Hydraulic and Thermal Performance of Microchannel Heat Sink Inserted with Pin Fins
Abstract
1. Introduction
2. Numerical Methods
2.1. Geometrical Model
2.2. Mesh and Boundary Condition
3. Results
3.1. Hydraulic Performance
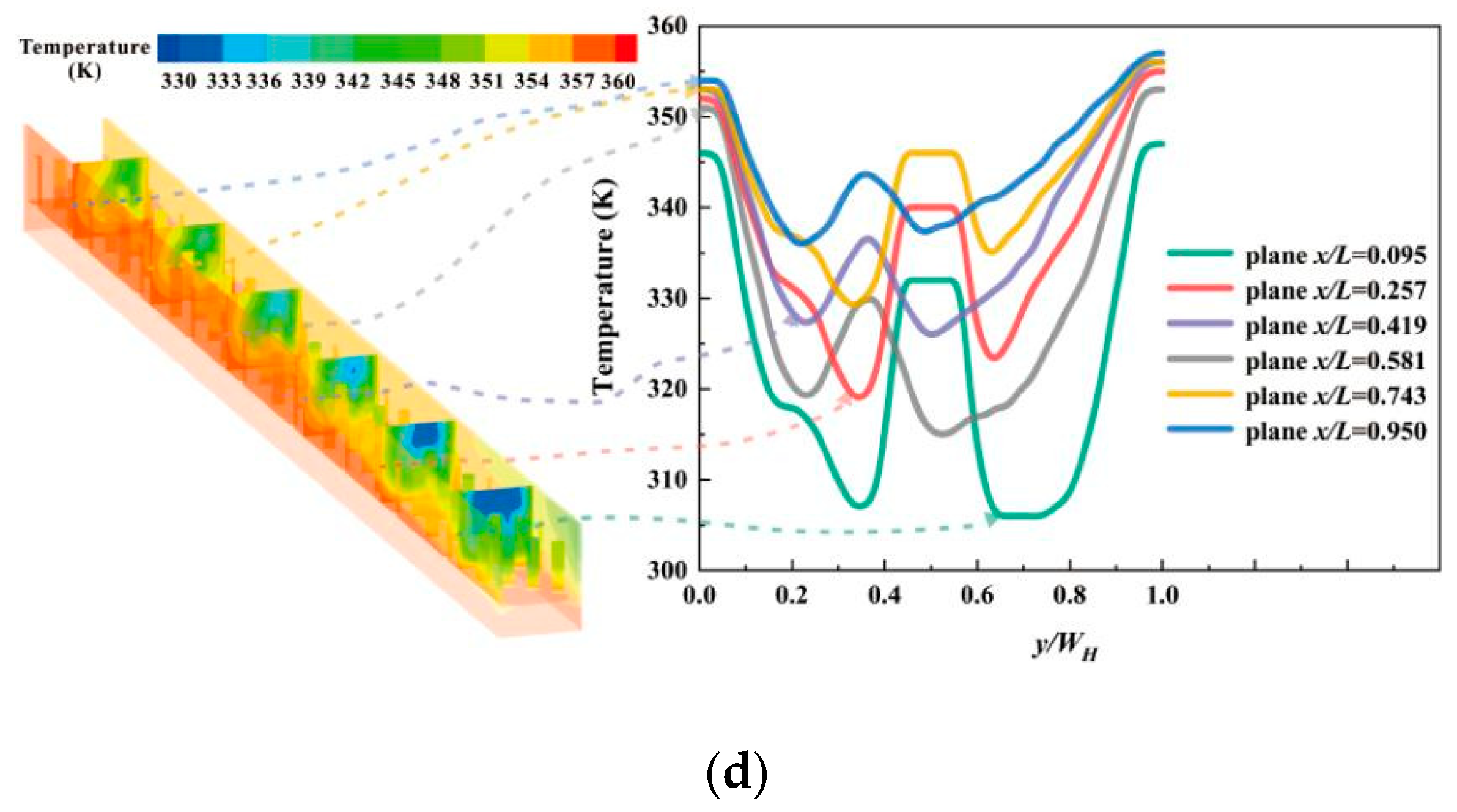
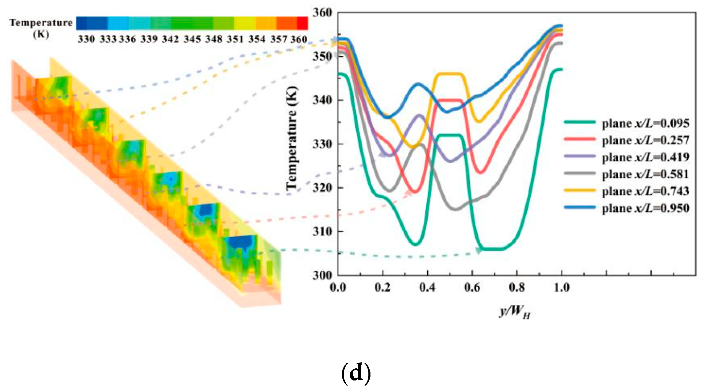
3.2. Thermal Performance
4. Conclusions
- In the MCHS inserting in-lined pin fins with an inclined angle of 30°, intenser secondary flow is generated to facilitate disturbance flow at the sacrifice of a larger friction factor.
