Additive Manufacturing of Textured FePrCuB Permanent Magnets
Abstract
1. Introduction
2. Experimental Procedures
3. Analysis of L-PBF Printed Parts
3.1. Selection of Suitable Processing Parameters
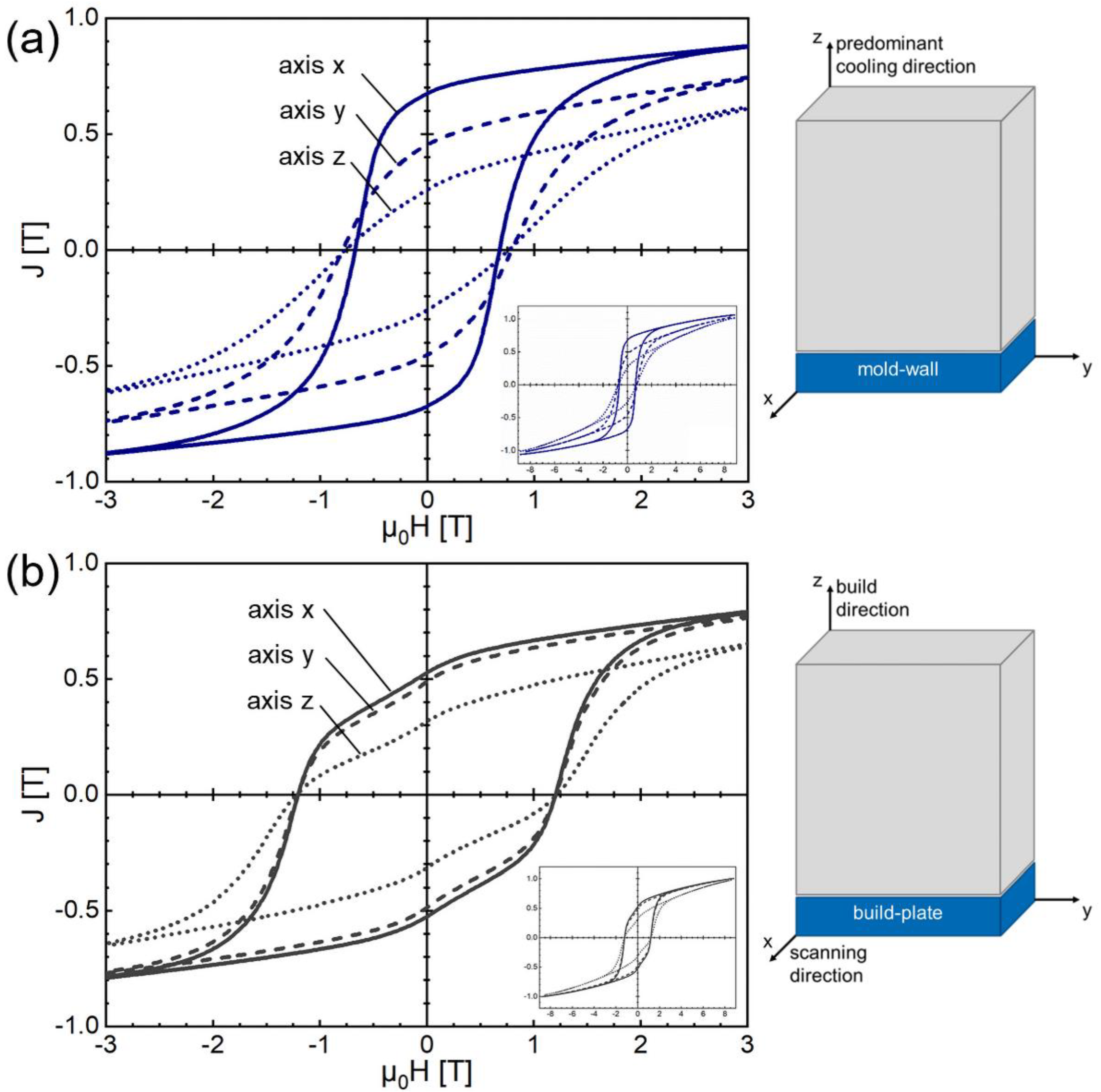
3.2. Evolution of Magnetic Properties
3.3. Evolution of Microstructure
4. Discussion
4.1. Comparison between Fe-Pr-Cu-B-Based Printed Parts and BMC Material
4.2. Evaluation of Texturing Effect
5. Conclusions
Author Contributions
Funding
Data Availability Statement
Acknowledgments
Conflicts of Interest
References
- Jaćimović, J.; Binda, F.; Herrmann, L.G.; Greuter, F.; Genta, J.; Calvo, M.; Tomše, T.; Simon, R.A. Net Shape 3D Printed NdFeB Permanent Magnet. Adv. Eng. Mater. 2017, 19, 1700098. [Google Scholar] [CrossRef]
- Jacimovic, J.; Christen, T.; Dénervaud, E. Self-organized giant magnetic structures via additive manufacturing in NdFeB permanent magnets. Addit. Manuf. 2020, 34, 101288. [Google Scholar] [CrossRef]
- Bittner, F.; Thielsch, J.; Drossel, W.G. Laser powder bed fusion of Nd-Fe-B permanent magnets. Prog. Addit. Manuf. 2020, 5, 3–9. [Google Scholar] [CrossRef]
- Goll, D.; Trauter, F.; Bernthaler, T.; Schanz, J.; Riegel, H.; Schneider, G. Additive Manufacturing of Bulk Nanocrystalline FeNdB Based Permanent Magnets. Micromachines 2021, 12, 538. [Google Scholar] [CrossRef] [PubMed]
- Bittner, F.; Thielsch, J.; Drossel, W.-G. Microstructure and magnetic properties of Nd-Fe-B permanent magnets produced by laser powder bed fusion. Scr. Mater. 2021, 201, 113921. [Google Scholar] [CrossRef]
- Huber, C.; Sepehri-Amin, H.; Goertler, M.; Groenefeld, M.; Teliban, I.; Hono, K.; Suess, D. Coercivity enhancement of selective laser sintered NdFeB magnets by grain boundary infiltration. Acta Mater. 2019, 172, 66–71. [Google Scholar] [CrossRef]
- Volegov, A.S.; Andreev, S.V.; Selezneva, N.V.; Ryzhikhin, I.A.; Kudrevatykh, N.V.; Mädler, L.; Okulov, I.V. Additive manufacturing of heavy rare earth free high-coercivity permanent magnets. Acta Mater. 2020, 188, 733–739. [Google Scholar] [CrossRef]
- McCurrie, R.A. Chapter 3—The structure and properties of alnico permanent magnet alloys. In Handbook of Ferromagnetic Materials; Elsevier: Amsterdam, The Netherlands, 1982; pp. 107–188. ISBN 9780444863782. [Google Scholar]
