Front. Microbiol. 2019, 10, 1121. [Google Scholar] [CrossRef]
- Ferraro, M.; Di Vincenzo, S.; Sangiorgi, C.; Barone, S.L.; Gangemi, S.; Lanata, L.; Pace, E. Carbocysteine Modifies Circulating miR-21, IL-8, sRAGE, and fAGEs Levels in Mild Acute Exacerbated COPD Patients: A Pilot Study. Pharmaceuticals 2022, 15, 218. [Google Scholar] [CrossRef]
- Apel, K.; Hirt, H. Reactive oxygen species: Metabolism, oxidative stress, and signal transduction. Annu. Rev. Plant Biol. 2004, 55, 373–399. [Google Scholar] [CrossRef]
- Mittler, R. Oxidative stress, antioxidants and stress tolerance. Trends Plant Sci. 2002, 7, 405–410. [Google Scholar] [CrossRef]
- Garg, M.; Gupta, A.; Sharma, A.L.; Singh, S. Advancements in 2D Materials Based Biosensors for Oxidative Stress Biomarkers. ACS Appl. Bio Mater. 2021, 4, 5944–5960. [Google Scholar] [CrossRef] [PubMed]
- Dickinson, B.C.; Chang, C.J. Chemistry and biology of reactive oxygen species in signaling or stress responses. Nat. Chem. Biol. 2011, 7, 504–511. [Google Scholar] [CrossRef]
- Griendling, K.; Touyz, R.M.; Zweier, J.L.; Dikalov, S.; Chilian, W.; Chen, Y.-R.; Harrison, D.G.; Bhatnagar, A. Measurement of Reactive Oxygen Species, Reactive Nitrogen Species, and Redox-Dependent Signaling in the Cardiovascular System: A Scientific Statement From the American Heart Association. Circ. Res. 2016, 119, e39–e75. [Google Scholar] [CrossRef] [PubMed]
- Chance, B.; Sies, H.; Boveris, A. Hydroperoxide metabolism in mammalian organs. Physiol. Rev. 1979, 59, 527–605. [Google Scholar] [CrossRef] [PubMed]
- Bienert, G.P.; Schjoerring, J.K.; Jahn, T.P. Membrane transport of hydrogen peroxide. Biochim. Biophys. Acta 2006, 1758, 994–1003. [Google Scholar] [CrossRef] [PubMed]
- Waghray, M.; Cui, Z.; Horowitz, J.; Subramanian, I.M.; Martinez, F.J.; Toews, G.B.; Thannickal, V.J. Hydrogen peroxide is a diffusible paracrine signal for the induction of epithelial cell death by activated myofibroblasts. FASEB J. 2005, 19, 1–16. [Google Scholar] [CrossRef]
- Balamurugan, T.; Mani, V.; Hsieh, C.-C.; Huang, S.-T.; Peng, T.-K.; Lin, H.-Y. Real-time tracking and quantification of endogenous hydrogen peroxide production in living cells using graphenated carbon nanotubes supported Prussian blue cubes. Sens. Actuators B Chem. 2018, 257, 220–227. [Google Scholar] [CrossRef]
- Marquitan, M.; Clausmeyer, J.; Actis, P.; Córdoba, A.L.; Korchev, Y.; Mark, M.D.; Herlitze, S.; Schuhmann, W. Intracellular Hydrogen Peroxide Detection with Functionalised Nanoelectrodes. ChemElectroChem 2016, 3, 2125–2129. [Google Scholar] [CrossRef]
- Katerji, M.; Filippova, M.; Duerksen-Hughes, P. Approaches and Methods to Measure Oxidative Stress in Clinical Samples: Research Applications in the Cancer Field. Oxidative Med. Cell Longev. 2019, 2019, 1–29. [Google Scholar] [CrossRef]
- Xiao, Y.; Meierhofer, D. Are Hydroethidine-Based Probes Reliable for Reactive Oxygen Species Detection? Antioxid. Redox Signal. 2019, 31, 359–367. [Google Scholar] [CrossRef]
- Wojtala, A.; Bonora, M.; Malinska, D.; Pinton, P.; Duszynski, J.; Wieckowski, M.R. Methods to Monitor ROS Production by Fluorescence Microscopy and Fluorometry. In Methods in Enzymology; Elsevier: Amsterdam, The Netherlands, 2014; pp. 243–262. [Google Scholar]
