Contact Engineering Approach to Improve the Linearity of Multilevel Memristive Devices
Abstract
:1. Introduction
2. Materials and Methods
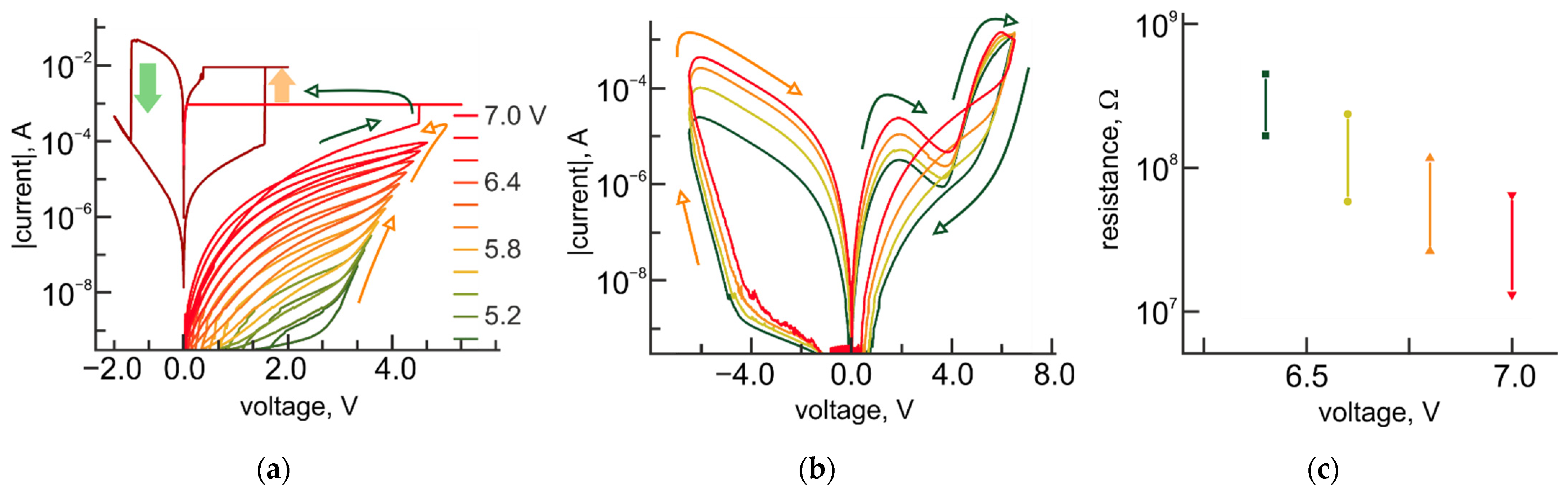
3. Results and Discussions
4. Conclusions
Author Contributions
Funding
Data Availability Statement
Conflicts of Interest
References
- Karunaratne, G.; Le Gallo, M.; Cherubini, G.; Benini, L.; Rahimi, A.; Sebastian, A. In-memory hyperdimensional computing. Nat. Electron. 2020, 3, 327–337. [Google Scholar] [CrossRef]
- Handy, J.; Coughlin, T. The future of low-latency memory. Available online: Objective-analysis.com/white-papers-2 (accessed on 1 November 2021).