- White, E.M.H.; Kassen, A.G.; Simsek, E.; Tang, W.; Ott, R.T.; Anderson, I.E. Net Shape Processing of Alnico Magnets by Additive Manufacturing. IEEE Trans. Magn. 2017, 53, 2101606. [Google Scholar] [CrossRef]
- White, E.; Rinko, E.; Prost, T.; Horn, T.; Ledford, C.; Rock, C.; Anderson, I. Processing of Alnico Magnets by Additive Manufacturing. Appl. Sci. 2019, 9, 4843. [Google Scholar] [CrossRef]
- Strnat, K. The hard-magnetic properties of rare earth-transition metal alloys. IEEE Trans. Magn. 1972, 8, 511–516. [Google Scholar] [CrossRef]
- Livingston, J.D.; Martin, D.L. Microstructure of aged (Co, Cu, Fe)7 Sm magnets. J. Appl. Phys. 1977, 48, 1350–1354. [Google Scholar] [CrossRef]
- Goll, D.; Trauter, F.; Braun, P.; Laukart, J.; Loeffler, R.; Golla-Schindler, U.; Schneider, G. Additive manufacturing of permanent magnets based on (CoCuFeZr)17Sm2. Phys. Status Solidi RRL 2021, 13, 2100294. [Google Scholar] [CrossRef]
- Shimoda, T.; Akioka, K.; Kobayashi, O.; Yamagami, T. High-energy cast Pr-Fe-B magnets. J. Appl. Phys. 1988, 64, 5290–5292. [Google Scholar] [CrossRef]
- Kwon, H.W.; Bowen, P.; Harris, I.R. Microstructural and magnetic studies on Pr-Fe-B-Cu alloys. J. Appl. Phys. 1991, 70, 6357–6359. [Google Scholar] [CrossRef]
- Kwon, H.W.; Bowen, P.; Harris, I.R. A study of Pr-Fe-B-Cu permanent magnetic alloys. J. Alloy. Comp. 1992, 182, 233–242. [Google Scholar] [CrossRef]
- Mycock, G.J.; Faria, R.N.J.; Harris, I.R. The microstructures and magnetic properties of some cast and annealed Pr-Fe-Cu-B alloys. J. Alloy. Comp. 1993, 201, 23–28. [Google Scholar] [CrossRef]
- Neiva, A.C.; Tschiptschin, A.P.; Missell, F.P. Phase diagram of the Pr-Fe-B system. J. Alloy. Comp. 1995, 217, 273–282. [Google Scholar] [CrossRef]
- Takahashi, N.; Nakamura, H.; Paik, C.R.; Sugimoto, S.; Okada, M.; Homma, M. Coercivity and Microstructures in Pr–Fe–B–M Cast Alloys (M=Cu/Ga/Ag/Al/In/Pb). Mater. Trans. JIM 1991, 32, 90–92. [Google Scholar] [CrossRef][Green Version]
- Fidler, J.; Bernardi, J. Transmission electron microscope characterization of cast and hot-worked R-Fe-B:Cu (R=Nd,Pr) permanent magnets. J. Appl. Phys. 1991, 70, 6456–6458. [Google Scholar] [CrossRef]
- Marcondes, P.V.P.; Faria, R.N. Microstructural studies on Pr–Fe–B–Cu magnets produced by upset forging of cast ingot. Mater. Scie. Eng. A 1999, 272, 245–249. [Google Scholar] [CrossRef]