- Zhang, Y.; Dai, M.; Yuan, Z. Methods for the detection of reactive oxygen species. Anal. Methods 2018, 10, 4625–4638. [Google Scholar] [CrossRef]
- Stephenson, N.A.; Bell, A.T. Quantitative analysis of hydrogen peroxide by 1H NMR spectroscopy. Anal. Bioanal. Chem. 2005, 381, 1289–1293. [Google Scholar] [CrossRef] [PubMed]
- Halliwell, B.; Whiteman, M. Measuring reactive species and oxidative damage in vivo and in cell culture: How should you do it and what do the results mean? Br. J. Pharmacol. 2004, 142, 231–255. [Google Scholar] [CrossRef] [PubMed]
- Mazzara, F.; Patella, B.; Aiello, G.; Sunseri, C.; Inguanta, R. Ascorbic Acid determination using linear sweep voltammetry on flexible electrode modified with gold nanoparticles and reduced graphene oxide. In Proceedings of the 2020 IEEE 20th Mediterranean Electrotechnical Conference (MELECON), Palermo, Italy, 16–18 June 2020; pp. 406–410. [Google Scholar]
- Yu, Y.; Pan, M.; Peng, J.; Hu, D.; Hao, Y.; Qian, Z. A review on recent advances in hydrogen peroxide electrochemical sensors for applications in cell detection. Chin. Chem. Lett. 2022, 33, 4133–4145. [Google Scholar] [CrossRef]
- Patella, B.; Sortino, A.; Mazzara, F.; Aiello, G.; Drago, G.; Torino, C.; Vilasi, A.; O’Riordan, A.; Inguanta, R. Electrochemical detection of dopamine with negligible interference from ascorbic and uric acid by means of reduced graphene oxide and metals-NPs based electrodes. Anal. Chim. Acta 2021, 1187, 339124. [Google Scholar] [CrossRef]
- Rojas, D.; Hernández-Rodríguez, J.F.; Della Pelle, F.; Escarpa, A.; Compagnone, D. New trends in enzyme-free electrochemical sensing of ROS/RNS. Application to live cell analysis. Mikrochim. Acta 2022, 189, 1–22. [Google Scholar] [CrossRef]
- Patella, B.; Piazza, S.; Sunseri, C.; Inguanta, R. Nio thin film for mercury detection in water by square wave anodic stripping voltammetry. Chem. Eng. Trans. 2017, 60, 1–6. [Google Scholar] [CrossRef]
- O’Sullivan, B.; O’Sullivan, S.; Narayan, T.; Shao, H.; Patella, B.; Seymour, I.; Inguanta, R.; O’Riordan, A. A direct comparison of 2D versus 3D diffusion analysis at nanowire electrodes: A finite element analysis and experimental study. Electrochim. Acta 2022, 408, 139890. [Google Scholar] [CrossRef]
- Mazzara, F.; Patella, B.; D’Agostino, C.; Bruno, M.; Carbone, S.; Lopresti, F.; Aiello, G.; Torino, C.; Vilasi, A.; O’Riordan, A.; et al. PANI-Based Wearable Electrochemical Sensor for pH Sweat Monitoring. Chemosensors 2021, 9, 169. [Google Scholar] [CrossRef]
- Murphy, A.; Seymour, I.; Rohan, J.; OrRiordan, A.; OrConnell, I. Portable Data Acquisition System for Nano and Ultra-Micro Scale Electrochemical Sensors. IEEE Sens. J. 2020, 21, 3210–3215. [Google Scholar] [CrossRef]
- Patella, B.; Moukri, N.; Regalbuto, G.; Cipollina, C.; Pace, E.; Di Vincenzo, S.; Aiello, G.; O’Riordan, A.; Inguanta, R. Electrochemical Synthesis of Zinc Oxide Nanostructures on Flexible Substrate and Application as an Electrochemical Immunoglobulin-G Immunosensor. Materials 2022, 15, 713. [Google Scholar] [CrossRef] [PubMed]
- Daly, R.; Narayan, T.; Shao, H.; O’Riordan, A.; Lovera, P. Platinum-Based Interdigitated Micro-Electrode Arrays for Reagent-Free Detection of Copper. Sensors 2021, 21, 3544. [Google Scholar] [CrossRef] [PubMed]
