Dielectric Characterization and Separation Optimization of Infiltrating Ductal Adenocarcinoma via Insulator-Dielectrophoresis
Abstract
1. Introduction
2. Theory of Dielectrophoresis
3. Materials and Methods
3.1. Microwell Fabrication
3.2. Cell Pretreatment
3.3. Measurement of Crossover Frequency
4. Finite Element Modeling and Simulation
5. Results and Discussion
5.1. Electrophysiological Characterization of PBMCs and ADCs Experimentally
5.2. Parameters Affecting COMSOL Modeling and Simulation to Obtain High Sorting Efficiencies
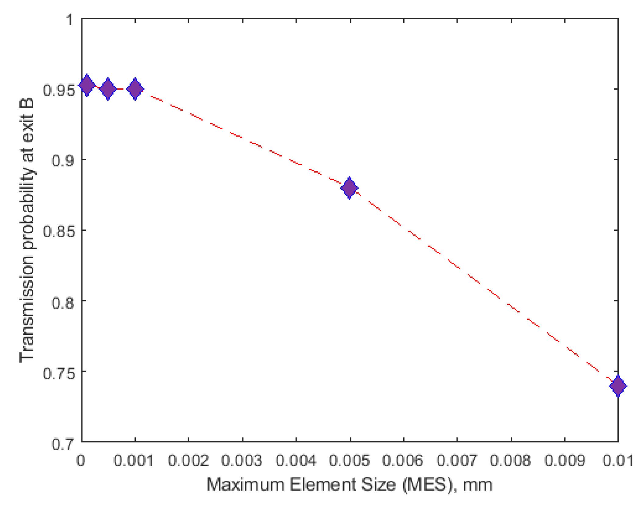
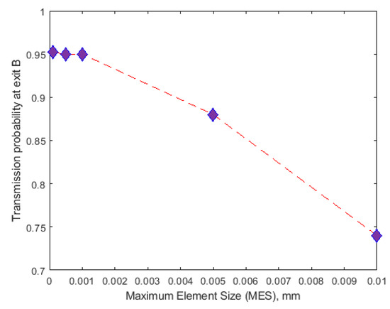
5.2.1. Meshing of the Device Design in COMSOL
5.2.2. Stationary Field Analysis
5.2.3. Transient Analysis
5.3. Validation of the DEP Microwell Technique
6. Conclusions
Author Contributions
Funding
Acknowledgments
Conflicts of Interest
References
- Cao, B.; Bray, F.; Ilbawi, A.; Soerjomataram, I. Effect on longevity of one-third reduction in premature mortality from non-communicable diseases by 2030: A global analysis of the sustainable development goal health target. Lancet Glob. Health 2018, 6, e1288–e1296. [Google Scholar] [CrossRef]
- Konigsberg, R.; Obermayr, E.; Bises, G.; Pfeiler, G.; Gneist, M.; Wrba, F.; de Santis, M.; Zeillinger, R.; Hudec, M.; Dittrich, C. Detection of epcam positive and negative circulating tumor cells in metastatic breast cancer patients. Acta. Oncol. 2011, 50, 700–710. [Google Scholar] [CrossRef] [PubMed]
- Adekanmbi, E.; Srivastava, S. Dielectrophoretic applications for disease diagnostics using lab-on-a-chip platform. Lab Chip 2016, 16, 2148–2167. [Google Scholar] [CrossRef] [PubMed]
- Breast Cancer Statistics. Available online: https://www.breastcancer.org/symptoms/understand_bc/statistics. (accessed on 24 March 2020).