- Rotenberg, L.R.K.; Oliveira, R.F.; Rechenberg, H.R.; Missell, F.P. Study of magnetic properties and Mössbauer effect of Pr-Fe and melt-spun Pr-Fe-B alloys. IEEE Trans. Magn. 1985, 57, 4127–4129. [Google Scholar] [CrossRef]
- Buschow, K.H.J. Intermetallic compounds of rare-earth and 3d transition metals. Rep. Prog. Phys. 1977, 40, 1179–1256. [Google Scholar] [CrossRef]
- Kajitani, T.; Nagayama, K.; Umeda, T. Microstructure of Cu-added Pr-Fe-B magnets: Crystallization of antiferromagnetic Pr6Fe13Cu in the boundary region. J. Magn. Magn. Mater. 1992, 117, 379–386. [Google Scholar] [CrossRef]
- Shimoda, T.; Akioka, K.; Kobayashi, O.; Yamagami, T.; Ohki, T.; Miyagawa, M.; Yuri, T. Hot-working behavior of cast Pr-Fe-B magnets. IEEE Trans. Magn. 1989, 25, 4099–4104. [Google Scholar] [CrossRef]
- Schäfer, L.; Skokov, K.; Liu, J.; Maccari, F.; Braun, T.; Riegg, S.; Radulov, I.; Gassmann, J.; Merschroth, H.; Harbig, J.; et al. Design and Qualification of Pr–Fe–Cu–B Alloys for the Additive Manufacturing of Permanent Magnets. Adv. Funct. Mater. 2021, 11, 2102148. [Google Scholar] [CrossRef]
- Goll, D.; Schurr, J.; Trauter, F.; Schanz, J.; Bernthaler, T.; Riegel, H.; Schneider, G. Additive manufacturing of soft and hard magnetic materials. Procedia CIRP 2020, 94, 248–253. [Google Scholar] [CrossRef]
- Goll, D.; Vogelgsang, D.; Pflanz, U.; Hohs, D.; Grubesa, T.; Schurr, J.; Bernthaler, T.; Kolb, D.; Riegel, H.; Schneider, G. Refining the Microstructure of Fe-Nd-B by Selective Laser Melting. Phys. Status Solidi RRL 2019, 13, 1800536. [Google Scholar] [CrossRef]
- Gao, R.W.; Zhang, D.H.; Li, H.; Zhang, J.C. Effects of the degree of grain alignment on the hard magnetic properties of sintered NdFeB magnets. Appl. Phys. A 1998, 67, 353–356. [Google Scholar] [CrossRef]
- Hono, K.; Sepheri-Amin, H. Strategy for high-coercivity Nd-Fe-B magnets. Scr. Mater. 2012, 67, 530–535. [Google Scholar] [CrossRef]









| Sample Name | Production Method | Annealing |
|---|---|---|
| BMC | BMC | - |
| BMC-a | BMC | 1000 °C, 5 h; 500 °C, 3 h |
| L-PBF | L-PBF (200 W, 400 mm/s) | - |
| L-PBF-a | L-PBF (200 W, 400 mm/s) | 1000 °C, 5 h; 500 °C, 3 h |
| Sample Name | µ0Hc (T) | Jr (T) | (BH)max (kJ/m3) | |
|---|---|---|---|---|