- Patella, B.; Sortino, A.; Aiello, G.; Sunseri, C.; Inguanta, R. Reduced graphene oxide decorated with metals nanoparticles electrode as electrochemical sensor for dopamine. In Proceedings of the 2019 IEEE International Conference on Flexible and Printable Sensors and Systems (FLEPS 2019), Glasgow, UK, 8–10 July 2019; pp. 1–3. [Google Scholar]
- Thangadurai, T.D.; Manjubaashini, N. Progressions in chemical and biological analytes sensing technology based on nanostructured materials: A comprehensive review. Mater. Sci. Eng. B 2021, 271, 115307. [Google Scholar] [CrossRef]
- Buccheri, B.; Ganci, F.; Patella, B.; Aiello, G.; Mandin, P.; Inguanta, R. Ni-Fe alloy nanostructured electrodes for water splitting in alkaline electrolyser. Electrochim. Acta 2021, 388, 138588. [Google Scholar] [CrossRef]
- Arenz, M.; Mayrhofer, K.J.J.; Stamenkovic, V.; Blizanac, B.B.; Tomoyuki, T.; Ross, P.N.; Markovic, N.M. The Effect of the Particle Size on the Kinetics of CO Electrooxidation on High Surface Area Pt Catalysts. J. Am. Chem. Soc. 2005, 127, 6819–6829. [Google Scholar] [CrossRef] [PubMed]
- Dhara, K.; Mahapatra, D.R. Recent advances in electrochemical nonenzymatic hydrogen peroxide sensors based on nanomaterials: A review. J. Mater. Sci. 2019, 54, 12319–12357. [Google Scholar] [CrossRef]
- Patella, B.; Russo, R.; O’Riordan, A.; Aiello, G.; Sunseri, C.; Inguanta, R. Copper nanowire array as highly selective electrochemical sensor of nitrate ions in water. Talanta 2021, 221, 121643. [Google Scholar] [CrossRef]
- Zeng, K.; Zhang, D. Recent progress in alkaline water electrolysis for hydrogen production and applications. Prog. Energy Combust. Sci. 2010, 36, 307–326. [Google Scholar] [CrossRef]
- Inguanta, R.; Ferrara, G.; Piazza, S.C. Sunseri Nanostructure fabrication by template deposition into anodic alumina membranes. Chem. Eng. Trans. 2009, 17, 957–962. [Google Scholar] [CrossRef]
- Trujillo, R.; Barraza, D.; Zamora, M.; Cattani-Scholz, A.; Madrid, R. Nanostructures in Hydrogen Peroxide Sensing. Sensors 2021, 21, 2204. [Google Scholar] [CrossRef]
- Patella, B.; Buscetta, M.; Di Vincenzo, S.; Ferraro, M.; Aiello, G.; Sunseri, C.; Pace, E.; Inguanta, R.; Cipollina, C. Electrochemical sensor based on rGO/Au nanoparticles for monitoring H2O2 released by human macrophages. Sens. Actuators B Chem. 2021, 327, 128901. [Google Scholar] [CrossRef]
- Arora, M. Cell Culture Media: A Review. Mater. Methods 2013, 3, 175. [Google Scholar] [CrossRef]
- Vis, M.A.M.; Ito, K.; Hofmann, S. Impact of Culture Medium on Cellular Interactions in in vitro Co-culture Systems. Front. Bioeng. Biotechnol. 2020, 8, 911. [Google Scholar] [CrossRef] [PubMed]
- Ackermann, T.; Tardito, S. Cell Culture Medium Formulation and Its Implications in Cancer Metabolism. Trends Cancer 2019, 5, 329–332. [Google Scholar] [CrossRef]
- Yao, T.; Asayama, Y. Animal-cell culture media: History, characteristics, and current issues. Reprod. Med. Biol. 2017, 16, 99–117. [Google Scholar] [CrossRef]
- Eagle, H. The Specific Amino Acid Requirements of a Human Carcinoma Cell (Strain hela) in Tissue Culture. J. Exp. Med. 1955, 102, 37–48. [Google Scholar] [CrossRef]