- There is no direct relationship between increase of inclined angle and heat transfer augmentation. The comprehensive performance of the MPFHS with an inclined angle of 0° has no advantage over other conditions.
- When arrangement method of pin fins changes from in-lined pattern to staggered pattern, the consequent difference in thermo-hydraulic performance is inconspicuous compared with that imposed by the variation of inclined angle.
Author Contributions
Funding
Conflicts of Interest
Nomenclature
| A | Local area | mm2 |
| Af | Wetted surface area of the MPFHS | mm2 |
| As | Total base area of MCHS | mm2 |
| Cp | Specific heat capacity | J·kg−1·K−1 |
| cp,f | Specific heat capacity of fluid | J·kg−1·K−1 |
| Dh | Hydraulic diameter | mm |
| df | Diameter of fin | mm |
| f | Friction factor | |
| hi,x | Local heat transfer coefficient | W·m−2·K−1 |
| Hc | Height of microchannel | μm |
| Hf | Height of fin | μm |
| Hs | Height of substrate | μm |
| kf | Thermal conductivity of fluid | W·m−2·K−1 |
| ks | Thermal conductivity of solid | W·m−2·K−1 |
| L | Length of the microchannel | mm |
| Mass flux rate of water | kg·s−1 | |
| Nu | Nusselt number | |
| Nux | Local Nusselt number | |
| P | Pressure | Pa |
| Q | Volumetric flow rate of fluid | mL/min |
| q | Local heat flux | W·m−2 |
| Rconv | Average thermal resistance of convection | K/W |
| Re | Reynolds number | |
| Ta,f | Volume-weighted average temperature of fluid part | K |
| Ta,s | Volume-weighted average temperature of solid part | K |
| Tf | Temperature of fluid | K |
| Ti | Inlet temperature of fluid | K |
| To | Inlet temperature of fluid | K |
| Ts | Temperature of solid | K |
| u | Flow velocity | m·s−1 |
| umax | Maximum flow velocity | m·s−1 |
| Velocity vector | m·s−1 | |
| Vf | Fluid volume of the MPFHS | mm3 |
| vyz | Secondary flow velocity | m·s−1 |
| WH | Width of single unit cell in MPFHS | μm |
| Greek symbols | ||
| α | Inclined angle | ° |
| μ | Viscosity | Pa∙s |
| ρ | Density | kg·m−3 |
| ΔP | Pressure difference | Pa |
References
- Lim, A.E.; Lam, Y.C. Numerical Investigation of Nanostructure Orientation on Electroosmotic Flow. Micromachines 2020, 11, 971. [Google Scholar] [CrossRef]
- He, Z.; Yan, Y.; Zhang, Z. Thermal management and temperature uniformity enhancement of electronic devices by micro heat sinks: A review. Energy 2021, 216, 119223. [Google Scholar] [CrossRef]
- Rehmani, M.A.A.; Jaywant, S.A.; Arif, K.M. Study of Microchannels Fabricated Using Desktop Fused Deposition Modeling Systems. Micromachines 2020, 12, 14. [Google Scholar] [CrossRef] [PubMed]
- Qian, J.-Y.; Chen, M.-R.; Liu, X.-L.; Jin, Z.-J. A numerical investigation of the flow of nanofluids through a micro Tesla valve. J. Zhejiang Univ. A 2019, 20, 50–60. [Google Scholar] [CrossRef]
- Ramezani, H.; Zhou, L.-Y.; Shao, L.; He, Y. Coaxial 3D bioprinting of organ prototyps from nutrients delivery to vascularization. J. Zhejiang Univ. A 2020, 21, 859–875. [Google Scholar] [CrossRef]
- Rajalingam, A.; Chakraborty, S. Effect of micro-structures in a microchannel heat sink—A comprehensive study. Int. J. Heat Mass Transf. 2020, 154, 119617. [Google Scholar] [CrossRef]
- Zhang, B.-C.; Li, Q.-L.; Wang, Y.; Zhang, J.-Q.; Song, J.; Zhuang, F.-C. Experimental investigation of nitrogen flow boiling heat transfer in a single mini-channel. J. Zhejiang Univ. A 2020, 21, 147–166. [Google Scholar] [CrossRef]