- Basheer, I.; Hajmeer, M. Artificial neural networks: Fundamentals, computing, design, and application. J. Microbiol. Methods 2000, 43, 3–31. [Google Scholar] [CrossRef]
- Gokmen, T.; Vlasov, Y. Acceleration of deep neural network training with resistive cross-point devices: Design considerations. Front. Neurosci. 2016, 10, 333. [Google Scholar] [CrossRef] [PubMed] [Green Version]
- Ankit, A.; Hajj, I.E.I.; Chalamalasetti, S.R.; Ndu, G.; Foltin, M.; Williams, R.S.; Faraboschi, P.; Hwu, W.M.; Strachan, J.P.; Roy, K. PUMA: A Programmable Ultra-efficient Memristor-based Accelerator for Machine Learning Inference. In Proceedings of the Twenty-Fourth International Conference on Architectural Support for Programming Languages and Operating Systems, Providence, RI, USA, 13–17 April 2019; pp. 715–731. [Google Scholar]
- Rehman, M.M.; Rehman, H.M.M.U.; Gul, J.Z.; Kim, W.Y.; Karimov, K.S.; Ahmed, N. Decade of 2D-materials-based RRAM devices: A review. Sci. Technol. Adv. Mater. 2020, 21, 147–186. [Google Scholar] [CrossRef] [PubMed] [Green Version]
- Rehman, M.M.; ur Rehman, H.M.M.; Kim, W.Y.; Sherazi, S.S.H.; Rao, M.W.; Khan, M.; Muhammad, Z. Biomaterial-based nonvolatile resistive memory devices toward ecofriendliness and biocompatibility. ACS Appl. Electron. Mater. 2021, 3, 2832–2861. [Google Scholar] [CrossRef]
- Shafiee, A.; Nag, A.; Muralimanohar, N.; Balasubramonian, R.; Strachan, J.P.; Hu, M.; Williams, R.S.; Srikumar, V. ISAAC: A convolutional neural network accelerator with in-situ analog arithmetic in crossbars. In Proceedings of the 43rd International Symposium on Computer Architecture, Seoul, Korea, 16–22 June 2016. [Google Scholar]
- Yao, P.; Wu, H.; Gao, B.; Tang, J.; Zhang, Q.; Zhang, W.; Yang, J.J.; Qian, H. Fully hardware-implemented memristor convolutional neural network. Nature 2020, 577, 641–646. [Google Scholar] [CrossRef]
- Pi, S.; Li, C.; Jiang, H.; Xia, W.; Xin, H.; Yang, J.J.; Xia, Q. Memristor crossbar arrays with 6-nm half-pitch and 2-nm critical dimension. Nat. Nanotechnol. 2019, 14, 35–39. [Google Scholar] [CrossRef] [PubMed]
- Chekol, S.A.; Cüppers, F.; Waser, R.; Hoffmann-Eifert, S. An Ag/HfO2/Pt Threshold Switching Device with an Ultra-Low Leakage (<10 fA), High On/Off Ratio (>1011), and Low Threshold Voltage (<0.2 V) for Energy-Efficient Neuromorphic Computing. In Proceedings of the 2021 IEEE International Memory Workshop (IMW), Dresden, Germany, 16–19 May 2021; pp. 1–4. [Google Scholar]
- Li, Y.; Wang, Z.; Midya, R.; Yang, J.J. Review of memristor devices in neuromorphic computing: Materials sciences and device challenges. J. Phys. D Appl. Phys. 2018, 51, 503002. [Google Scholar] [CrossRef]
- Zhao, M.; Gao, B.; Tang, J.; Qian, H.; Wu, H. Reliability of analog resistive switching memory for neuromorphic computing. Appl. Phys. Rev. 2019, 7, 011301. [Google Scholar] [CrossRef]
- Alekseeva, L.; Nabatame, T.; Chikyow, T.; Petrov, A. Resistive switching characteristics in memristors with Al2O3/TiO2 and TiO2/Al2O3 bilayer. Jpn. J. Appl. Phys. 2016, 55, 08PB02. [Google Scholar] [CrossRef]
- Andreeva, N.; Ivanov, A.; Petrov, A. Multilevel resistive switching in TiO2/Al2O3 bilayers at low temperature. AIP Adv. 2018, 8, 025208. [Google Scholar] [CrossRef] [Green Version]
- Sinev, A.E.; Andreeva, N.; Petrov, A.; Bobkov, A. Multilevel Resistive Switching in Heterogeneous Oxide System Based on TiO2/Al2O3 bilayers for ReRAM applications: Problems and prospects. In Proceedings of the IEEE International Conference on Electrical Engineering and Photonics (EExPolytech), St. Petersburg, Russia, 22–23 October 2018; pp. 189–191. [Google Scholar]
- Andreeva, N.; Romanov, A.; Mazing, D.; Chigirev, D.; Sevostyanov, E.; Gerasimova, M.; Trushlyakova, V.; Luchinin, V. Heterolayered memristive systems for multibit memory. The role of oxygen vacancy reservoir. Nanotechnol. Russ. 2021, 16, 825–832. [Google Scholar]
