Surface-Potential-Based Compact Modeling of p-GaN Gate HEMTs
Abstract
1. Introduction
2. Device Structure
3. Surface Potential (SP)-Based Model
3.1. Current Calculation
3.2. Charge Calculation
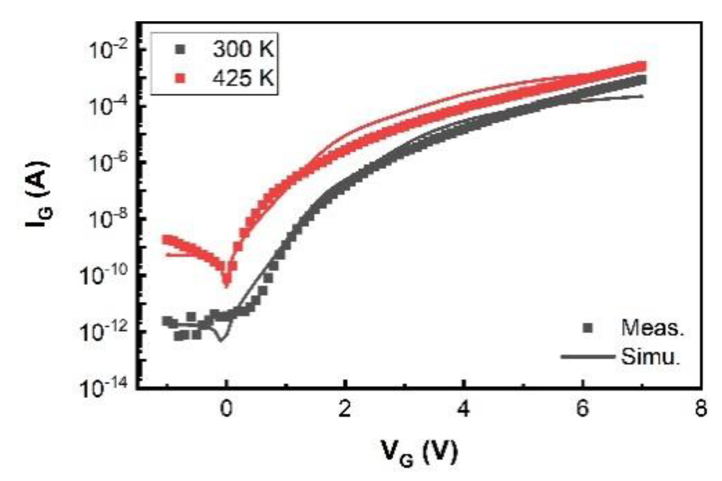
4. Results and Discussion
5. Conclusions
Author Contributions
Funding
Conflicts of Interest
References
- Mishra, U.K.; Parikh, P.; Wu, Y.-F. AlGaN/GaN HEMTs-an overview of device operation and applications. Proc. IEEE 2020, 90, 1022–1031. [Google Scholar] [CrossRef]
- Bakeroot, B.; Stockman, A.; Posthuma, N.; Stoffels, S.; Decoutere, S. Analytical Model for the Threshold Voltage of p-(Al)GaN High-Electron-Mobility Transistors. IEEE Trans. Electron Devices 2018, 65, 79–86. [Google Scholar] [CrossRef]
- Marcon, D.; Saripalli, Y.N.; Decoutere, S. 200 mm GaN-on-Si epitaxy and e-mode device technology. In Proceedings of the 2015 IEEE International Electron Devices Meeting (IEDM), Washington, DC, USA, 7–9 December 2015. [Google Scholar]
- Posthuma, N.E.; You, S.; Liang, H.; Ronchi, N.; Kang, X.; Wellekens, D.; Saripalli, Y.N.; Decoutere, S. Impact of Mg out-diffusion and activation on the p-GaN gate HEMT device performance. In Proceedings of the 28th International Symposium on Power Semiconductor Devices and ICs (ISPSD), Prague, Czech Republic, 12–16 June 2016. [Google Scholar]
- Walter, R. Curtice. Nonlinear modeling of compound semiconductor HEMTs state of the art. In Proceedings of the IEEE MTT-S International Microwave Symposium Digest, Anaheim, CA, USA, 23–28 May 2010. [Google Scholar]
- Chen, K.J.; Oliver, H.; Alex, L.; Chun, L.T.; Tetsuzo, U.; Yasuhiro, U.; Wu, Y.F. GaN-on-Si Power Technology: Devices and Applications. IEEE Trans. Electron Devices 2017, 64, 779–795. [Google Scholar] [CrossRef]
- Statz, H.; Newma, P.; Smith, I.W. GaAs FET device and circuit simulation in SPICE. IEEE Trans. Electron Devices 1987, 34, 160–165. [Google Scholar] [CrossRef]
- Angelov, I.; Zirath, H.; Rosman, N. A new empirical nonlinear model for HEMT and MESFET devices. Microw. Theory Technol. 1992, 40, 2258–2261. [Google Scholar] [CrossRef]
- Xu, J.; Jones, R.; Harris, S.A.; Nielsen, T.; Root, D.E. Dynamic FET Model-DynaFET-for GaN Transistors from NVNA Active Source Injection Measurements. In Proceedings of the IEEE MTT-S International Microwave Symposium Digest, Tampa, FL, USA, 1–6 June 2014. [Google Scholar]
- Ghosh, S.; Ahsan, S.A.; Dasgupta, A.; Khandelwal, S.; Chauhan, Y.S. GaN HEMT modeling for power and RF applications using ASM-HEMT. In Proceedings of the 2016 3rd International Conference on Emerging Electronics (ICEE), Mumbai, India, 27–30 December 2016. [Google Scholar]
- Radhakrishna, U. Modeling Gallium-Nitride Based High Electron Mobility Transistors: Linking Device Physics to High Voltage and High Frequency Circuit Design. Ph.D. Thesis, Department of Electrical Engineering and Computer Science, Massachusetts Institute of Technology, Cambridge, MA, USA, 2016. [Google Scholar]
- Jazaeri, F.; Sallese, J.M. Charge-Based EPFL HEMT Model. IEEE Trans. Electron Devices 2019, 66, 1218–1229. [Google Scholar] [CrossRef]
- Stoffels, S.; Bakeroot, B.; Wu, T.L.; Marcon, D.; Posthuma, N.E.; Decoutere, S.; Tallarico, A.N.; Fiegna, C. Failure mode for p-GaN gates under forward gate stress with varying Mg concentration. In Proceedings of the IEEE International Reliability Physics Symposium (IRPS), Monterey, CA, USA, 2–6 April 2017. [Google Scholar]