- Eagle, H. The Specific Amino Acid Requirements of A Mammalian Cell (Strain L.) on Tissue Culture. J. Biol. Chem. 1955, 214, 839–852. [Google Scholar] [CrossRef]
- Kleinman, H.; Luckenbill-Edds, L.; Cannon, F.; Sephel, G. Use of extracellular matrix components for cell culture. Anal. Biochem. 1987, 166, 1–13. [Google Scholar] [CrossRef]
- McKee, T.J.; Komarova, S.V. Is it time to reinvent basic cell culture medium? Am. J. Physiol. Physiol. 2017, 312, C624–C626. [Google Scholar] [CrossRef]
- Williams, G.; Weisburger, E.K.; Weisburger, J. Isolation and long-term cell culture of epithelial-like cells from rat liver. Exp. Cell Res. 1971, 69, 106–112. [Google Scholar] [CrossRef]
- Schubert, A.-K.; Smink, J.J.; Pumberger, M.; Putzier, M.; Sittinger, M.; Ringe, J. Standardisation of basal medium for reproducible culture of human annulus fibrosus and nucleus pulposus cells. J. Orthop. Surg. Res. 2018, 13, 209. [Google Scholar] [CrossRef] [PubMed]
- Moore, G.E.; Ito, E.; Ulrich, K.; Sandberg, A.A. Culture of human leukemia cells. Cancer 1966, 19, 713–723. [Google Scholar] [CrossRef]
- Dulbecco, R.; Freeman, G. Plaque production by the polyoma virus. Virology 1959, 8, 396–397. [Google Scholar] [CrossRef]
- Ham, R.G.; Sattler, G.L. Clonal growth of differentiated rabbit cartilage cells. J. Cell Physiol. 1968, 72, 109–114. [Google Scholar] [CrossRef] [PubMed]
- Morgan, J.F.; Morton, H.J.; Parker, R.C. Nutrition of Animal Cells in Tissue Culture. I. Initial Studies on a Synthetic Medium. Exp. Biol. Med. 1950, 73, 1–8. [Google Scholar] [CrossRef]
- Iscove, N.N.; Melchers, F. Complete replacement of serum by albumin, transferrin, and soybean lipid in cultures of lipopolysaccharide-reactive B lymphocytes. J. Exp. Med. 1978, 147, 923–933. [Google Scholar] [CrossRef]
- Zhang, C.; Zhang, R.; Gao, X.; Cheng, C.; Hou, L.; Li, X.; Chen, W. Small Naked Pt Nanoparticles Confined in Mesoporous Shell of Hollow Carbon Spheres for High-Performance Nonenzymatic Sensing of H2O2 and Glucose. ACS Omega 2018, 3, 96–105. [Google Scholar] [CrossRef]
- Gao, X.; He, S.; Zhang, C.; Du, C.; Chen, X.; Xing, W.; Chen, S.; Clayborne, A.; Chen, W. Single Crystal Sub-Nanometer Sized Cu6(SR)6 Clusters: Structure, Photophysical Properties, and Electrochemical Sensing. Adv. Sci. 2016, 3, 1600126. [Google Scholar] [CrossRef]
- He, S.; Zhang, B.; Liu, M.; Chen, W. Non-enzymatic hydrogen peroxide electrochemical sensor based on a three-dimensional MnO2 nanosheets/carbon foam composite. RSC Adv. 2014, 4, 49315–49323. [Google Scholar] [CrossRef]
- Liu, M.; He, S.; Chen, W. Co3O4 nanowires supported on 3D N-doped carbon foam as an electrochemical sensing platform for efficient H2O2 detection. Nanoscale 2014, 6, 11769–11776. [Google Scholar] [CrossRef]
- Klekotka, E.; Kasztelan, M.; Palys, B. Factors Influencing the Electrocatalytic Properties of Graphene Oxide—Gold Nanoparticles Hybrid System. ChemElectroChem 2021, 8, 3080–3088. [Google Scholar] [CrossRef]
- Cheng, C.; Zhang, C.; Gao, X.; Zhuang, Z.; Du, C.; Chen, W. 3D Network and 2D Paper of Reduced Graphene Oxide/Cu2O Composite for Electrochemical Sensing of Hydrogen Peroxide. Anal. Chem. 2017, 90, 1983–1991. [Google Scholar] [CrossRef]