- Tuckerman, D.; Pease, R. High-performance heat sinking for VLSI. IEEE Electron Device Lett. 1981, 2, 126–129. [Google Scholar] [CrossRef]
- Liang, G.; Mudawar, I. Review of single-phase and two-phase nanofluid heat transfer in macro-channels and micro-channels. Int. J. Heat Mass Transf. 2019, 136, 324–354. [Google Scholar] [CrossRef]
- Xu, M.; Lu, H.; Gong, L.; Chai, J.C.; Duan, X. Parametric numerical study of the flow and heat transfer in microchannel with dimples. Int. Commun. Heat Mass Transf. 2016, 76, 348–357. [Google Scholar] [CrossRef]
- Gan, T.; Ming, T.; Fang, W.; Liu, Y.; Miao, L.; Ren, K.; Ahmadi, M.H. Heat transfer enhancement of a microchannel heat sink with the combination of impinging jets, dimples, and side outlets. J. Therm. Anal. Calorim. 2019, 141, 45–56. [Google Scholar] [CrossRef]
- Wang, R.; Wang, J.; Yuan, W. Analysis and Optimization of a Microchannel Heat Sink with V-Ribs Using Nanofluids for Micro Solar Cells. Micromachines 2019, 10, 620. [Google Scholar] [CrossRef]
- Chai, L.; Wang, L.; Bai, X. Thermohydraulic performance of microchannel heat sinks with triangular ribs on sidewalls—Part 1: Local fluid flow and heat transfer characteristics. Int. J. Heat Mass Transf. 2018, 127, 1124–1137. [Google Scholar] [CrossRef]
- Chai, L.; Wang, L.; Bai, X. Thermohydraulic performance of microchannel heat sinks with triangular ribs on sidewalls—Part 2: Average fluid flow and heat transfer characteristics. Int. J. Heat Mass Transf. 2019, 128, 634–648. [Google Scholar] [CrossRef]
- Deldar, S.; Khoshvaght-Aliabadi, M. Evaluation of water-cooled heat sink with complex designs of groove for application in fusion energy management. Fusion Eng. Des. 2019, 140, 107–116. [Google Scholar] [CrossRef]
- Kong, L.; Liu, Z.; Jia, L.; Lv, M.; Liu, Y. Experimental study on flow and heat transfer characteristics at onset of nucleate boiling in micro pin fin heat sinks. Exp. Therm. Fluid Sci. 2020, 115, 109946. [Google Scholar] [CrossRef]
- Li, Y.; Wang, Z.; Yang, J.; Liu, H. Thermal and hydraulic characteristics of microchannel heat sinks with cavities and fins based on field synergy and thermodynamic analysis. Appl. Therm. Eng. 2020, 175, 115348. [Google Scholar] [CrossRef]
- Wang, J.; Zhou, F.-J.; Li, J.-J.; Yang, K.; Zhang, L.-F.; Fan, F. Evaluation of the oil/water selective plugging performance of nano-polymer microspheres in fractured carbonate reservoirs. J. Zhejiang Univ. A 2019, 20, 714–726. [Google Scholar] [CrossRef]
- Izci, T.; Koz, M.; Koşar, A. The Effect of Micro Pin-Fin Shape on Thermal and Hydraulic Performance of Micro Pin-Fin Heat Sinks. Heat Transf. Eng. 2015, 36, 1447–1457. [Google Scholar] [CrossRef]
- Yang, D.; Wang, Y.; Ding, G.; Jin, Z.; Zhao, J.; Wang, G. Numerical and experimental analysis of cooling performance of single-phase array microchannel heat sinks with different pin-fin configurations. Appl. Therm. Eng. 2017, 112, 1547–1556. [Google Scholar] [CrossRef]
- Marschewski, J.; Brechbühler, R.; Jung, S.; Ruch, P.; Michel, B.; Poulikakos, D. Significant heat transfer enhancement in microchannels with herringbone-inspired microstructures. Int. J. Heat Mass Transf. 2016, 95, 755–764. [Google Scholar] [CrossRef]
- Hasan, M.I.; Rageb, A.; Yaghoubi, M.; Homayoni, H. Influence of channel geometry on the performance of a counter flow microchannel heat exchanger. Int. J. Therm. Sci. 2009, 48, 1607–1618. [Google Scholar] [CrossRef]
