Simulation of the Slip Velocity Effect in an AC Electrothermal Micropump
Abstract
1. Introduction
2. Physical Configuration
3. Physical Model
- At the left and right walls ( and ), a periodic condition is applied.
- At the anode and the cathode, the potential is respectively equal to and where is an adjustable value.
- At the other walls ( and the remaining part of ), an insulation condition is applied.
- At the left and right walls ( and ), the inlet and the outlet walls are assumed to be adiabatic. The heat flux is equal to zero at these boundaries.
- At the walls ( and ), the temperature is assumed to be continuous.
- At the external walls of the cover and the substrate ( and ), an isothermal condition is applied: .
- At the left and right walls ( and ), the normal stress is equal to zero at the inlet and outlet walls.
- At the walls ( and ), a slip or no-slip velocity condition is applied.
4. Results and Discussion
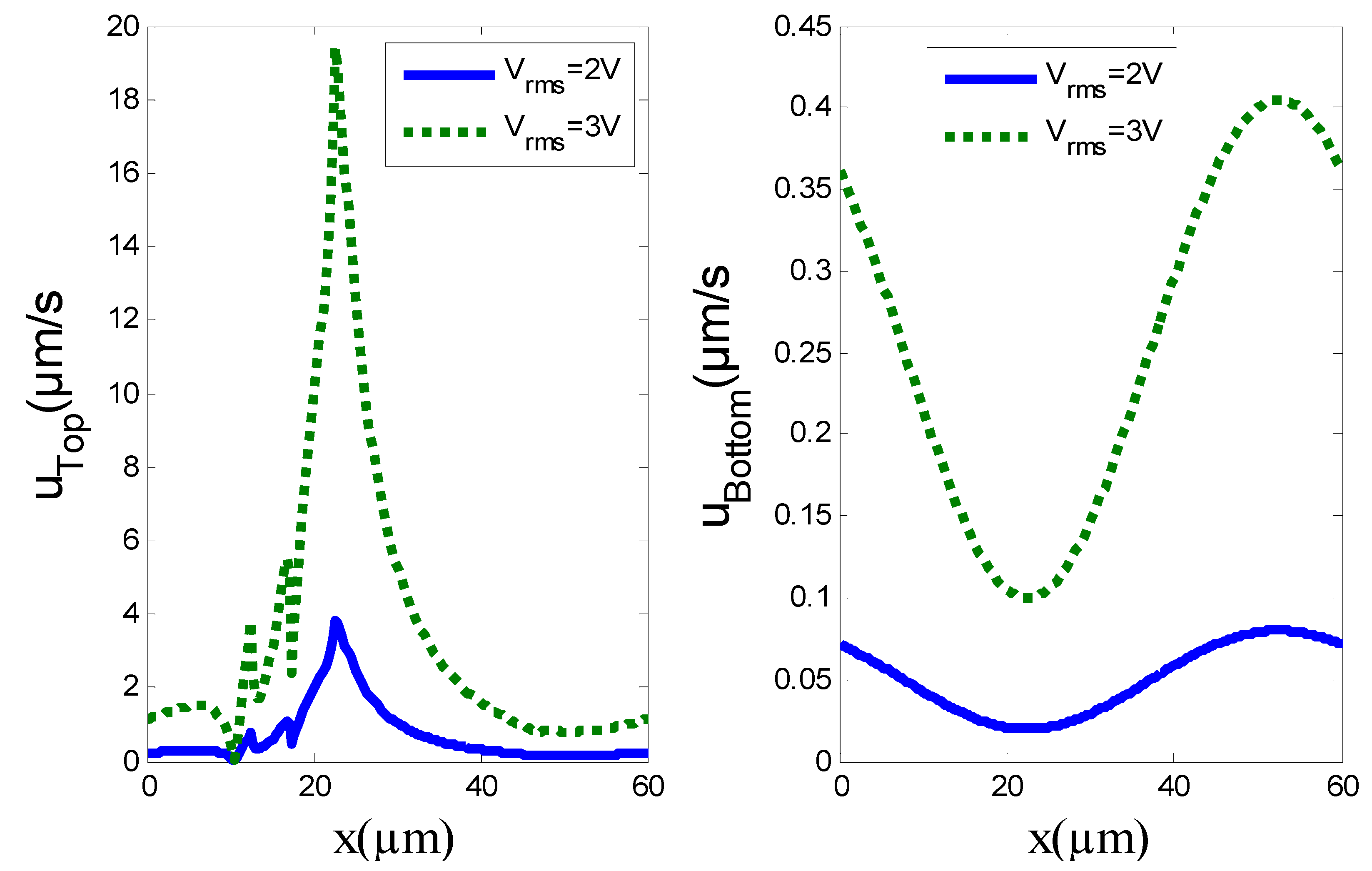
4.1. Effects of Slip Velocity on Characteristics of Electrothermal Flow
4.2. Slip Velocity’s Effect on the Average Pumping Velocity
4.3. Effects of Slip Velocity and Electrical Conductivity on Average Velocity
4.4. Effects of Slip Velocity and Thermal Conductivity on Average Pumping Velocity
- A significant increase in average velocity.