- Andreeva, N.V.; Chigirev, D.A.; Kunitsyn, A.S.; Petrov, A.A. Reversible modification of electrical properties at the nanoscale level in bilayer oxide systems. IOP Conf. Ser. Mater. Sci. Eng. 2018, 443, 012003. [Google Scholar] [CrossRef] [Green Version]
- Petrov, A.; Andreeva, N.; Ivanov, A. Mechanism of electron transport and bipolar resistive switching in lead oxide thin films. AIP Adv. 2018, 8, 105015. [Google Scholar] [CrossRef]
- Andreeva, N.; Luchinin, V.; Ryndin, E. Multimodal neuromorphic modules based on multilevel memristor logics. Electron. STB. 2020, 9, 72–82. [Google Scholar]
- Stathopoulos, S.; Khiat, A.; Trapatseli, M.; Cortese, S.; Serb, A.; Valov, I.; Prodromakis, T. Multibit memory operation of metal-oxide bi-layer memristors. Sci. Rep. 2017, 7, 17532. [Google Scholar] [CrossRef] [Green Version]
- Prezioso, M.; Merrikh-Bayat, F.; Hoskins, B.; Adam, G.C.; Likharev, K.K.; Strukov, D.B. Training and operation of an integrated neuromorphic network based on metal-oxide memristors. Nature 2015, 521, 61–64. [Google Scholar] [CrossRef] [Green Version]
- Bayat, F.M.; Prezioso, M.; Chakrabarti, B.; Nili, H.; Kataeva, I.; Strukov, D. Implementation of multilayer perceptron network with highly uniform passive memristive crossbar circuits. Nat. Commun. 2018, 9, 2331. [Google Scholar] [CrossRef]
- Sheridan, P.; Cai, F.; Du, C.; Ma, W.; Zhang, Z.; Lu, W.D. Sparse coding with memristor networks. Nat. Nanotech. 2017, 12, 784–789. [Google Scholar] [CrossRef] [PubMed]
- Du, C.; Cai, F.; Zidan, M.A.; Ma, W.; Lee, S.H.; Lu, W.D. Reservoir computing using dynamic memristors for temporal information processing. Nat. Commun. 2017, 8, 2204. [Google Scholar] [CrossRef]
- Park, J.; Biju, K.P.; Jung, S.; Lee, W.; Lee, J.; Kim, S.; Park, S.; Shin, J.; Hwang, H. Multibit operation of TiOx-based ReRAM by Schottky barrier height engineering. IEEE Electron Device Lett. 2011, 32, 476–478. [Google Scholar] [CrossRef]
- Prakash, A.; Deleruyelle, D.; Song, J.; Bocquet, M.; Hwang, H. Resistance controllability and variability improvement in a TaOx-based resistive memory for multilevel storage application. Appl. Phys. Lett. 2015, 106, 233104. [Google Scholar] [CrossRef] [Green Version]
- Kim, W.; Chattopadhyay, A.; Siemon, A.; Linn, E.; Waser, R.; Rana, V. Multistate Memristive Tantalum Oxide Devices for Ternary Arithmetic. Sci. Rep. 2016, 6, 36652. [Google Scholar] [CrossRef] [PubMed] [Green Version]
- Zhang, H.; Yoo, S.; Menzel, S.; Funck, C.; Cüppers, F.; Wouters, D.J.; Hwang, C.S.; Waser, R.; Hoffmann-Eifert, S. Understanding the coexistence of two bipolar resistive switching modes with opposite polarity in Pt/TiO2/Ti/Pt nanosized ReRAM devices. ACS Appl. Mater. Interfaces 2018, 10, 29766–29778. [Google Scholar] [CrossRef] [PubMed]
- Lübben, M.; Wiefels, S.; Waser, R.; Valov, I. Processes and effects of oxygen and moisture in resistively switching TaOx and HfOx. Adv. Electron. Mater. 2017, 4, 1700458. [Google Scholar] [CrossRef]
- Rückerl, A.; Zeisel, R.; Mandl, M.; Costina, I.; Schroeder, T.; Zoellner, M.H. Characterization and prevention of humidity related degradation of atomic layer deposited Al2O3. J. Appl. Phys. 2017, 121, 025306. [Google Scholar] [CrossRef]
- Mironov, I.V. Spravochnye Dannye Dlya Raschetov v Analiticheskoj Himii; RIC NGU: Novosibirsk, Russia, 2018; p. 152. [Google Scholar]
- Carta, D.; Salaoru, I.; Khiat, A.; Regoutz, A.; Mitterbauer, C.; Harrison, N.M.; Prodromakis, T. Investigation of the Switching Mechanism in TiO2-Based RRAM: A Two-Dimensional EDX Approach. ACS Appl. Mater. Interfaces 2016, 8, 19605–19611. [Google Scholar] [CrossRef] [Green Version]
- Gantmakher, V.F. Electrons and Disorder in Solids; Institute of Solid State Physics, Russian Academy of Sciences: Moscow, Rusia, 2003. [Google Scholar]