- Zhang, R.; Chen, W. Recent advances in graphene-based nanomaterials for fabricating electrochemical hydrogen peroxide sensors. Biosens. Bioelectron. 2017, 89, 249–268. [Google Scholar] [CrossRef]
- Ju, J.; Chen, W. In Situ Growth of Surfactant-Free Gold Nanoparticles on Nitrogen-Doped Graphene Quantum Dots for Electrochemical Detection of Hydrogen Peroxide in Biological Environments. Anal. Chem. 2014, 87, 1903–1910. [Google Scholar] [CrossRef]
- Chmayssem, A.; Petit, L.; Verplanck, N.; Mourier, V.; Vignoud, S.; Vrana, N.E.; Mailley, P. Characterization of the Impact of Classical Cell-culture Media on the Response of Electrochemical Sensors. Electroanalysis 2022, 34, 1201–1211. [Google Scholar] [CrossRef]
- Oliveira, M.; Conceição, P.; Kant, K.; Ainla, A.; Diéguez, L. Electrochemical Sensing in 3D Cell Culture Models: New Tools for Developing Better Cancer Diagnostics and Treatments. Cancers 2021, 13, 1381. [Google Scholar] [CrossRef]
- Gulaboski, R.; Mirčeski, V.; Kappl, R.; Hoth, M.; Bozem, M. Review—Quantification of Hydrogen Peroxide by Electrochemical Methods and Electron Spin Resonance Spectroscopy. J. Electrochem. Soc. 2019, 166, G82–G101. [Google Scholar] [CrossRef]
- Scholz, F. Voltammetric techniques of analysis: The essentials. ChemTexts 2015, 1, 17. [Google Scholar] [CrossRef]
- Arrigan, D.W.M. Electrochemical Strategies in Detection Science; Royal Society of Chemistry: Cambridge, UK, 2015. [Google Scholar]
- Bard, A.J.; Faulkner, L.R. Electrochemical Methods: Fundamentals and Applications, 2nd ed.; Wiley: New York, NY, USA, 2001. [Google Scholar]
- Taylor, M.; Carr, T.; Oke, O.; Jaunky, T.; Breheny, D.; Lowe, F.; Gaça, M. E-cigarette aerosols induce lower oxidative stress in vitro when compared to tobacco smoke. Toxicol. Mech. Methods 2016, 26, 465–476. [Google Scholar] [CrossRef]
- Conte, E.; Fagone, M.; Fruciano, E.; Gili, M.; Iemmolo, C. Vancheri, Anti-inflammatory and antifibrotic effects of resveratrol in the lung. Histol. Histopathol. 2015, 30, 523–529. [Google Scholar] [CrossRef]
- Ferraro, M.; Gjomarkaj, M.; Siena, L.; DI Vincenzo, S.; Pace, E. Formoterol and fluticasone propionate combination improves histone deacetylation and anti-inflammatory activities in bronchial epithelial cells exposed to cigarette smoke. Biochim. Biophys. Acta (BBA)—Mol. Basis Dis. 2017, 1863, 1718–1727. [Google Scholar] [CrossRef]
- Cipollina, C.; DI Vincenzo, S.; Siena, L.; Di Sano, C.; Gjomarkaj, M.; Pace, E. 17-oxo-DHA displays additive anti-inflammatory effects with fluticasone propionate and inhibits the NLRP3 inflammasome. Sci. Rep. 2016, 6, 37625. [Google Scholar] [CrossRef]
- Cipollina, C.; DI Vincenzo, S.; Gerbino, S.; Siena, L.; Gjomarkaj, M.; Pace, E. Dual anti-oxidant and anti-inflammatory actions of the electrophilic cyclooxygenase-2-derived 17-oxo-DHA in lipopolysaccharide- and cigarette smoke-induced inflammation. Biochim. et Biophys. Acta (BBA)—Gen. Subj. 2014, 1840, 2299–2309. [Google Scholar] [CrossRef]
- Patella, B.; Aiello, G.; Drago, G.; Torino, C.; Vilasi, A.; O’Riordan, A.; Inguanta, R. Electrochemical detection of chloride ions using Ag-based electrodes obtained from compact disc. Anal. Chim. Acta 2021, 1190, 339215. [Google Scholar] [CrossRef]