- The effect of the slip velocity is very significant with a rate of increase of 33%. However, this change is only 3% for silicon.
- A significant increase of the slip velocity at the bottom wall of the microchannel.
4.5. Effects of Slip Velocity and Frequency on Average Pumping Velocity
5. Conclusions
- Shear stress increases with increasing slip length and applied voltage.
- Slip velocity in the region between the two electrodes is very higher than the slip velocity at the top wall.
- The effect of the slip velocity is very significant with a rate of increase of 33% of the average pumping velocity when a glass substrate is used. However, for a silicon substrate, this rate is only 3%.
- The electrothermal flow does not depend on frequency but depends on the slip velocity and the applied voltage for the frequency range below 100 kHz.
Author Contributions
Funding
Conflicts of Interest
References
- Bottausci, F. DNA hybridization enhancement in microarrays using AC-electrothermal flow. In Proceedings of the ASME 2008 Fluids Engineering Division Summer Meeting Collocated with the Heat Transfer, Energy Sustainability, and 3rd Energy Nanotechnology Conferences, Jacksonville, FL, USA, 10–14 August 2008; pp. 629–636. [Google Scholar]
- Cao, J.; Cheng, P.; Hong, F. Applications of electrohydrodynamics and Joule heating effects in microfluidic chips: A review. Sci. China Ser. E Technol. Sci. 2009, 52, 3477–3490. [Google Scholar] [CrossRef]
- Doh, I.; Cho, Y.-H. A continuous cell separation chip using hydrodynamic dielectrophoresis (DEP) process. Sens. Actuators A Phys. 2005, 121, 59–65. [Google Scholar] [CrossRef]
- Lu, Y. AC electrokinetics of physiological fluids for biomedical applications. J. Lab. Autom. 2015, 20, 611–620. [Google Scholar] [CrossRef] [PubMed]
- Sigurdson, M.; Wang, D.; Meinhart, C.D. Electrothermal stirring for heterogeneous immunoassays. Lab Chip 2005, 5, 1366–1373. [Google Scholar] [CrossRef]
- Sin, M.L. Advances and challenges in biosensor-based diagnosis of infectious diseases. Expert Rev. Mol. Diagn. 2014, 14, 225–244. [Google Scholar] [CrossRef] [PubMed]
- Urbanski, J.P. Fast ac electro-osmotic micropumps with nonplanar electrodes. Appl. Phys. Lett. 2006, 89, 143508. [Google Scholar] [CrossRef]
- Ghandchi, M.; Vafaie, R.H. AC electrothermal actuation mechanism for on-chip mixing of high ionic strength fluids. Microsyst. Technol. 2017, 23, 1495–1507. [Google Scholar] [CrossRef]
- Selmi, M. Electrothermal effect on the immunoassay in a microchannel of a biosensor with asymmetrical interdigitated electrodes. Appl. Therm. Eng. 2016, 105, 77–84. [Google Scholar] [CrossRef]
- Selmi, M. Enhancement of the analyte mass transport in a microfluidic biosensor by deformation of fluid flow and electrothermal force. J. Manuf. Sci. Eng. 2016, 138, 081011. [Google Scholar] [CrossRef]
- Selmi, M.; Belmabrouk, H. AC electroosmosis effect on microfluidic heterogeneous immunoassay efficiency. Micromachines 2020, 11, 342. [Google Scholar] [CrossRef]
- Gao, X.; Li, Y. Biofluid pumping and mixing by an AC electrothermal micropump embedded with a spiral microelectrode pair in a cylindrical microchannel. Electrophoresis 2018, 39, 3156–3170. [Google Scholar] [CrossRef] [PubMed]
- Kim, B.J. Development of a microfluidic device for simultaneous mixing and pumping. Exp. Fluids 2009, 46, 85–95. [Google Scholar] [CrossRef]