- Guy, J.; Molas, G.; Blaise, P. Experimental and theoretical understanding of forming, SET and RESET operations in conductive bridge RAM (CBRAM) for memory stack optimization. In Proceedings of the IEEE International Electron Devices Meeting (IEDM), San Francisco, CA, USA, 15–17 December 2014; pp. 152–155. [Google Scholar]
- Ginnaram, S.; Qiu, J.T.; Maikap, S. Controlling cu migration on resistive switching, artificial synapse, and glucose/saliva detection by using an optimized AlOx interfacial layer in a-COx-based conductive bridge random access memory. ACS Omega 2020, 5, 7032–7043. [Google Scholar] [CrossRef] [Green Version]







| Memristor Geometry | Number of Resistance States | ROFF/RON or Conductance Range | Multilevel Control | SET Process | RESET Process | References |
|---|---|---|---|---|---|---|
| Pt/TiO2/AlxOy/Pt Pt/TiO2/TaxOy/Pt Pt/TiO2/WOx/Pt Pt/TiO2/HfOx/Pt Pt/TiO2/ZnOx/Pt | 47 ≈36 ≈32 ≈22 ≈16 | ≈2.3 ≈1.3 ≈2.8 ≈1.4 2 | identical pulses | 100 ns voltage pulses at 2 V | 100 ns voltage pulses at −2 V | [21] |
| Pt/Al2O3/TiO2−x/Ti/Pt | analog tuning | 12–142 μS | identical pulses | 500 μs voltage pulsesat 1.3 V | 500 μs voltage pulsesat −1.3 V | [22,23] |
| W/WOx/Pd/Au | analog tuning | <5 μS | identical pulses | 100 μs voltage pulses at 1.4 V | 100 μs voltage pulsesat −1.3 V | [24,25] |
| Ir/TiOx/TiN | 4 | 104 | voltage sweep | 1 μs voltage pulses with a height of −2.8 V | 1 μs voltage pulses with a height of 2 V, 2.4 V, 2.8 V | [26] |
| Pt/TaOx/TiN | 4 | 3.2 | variation of switching current | increase of current compliance level at 50, 100, and 200 μA | decrease of current compliance level at 200, 100, and 50 μA | [27] |
| Pt/W/TaOx/Pt | 6 | ≈103 | voltage sweep | DC operation (current-voltage sweep) in the range of −1.50 V to −2.25 V | 200 ns voltage pulses at 1.5 V | [28] |
| Pt/TiO2/Al2O3/Pt | analog tuning | ≈107 | DC operation | DC operation (current-voltage sweep) in the range of −1.9 V to −4.0 V | DC operation (current-voltage sweep) in the range of 4.0 V to −1.9 V | [14,15] |
| Pt/TiO2/Al2O3/Al | analog tuning | ≈103 | DC operation | DC operation (current-voltage sweep) in the range of 2.0 V to 4.0 V | DC operation (current-voltage sweep) in the range of −2.0 V to −4.0 V | this report |
| Pt/TiO2/Al2O3/Cu | analog tuning | ≈4 | DC operation | DC operation (current-voltage sweep) in the range of 6.4 V to 7.0 V | DC operation (current-voltage sweep) in the range of −6.4 V to −7.0 V | this report |
Publisher’s Note: MDPI stays neutral with regard to jurisdictional claims in published maps and institutional affiliations. |
© 2021 by the authors. Licensee MDPI, Basel, Switzerland. This article is an open access article distributed under the terms and conditions of the Creative Commons Attribution (CC BY) license (https://creativecommons.org/licenses/by/4.0/).
Share and Cite
Andreeva, N.; Mazing, D.; Romanov, A.; Gerasimova, M.; Chigirev, D.; Luchinin, V. Contact Engineering Approach to Improve the Linearity of Multilevel Memristive Devices. Micromachines 2021, 12, 1567. https://doi.org/10.3390/mi12121567
Andreeva N, Mazing D, Romanov A, Gerasimova M, Chigirev D, Luchinin V. Contact Engineering Approach to Improve the Linearity of Multilevel Memristive Devices. Micromachines. 2021; 12(12):1567. https://doi.org/10.3390/mi12121567
Chicago/Turabian StyleAndreeva, Natalia, Dmitriy Mazing, Alexander Romanov, Marina Gerasimova, Dmitriy Chigirev, and Victor Luchinin. 2021. "Contact Engineering Approach to Improve the Linearity of Multilevel Memristive Devices" Micromachines 12, no. 12: 1567. https://doi.org/10.3390/mi12121567
APA StyleAndreeva, N., Mazing, D., Romanov, A., Gerasimova, M., Chigirev, D., & Luchinin, V. (2021). Contact Engineering Approach to Improve the Linearity of Multilevel Memristive Devices. Micromachines, 12(12), 1567. https://doi.org/10.3390/mi12121567