- Shruthi, T.K.; Swain, G.M. Detection of H2O2 from the Reduction of Dissolved Oxygen on TCP-Coated AA2024-T3: Impact on the Transient Formation of Cr(VI). J. Electrochem. Soc. 2019, 166, C3284–C3289. [Google Scholar] [CrossRef]
- Jiang, K.; Back, S.; Akey, A.J.; Xia, C.; Hu, Y.; Liang, W.; Schaak, D.; Stavitski, E.; Nørskov, J.K.; Siahrostami, S.; et al. Highly selective oxygen reduction to hydrogen peroxide on transition metal single atom coordination. Nat. Commun. 2019, 10, 3997. [Google Scholar] [CrossRef]
- Tian, J.; Liu, Q.; Ge, C.; Xing, Z.; Asiri, A.M.; Al-Youbi, A.O.; Sun, X. Ultrathin graphitic carbon nitride nanosheets: A low-cost, green, and highly efficient electrocatalyst toward the reduction of hydrogen peroxide and its glucose biosensing application. Nanoscale 2013, 5, 8921–8924. [Google Scholar] [CrossRef]
- Tran, H.V.; Huynh, C.D.; Tran, H.V.; Piro, B. Cyclic voltammetry, square wave voltammetry, electrochemical impedance spectroscopy and colorimetric method for hydrogen peroxide detection based on chitosan/silver nanocomposite. Arab. J. Chem. 2018, 11, 453–459. [Google Scholar] [CrossRef]
- Cai, X.; Tanner, E.E.L.; Lin, C.; Ngamchuea, K.; Foord, J.S.; Compton, R.G. The mechanism of electrochemical reduction of hydrogen peroxide on silver nanoparticles. Phys. Chem. Chem. Phys. 2017, 20, 1608–1614. [Google Scholar] [CrossRef]
- Katsounaros, I.; Schneider, W.B.; Meier, J.C.; Benedikt, U.; Biedermann, P.U.; Auer, A.A.; Mayrhofer, K.J.J. Hydrogen peroxide electrochemistry on platinum: Towards understanding the oxygen reduction reaction mechanism. Phys. Chem. Chem. Phys. 2012, 14, 7384–7391. [Google Scholar] [CrossRef]
- Takagi, M.; Ueda, K. Comparison of the optimal culture conditions for cell growth and tissue plasminogen activator production by human embryo lung cells on microcarriers. Appl. Microbiol. Biotechnol. 1994, 41, 565–570. [Google Scholar] [CrossRef]
- Hwang, J.-Y.; Lai, J.-Y. The effect of temperature on limiting current density and mass transfer in electrodialysis. J. Chem. Technol. Biotechnol. 2007, 37, 123–132. [Google Scholar] [CrossRef]
- Oje, A.I.; Ogwu, A. Effect of temperature on the electrochemical performance of silver oxide thin films supercapacitor. J. Electroanal. Chem. 2021, 882, 115015. [Google Scholar] [CrossRef]
- Yang, L.; Wang, B.; Qi, H.; Gao, Q.; Li, C.-Z.; Zhang, C. Highly Sensitive Electrochemical Sensor for the Determination of 8-Hydroxy-2′-deoxyguanosine Incorporating SWCNTs-Nafion Composite Film. J. Sensors 2015, 2015, 504869. [Google Scholar] [CrossRef]
- Wilcox, W.R.; Khalaf, A.; Weinberger, A.; Kippen, I.; Klinenberg, J.R. Solubility of uric acid and monosodium urate. Med. Biol. Eng. Comput. 1972, 10, 522–531. [Google Scholar] [CrossRef]
- Lu, X.-Y.; Li, J.; Kong, F.-Y.; Wei, M.-J.; Zhang, P.; Li, Y.; Fang, H.-L.; Wang, W. Improved Performance for the Electrochemical Sensing of Acyclovir by Using the rGO–TiO2–Au Nanocomposite-Modified Electrode. Front. Chem. 2022, 10, 410. [Google Scholar] [CrossRef]
- Hong, J.; Wang, Y.; Zhu, L.; Jiang, L. An Electrochemical Sensor Based on Gold-Nanocluster-Modified Graphene Screen-Printed Electrodes for the Detection of β-Lactoglobulin in Milk. Sensors 2020, 20, 3956. [Google Scholar] [CrossRef]