- Lastochkin, D. Electrokinetic micropump and micromixer design based on ac faradaic polarization. J. Appl. Phys. 2004, 96, 1730–1733. [Google Scholar] [CrossRef]
- Ramos, A. Pumping of liquids with ac voltages applied to asymmetric pairs of microelectrodes. Phys. Rev. E 2003, 67, 056302. [Google Scholar] [CrossRef] [PubMed]
- Lu, Y. Long-range electrothermal fluid motion in microfluidic systems. Int. J. Heat Mass Transf. 2016, 98, 341–349. [Google Scholar] [CrossRef] [PubMed]
- Ramos, A. AC electrokinetics: A review of forces in microelectrode structures. J. Phys. D Appl. Phys. 1998, 31, 2338. [Google Scholar] [CrossRef]
- Green, N.G. Fluid flow induced by nonuniform ac electric fields in electrolytes on microelectrodes. I. Experimental measurements. Phys. Rev. E 2000, 61, 4011. [Google Scholar] [CrossRef]
- Hong, F.; Cao, J.; Cheng, P. A parametric study of AC electrothermal flow in microchannels with asymmetrical interdigitated electrodes. Int. J. Heat Mass Transf. 2011, 38, 275–279. [Google Scholar] [CrossRef]
- Hong, F.; Bai, F.; Cheng, P. Numerical simulation of AC electrothermal micropump using a fully coupled model. Microfluid. Nanofluidics 2012, 13, 411–420. [Google Scholar] [CrossRef]
- Wu, J.; Lian, M.; Yang, K. Micropumping of biofluids by alternating current electrothermal effects. Appl. Phys. Lett. 2007, 90, 234103. [Google Scholar] [CrossRef]
- Du, E.; Manoochehri, S. Enhanced ac electrothermal fluidic pumping in microgrooved channels. J. Appl. Phys. 2008, 104, 064902. [Google Scholar] [CrossRef]
- Du, E.; Manoochehri, S. Microfluidic pumping optimization in microgrooved channels with ac electrothermal actuations. Appl. Phys. Lett. 2010, 96, 034102. [Google Scholar] [CrossRef]
- Zhang, R.; Dalton, C.; Jullien, G.A. Two-phase AC electrothermal fluidic pumping in a coplanar asymmetric electrode array. Microfluid. Nanofluidics 2011, 10, 521–529. [Google Scholar] [CrossRef]
- Gao, X.; Li, Y. Simultaneous microfluidic pumping and mixing using an array of asymmetric 3D ring electrode pairs in a cylindrical microchannel by the AC electroosmosis effect. Eur. J. Mech B Fluids 2019, 75, 361–371. [Google Scholar] [CrossRef]
- Salari, A.; Navi, M.; Dalton, C. A novel alternating current multiple array electrothermal micropump for lab-on-a-chip applications. Biomicrofluidics 2015, 9, 014113. [Google Scholar] [CrossRef]
- Salari, A.; Dalton, C. Simultaneous pumping and mixing of biological fluids in a double-array electrothermal microfluidic device. Micromachines 2019, 10, 92. [Google Scholar] [CrossRef]
- Ren, Q. Investigation of pumping mechanism for non-Newtonian blood flow with AC electrothermal forces in a microchannel by hybrid boundary element method and immersed boundary-lattice Boltzmann method. Electrophoresis 2018, 39, 1329–1338. [Google Scholar] [CrossRef]
- Degré, G. Rheology of complex fluids by particle image velocimetry in microchannels. Appl. Phys. Lett. 2006, 89, 024104. [Google Scholar] [CrossRef]
- Tuinier, R.; Taniguchi, T. Polymer depletion-induced slip near an interface. J. Phys. Condens. Matter 2004, 17, L9. [Google Scholar] [CrossRef]
- Kok, P.H. Effects of particle size on near-wall depletion in mono-dispersed colloidal suspensions. J. Colloid Interface Sci. 2004, 280, 511–517. [Google Scholar]