| L-PBF | field along x axis | 0.09 | 0.25 | 4.0 |
| BMC | field along x axis | 0.03 | 0.10 | 0.4 |
| L-PBF-a | field along x axis | 0.67 | 0.67 | 69.8 |
| field along y axis | 0.79 | 0.45 | 31.2 | |
| field along z axis | 0.75 | 0.26 | 10.4 | |
| BMC-a | field along x axis | 1.20 | 0.53 | 42.9 |
| field along y axis | 1.20 | 0.49 | 36.2 | |
| field along z axis | 1.22 | 0.32 | 15.3 | |
| Phase/Sample | L-PBF | L-PBF-a | BMC | BMC-a |
|---|---|---|---|---|
| Fe14Pr2B | Fe83.7-Pr15.3-Cu1.0 | Fe82.6-Pr13.5-Cu0.3 | Fe86.6-Pr13.3-Cu0.1 | Fe86.8-Pr13.1-Cu0.1 |
| Fe17Pr2 | ---- | Fe87.9-Pr11.5-Cu0.6 | ---- | Fe88.2-Pr11.4-Cu0.4 |
| Fe13Pr6Cu1 | ---- | Fe64.5-Pr31.3-Cu4.4 | ---- | Fe65.8-Pr30.0-Cu4.2 |
| α-Fe | Fe95.1-Pr4.9 | ---- | Fe98.6-Pr1.3-Cu0.1 | ---- |
| Pr-rich | Fe6.3-Pr90.7 | Fe6.0-Pr93.6-Cu0.4 | Fe2.6-Pr96.9-Cu0.5 | Fe3.3-Pr96.1-Cu0.6 |
| PrCu-rich | Fe18.7-Pr62.3-Cu19.0 | ---- | Fe15.3-Pr69.8-Cu14.9 | ---- |
| Pr/PrCu eutectic | ---- | Fe3.1Pr56.0-Cu40.9 | ---- | Fe4.4Pr65.0-Cu30.6 |
| total composition | Fe77.6-Pr20.6-Cu1.8 | Fe77.3-Pr20.8-Cu1.9 | Fe77.8-Pr20.5-Cu1.7 | Fe77.4-Pr20.6-Cu2.0 |
Publisher’s Note: MDPI stays neutral with regard to jurisdictional claims in published maps and institutional affiliations. |
© 2021 by the authors. Licensee MDPI, Basel, Switzerland. This article is an open access article distributed under the terms and conditions of the Creative Commons Attribution (CC BY) license (https://creativecommons.org/licenses/by/4.0/).
Share and Cite
Goll, D.; Trauter, F.; Loeffler, R.; Gross, T.; Schneider, G. Additive Manufacturing of Textured FePrCuB Permanent Magnets. Micromachines 2021, 12, 1056. https://doi.org/10.3390/mi12091056
Goll D, Trauter F, Loeffler R, Gross T, Schneider G. Additive Manufacturing of Textured FePrCuB Permanent Magnets. Micromachines. 2021; 12(9):1056. https://doi.org/10.3390/mi12091056
Chicago/Turabian StyleGoll, Dagmar, Felix Trauter, Ralf Loeffler, Thomas Gross, and Gerhard Schneider. 2021. "Additive Manufacturing of Textured FePrCuB Permanent Magnets" Micromachines 12, no. 9: 1056. https://doi.org/10.3390/mi12091056
APA StyleGoll, D., Trauter, F., Loeffler, R., Gross, T., & Schneider, G. (2021). Additive Manufacturing of Textured FePrCuB Permanent Magnets. Micromachines, 12(9), 1056. https://doi.org/10.3390/mi12091056