- Wang, J.; Sun, L.; Liu, J.; Zhou, M. A surface-potential-based model for AlGaN/AlN/GaN HEM. J. Semicond. 2013, 34, 0002–0007. [Google Scholar] [CrossRef]
- Wang, J. Study on the Surface Potential-Based Model of GaN HEMT. Ph.D. Thesis, Department of Electrical Engineering, Zhejiang University, Hangzhou, China, 2013. [Google Scholar]
- Brews, J.R. A Charge-Sheet Model of the MOSFET. Solid -State Electron 1978, 21, 345–355. [Google Scholar] [CrossRef]
- Rhoderick, E.H.; Williams, R.H. Current-transport mechanisms. In Metal-Semiconductor Contacts, 2nd ed.; Clarendon: Oxford, UK, 1988; pp. 98–100. [Google Scholar]
- Zhao, L.; Chen, L.; Yu, G.; Yan, D.; Yang, G.; Liu, B.; Gu, X.; Lu, H. Tunneling-Hopping Transport Model for Reverse Leakage Current in InGaN/GaN Blue Light-Emitting Diodes. IEEE Photonics Technol. Lett. 2017, 29, 1447–1450. [Google Scholar] [CrossRef]
- Wang, J.; Chen, Z.; You, S.; Benoit, B.; Liu, J.; Sun, L.; Decoutere, S. Surface-Potential-Based Compact Model for the Gate Current of p-GaN Gate HEMTs. IEEE Trans. Electron Devices 2020, 67, 3564–3567. [Google Scholar] [CrossRef]
- Oh, S.Y.; Ward, D.E.; Dutton, R.W. Transient analysis of mos transistors. IEEE Trans. Electron Devices 1980, 27, 1571–1578. [Google Scholar]
- Gildenblat, G.; Li, X.; Wu, W.; Wang, H.; Jha, A.; van Langevelde, R.; Smit, G.D.J.; Scholten, A.J.; Klaassen, D.B.M. PSP: An Advanced Surface-Potential-Based MOSFET Model for Circuit Simulation. IEEE Trans. Electron Devices 2006, 53, 1979–1993. [Google Scholar] [CrossRef]







| Parameter | Physical Meaning | p-GaN HEMT |
|---|---|---|
| NMg | Mg density | 3~5 × 1017 cm−3 |
| Eg-GaN | GaN Band gap | 3.4 eV |
| ∆EC | The Difference between the Conductor Bottom and Fermi Level | 0.518 eV |
| NC | GaN Conduction band density | 2.02 × 1018 cm−3 |
| NV | GaN Valence band density | 9.08 × 1018 cm−3 |
| εGaN | GaN dielectric constant | 9.4 |
| εAlGaN | AlGaN dielectric constant | 8.94 |
Publisher’s Note: MDPI stays neutral with regard to jurisdictional claims in published maps and institutional affiliations. |
© 2021 by the authors. Licensee MDPI, Basel, Switzerland. This article is an open access article distributed under the terms and conditions of the Creative Commons Attribution (CC BY) license (http://creativecommons.org/licenses/by/4.0/).
Share and Cite
Wang, J.; Chen, Z.; You, S.; Bakeroot, B.; Liu, J.; Decoutere, S. Surface-Potential-Based Compact Modeling of p-GaN Gate HEMTs. Micromachines 2021, 12, 199. https://doi.org/10.3390/mi12020199
Wang J, Chen Z, You S, Bakeroot B, Liu J, Decoutere S. Surface-Potential-Based Compact Modeling of p-GaN Gate HEMTs. Micromachines. 2021; 12(2):199. https://doi.org/10.3390/mi12020199
Chicago/Turabian StyleWang, Jie, Zhanfei Chen, Shuzhen You, Benoit Bakeroot, Jun Liu, and Stefaan Decoutere. 2021. "Surface-Potential-Based Compact Modeling of p-GaN Gate HEMTs" Micromachines 12, no. 2: 199. https://doi.org/10.3390/mi12020199
APA StyleWang, J., Chen, Z., You, S., Bakeroot, B., Liu, J., & Decoutere, S. (2021). Surface-Potential-Based Compact Modeling of p-GaN Gate HEMTs. Micromachines, 12(2), 199. https://doi.org/10.3390/mi12020199