- Chakraborty, S. Dynamics of capillary flow of blood into a microfluidic channel. Lab Chip 2005, 5, 421–430. [Google Scholar] [CrossRef] [PubMed]
- Zhao, C.; Yang, C. On the competition between streaming potential effect and hydrodynamic slip effect in pressure-driven microchannel flows. Colloids Surf. A Physicochem. Eng. Asp. 2011, 386, 191–194. [Google Scholar] [CrossRef]
- Rivero, M.; Cuevas, S. Analysis of the slip condition in magnetohydrodynamic (MHD) micropumps. Sens. Actuators B Chem. 2012, 166, 884–892. [Google Scholar] [CrossRef]
- Shit, G. Effects of slip velocity on rotating electro-osmotic flow in a slowly varying micro-channel. Colloids Surf. A Physicochem. Eng. Asp. 2016, 489, 249–255. [Google Scholar] [CrossRef]
- Karniadakis, G.; Beskok, A.; Aluru, N. Microflows and Nanoflows: Fundamentals and Simulation; Springer Science & Business Media: Berlin/Heidelberg, Germany, 2005. [Google Scholar]
- Selmi, M.; Gazzah, M.H.; Belmabrouk, H. Numerical study of the electrothermal effect on the kinetic reaction of immunoassays for a microfluidic biosensor. Langmuir 2016, 32, 13305–13312. [Google Scholar] [CrossRef] [PubMed]
- Lockerby, D.A. Velocity boundary condition at solid walls in rarefied gas calculations. Phys. Rev. E 2004, 70, 017303. [Google Scholar] [CrossRef]
- Sharipov, F. Data on the velocity slip and temperature jump coefficients [gas mass, heat and momentum transfer]. In Proceedings of the 5th International Conference on Thermal and Mechanical Simulation and Experiments in Microelectronics and Microsystems, EuroSimE 2004, Brussels, Belgium, 10–12 May 2004. [Google Scholar]
- Priezjev, N.V.; Darhuber, A.A.; Troian, S.M. Slip behavior in liquid films on surfaces of patterned wettability: Comparison between continuum and molecular dynamics simulations. Phys. Rev. E 2005, 71, 041608. [Google Scholar] [CrossRef]
- Tabeling, P. Introduction to Microfluidics; Oxford University Press: Oxford, UK, 2005. [Google Scholar]











| Property | Fluid (KCl) | Cover (PDMS) | Substrate | |
|---|---|---|---|---|
| Glass | Silica | |||
| Thermal conductivity (W/K·m) | 0.61 | 0.18 | 1.38 | 150 |
| Relative permittivity εr | 80 | - | - | - |
| Electrical conductivity σ (S/m) | 0.001–0.1 | - | - | - |
| Dynamic viscosity μ (Pa·s) | 10−3 | - | - | - |
© 2020 by the authors. Licensee MDPI, Basel, Switzerland. This article is an open access article distributed under the terms and conditions of the Creative Commons Attribution (CC BY) license (http://creativecommons.org/licenses/by/4.0/).
Share and Cite
Echouchene, F.; Al-shahrani, T.; Belmabrouk, H. Simulation of the Slip Velocity Effect in an AC Electrothermal Micropump. Micromachines 2020, 11, 825. https://doi.org/10.3390/mi11090825
Echouchene F, Al-shahrani T, Belmabrouk H. Simulation of the Slip Velocity Effect in an AC Electrothermal Micropump. Micromachines. 2020; 11(9):825. https://doi.org/10.3390/mi11090825
Chicago/Turabian StyleEchouchene, Fraj, Thamraa Al-shahrani, and Hafedh Belmabrouk. 2020. "Simulation of the Slip Velocity Effect in an AC Electrothermal Micropump" Micromachines 11, no. 9: 825. https://doi.org/10.3390/mi11090825
APA StyleEchouchene, F., Al-shahrani, T., & Belmabrouk, H. (2020). Simulation of the Slip Velocity Effect in an AC Electrothermal Micropump. Micromachines, 11(9), 825. https://doi.org/10.3390/mi11090825