| Medium | Sensitivity µAµM−1cm−2 | Limit of Detection µM | Linear Range µM |
|---|---|---|---|
| Diluted RPMI | 0.064 | 6.55 | 25–5000 |
| Diluted MEM | 0.0299 | 13.05 | 10–5000 |
| Diluted DMEM | 0.033 | 15.37 | 10–5000 |
| Diluted Ham’s F12 | 0.0264 | 51.61 | 100–5000 |
| Diluted B/D | 0.0138 | 80.14 | 250–5000 |
| Medium | Sensitivity µAµM−1cm−2 | Limit of Detection µM | Linear Range µM |
|---|---|---|---|
| Pure RPMI | 0.134 | 3.12 | 20–6000 |
| Diluted RPMI | 0.134 | 3.12 | 20–6000 |
| Pure MEM | 0.125 | 4.57 | 20–6000 |
| Diluted MEM | 0.125 | 4.57 | 20–6000 |
| Pure DMEM | 0.108 | 5.7 | 20–6000 |
| Diluted DMEM | 0.105 | 5.8 | 20–6000 |
| Pure Ham’s F12 | 0.11 | 16.77 | 50–6000 |
| Diluted Ham’s F12 | 0.08 | 23.06 | 50–6000 |
| Pure B/D | 0.06 | 26.71 | 100–6000 |
| Diluted B/D | 0.11 | 15.2 | 50–6000 |
| Sample | Current Density µAcm−2 | Difference % |
|---|---|---|
| Fresh electrode | 240 ± 12 | 0% |
| Immersed in deionized water at 4 °C | 189 ± 8.5 | −21.2% |
| Immersed in deionized water at 20 °C | 212 ± 11.7 | −12% |
| Immersed in PBS at 4 °C | 157 ± 7.5 | −35% |
| Immersed in PBS at 20 °C | 171 ± 8.9 | −29% |
| Stored in air at 4 °C | 245 ± 9.8 | +2% |
| Stored in air at 20 °C | 153 ± 9.2 | −36% |
| Vacuum at 4 °C | 259 ± 14.2 | +7.9% |
| Vacuum at 20 °C | 222 ± 9.3 | −7.5% |
| Sample | NT (µM) | CSE (µM) | RES (µM) | RES + CSE (µM) |
|---|---|---|---|---|
| 16 HBE-MEM | 10.63 ± 1.28 | 41.5 ± 11.8 | 9.7 ± 2.1 | 15.58 ± 3.58 |
| A549-DMEM | 12.92 ± 1.04 | 15.8 ± 1.15 | - | - |
| PBEC-B/D | 42.6 ± 7.1 | 129 ± 21.5 | - | - |
Publisher’s Note: MDPI stays neutral with regard to jurisdictional claims in published maps and institutional affiliations. |
© 2022 by the authors. Licensee MDPI, Basel, Switzerland. This article is an open access article distributed under the terms and conditions of the Creative Commons Attribution (CC BY) license (https://creativecommons.org/licenses/by/4.0/).
Share and Cite
Patella, B.; Vincenzo, S.D.; Zanca, C.; Bollaci, L.; Ferraro, M.; Giuffrè, M.R.; Cipollina, C.; Bruno, M.G.; Aiello, G.; Russo, M.; et al. Electrochemical Quantification of H2O2 Released by Airway Cells Growing in Different Culture Media. Micromachines 2022, 13, 1762. https://doi.org/10.3390/mi13101762
Patella B, Vincenzo SD, Zanca C, Bollaci L, Ferraro M, Giuffrè MR, Cipollina C, Bruno MG, Aiello G, Russo M, et al. Electrochemical Quantification of H2O2 Released by Airway Cells Growing in Different Culture Media. Micromachines. 2022; 13(10):1762. https://doi.org/10.3390/mi13101762
Chicago/Turabian StylePatella, Bernardo, Serena Di Vincenzo, Claudio Zanca, Luciano Bollaci, Maria Ferraro, Maria Rita Giuffrè, Chiara Cipollina, Maria Giuseppina Bruno, Giuseppe Aiello, Michele Russo, and et al. 2022. "Electrochemical Quantification of H2O2 Released by Airway Cells Growing in Different Culture Media" Micromachines 13, no. 10: 1762. https://doi.org/10.3390/mi13101762
APA StylePatella, B., Vincenzo, S. D., Zanca, C., Bollaci, L., Ferraro, M., Giuffrè, M. R., Cipollina, C., Bruno, M. G., Aiello, G., Russo, M., Inguanta, R., & Pace, E. (2022). Electrochemical Quantification of H2O2 Released by Airway Cells Growing in Different Culture Media. Micromachines, 13(10), 1762. https://doi.org/10.3390/mi13101762