- Koz, M.; Ozdemir, M.R.; Koşar, A. Parametric study on the effect of end walls on heat transfer and fluid flow across a micro pin-fin. Int. J. Therm. Sci. 2011, 50, 1073–1084. [Google Scholar] [CrossRef]
- Shafeie, H.; Abouali, O.; Jafarpur, K.; Ahmadi, G. Numerical study of heat transfer performance of single-phase heat sinks with micro pin-fin structures. Appl. Therm. Eng. 2013, 58, 68–76. [Google Scholar] [CrossRef]
- Kim, D.-K.; Kim, S.J. Averaging approach for microchannel heat sinks subject to the uniform wall temperature condition. Int. J. Heat Mass Transf. 2006, 49, 695–706. [Google Scholar] [CrossRef]
- Jeng, T.-M.; Tzeng, S.-C.; Tseng, C.-W.; Chang, C.-H. Effects of passage divider and packed brass beads on heat transfer characteristic of the pin-fin heat sink by water cooling. Heat Mass Transf. 2019, 56, 1429–1441. [Google Scholar] [CrossRef]
- Vafai, K.; Zhu, L. Analysis of two-layered micro-channel heat sink concept in electronic cooling. Int. J. Heat Mass Transf. 1999, 42, 2287–2297. [Google Scholar] [CrossRef]
- Leng, C.; Wang, X.-D.; Wang, T.-H.; Yan, W.-M. Optimization of thermal resistance and bottom wall temperature uniformity for double-layered microchannel heat sink. Energy Convers. Manag. 2015, 93, 141–150. [Google Scholar] [CrossRef]
- Wang, F.; Zhang, J.; Wang, S. Investigation on flow and heat transfer characteristics in rectangular channel with drop-shaped pin fins. Propuls. Power Res. 2012, 1, 64–70. [Google Scholar] [CrossRef]
- Georgios, B. Polyhedral Mesh Generation for CFD-Analysis of Complex Structures. Master’s Thesis, Technische Universitat Munchen, Munich, Germany, 2014. [Google Scholar]
- Koşar, A.; Peles, Y. Thermal-Hydraulic Performance of MEMS-based Pin Fin Heat Sink. J. Heat Transf. 2006, 128, 121–131. [Google Scholar] [CrossRef]
- Duan, Z.; Ma, H.; He, B.; Su, L.; Zhang, X. Pressure Drop of Microchannel Plate Fin Heat Sinks. Micromachines 2019, 10, 80. [Google Scholar] [CrossRef] [PubMed]












Publisher’s Note: MDPI stays neutral with regard to jurisdictional claims in published maps and institutional affiliations. |
© 2021 by the authors. Licensee MDPI, Basel, Switzerland. This article is an open access article distributed under the terms and conditions of the Creative Commons Attribution (CC BY) license (http://creativecommons.org/licenses/by/4.0/).
Share and Cite
Xie, G.-F.; Zhao, L.; Dong, Y.-Y.; Li, Y.-G.; Zhang, S.-L.; Yang, C. Hydraulic and Thermal Performance of Microchannel Heat Sink Inserted with Pin Fins. Micromachines 2021, 12, 245. https://doi.org/10.3390/mi12030245
Xie G-F, Zhao L, Dong Y-Y, Li Y-G, Zhang S-L, Yang C. Hydraulic and Thermal Performance of Microchannel Heat Sink Inserted with Pin Fins. Micromachines. 2021; 12(3):245. https://doi.org/10.3390/mi12030245
Chicago/Turabian StyleXie, Guo-Fu, Lei Zhao, Yuan-Yuan Dong, Yu-Guang Li, Shang-Lin Zhang, and Chen Yang. 2021. "Hydraulic and Thermal Performance of Microchannel Heat Sink Inserted with Pin Fins" Micromachines 12, no. 3: 245. https://doi.org/10.3390/mi12030245
APA StyleXie, G.-F., Zhao, L., Dong, Y.-Y., Li, Y.-G., Zhang, S.-L., & Yang, C. (2021). Hydraulic and Thermal Performance of Microchannel Heat Sink Inserted with Pin Fins. Micromachines, 12(3), 245. https://doi.org/10.3390/mi12030245