- den Toonder, J. Circulating tumor cells: The grand challenge. Lab Chip 2011, 11, 375–377. [Google Scholar] [CrossRef]
- Karabacak, N.M.; Spuhler, P.S.; Fachin, F.; Lim, E.J.; Pai, V.; Ozkumur, E.; Martel, J.M.; Kojic, N.; Smith, K.; Chen, P.I.; et al. Microfluidic, marker-free isolation of circulating tumor cells from blood samples. Nat. Protoc. 2014, 9, 694–710. [Google Scholar] [CrossRef]
- Hammar, S.P. Metastatic adenocarcinoma of unknown primary origin. Hum. Pathol. 1998, 29, 1393–1402. [Google Scholar] [CrossRef]
- Mego, M. Emerging role of circulating tumor cells in cancer management. Indian J. Med. Paediatr. Oncol. 2014, 35, 237–238. [Google Scholar] [CrossRef][Green Version]
- Whole Blood is the Best Biospecimen for Isolating Peripheral Blood Mononuclear Cells. Available online: https://www.dls.com/biopharma/blog/3-reasons-whole-blood-is-necessary-for-pbmc-isolation (accessed on 5 February 2020).
- Gascoyne, P.R.; Shim, S. Isolation of circulating tumor cells by dielectrophoresis. Cancers 2014, 6, 545–579. [Google Scholar] [CrossRef]
- Nagrath, S.; Sequist, L.V.; Maheswaran, S.; Bell, D.W.; Irimia, D.; Ulkus, L.; Smith, M.R.; Kwak, E.L.; Digumarthy, S.; Muzikansky, A. Isolation of rare circulating tumour cells in cancer patients by microchip technology. Nature 2007, 450, 1235–1239. [Google Scholar] [CrossRef]
- Deng, G.; Herrler, M.; Burgess, D.; Manna, E.; Krag, D.; Burke, J.F. Enrichment with anti-cytokeratin alone or combined with anti-epcam antibodies significantly increases the sensitivity for circulating tumor cell detection in metastatic breast cancer patients. Breast Cancer Res. 2008, 10, R69. [Google Scholar] [CrossRef]
- Wlodkowic, D.; Cooper, J.M. Tumors on chips: Oncology meets microfluidics. Curr. Opin. Chem. Biol. 2010, 14, 556–567. [Google Scholar] [CrossRef]
- Plouffe, B.D.; Lewis, L.H.; Murthy, S.K. Computational design optimization for microfluidic magnetophoresis. Biomicrofluidics 2011, 5, 13413. [Google Scholar] [CrossRef] [PubMed]
- Liu, Y.; Hartono, D.; Lim, K.M. Cell separation and transportation between two miscible fluid streams using ultrasound. Biomicrofluidics 2012, 6, 012802. [Google Scholar] [CrossRef] [PubMed]
- Gascoyne, P.R.; Wang, X.B.; Huang, Y.; Becker, F.F. Dielectrophoretic separation of cancer cells from blood. IEEE Trans. Ind. Appl. 1997, 33, 670–678. [Google Scholar] [CrossRef]
- Becker, F.F.; Wang, X.B.; Huang, Y.; Pethig, R.; Vykoukal, J.; Gascoyne, P.R. Separation of human breast cancer cells from blood by differential dielectric affinity. Proc. Natl. Acad. Sci. USA 1995, 92, 860–864. [Google Scholar] [CrossRef] [PubMed]
- Moon, H.-S.; Kwon, K.; Kim, S.-I.; Han, H.; Sohn, J.; Lee, S.; Jung, H.-I. Continuous separation of breast cancer cells from blood samples using multi-orifice flow fractionation (MOFF) and dielectrophoresis (DEP). Lab Chip 2011, 11, 1118–1125. [Google Scholar] [CrossRef] [PubMed]
- Yang, F.; Yang, X.; Jiang, H.; Butler, W.M.; Wang, G. Dielectrophoretic separation of prostate cancer cells. Technol. Cancer Reserach Treat. 2013, 12, 61–70. [Google Scholar] [CrossRef]
- Zerbino, D.D. Biopsy: Its history, current and future outlook. Likars’ka sprava 1994, 3–4, 1–9. [Google Scholar]
- An, J.; Lee, J.; Lee, S.H.; Park, J.; Kim, B. Separation of malignant human breast cancer epithelial cells from healthy epithelial cells using an advanced dielectrophoresis-activated cell sorter (DACS). Anal. Bioanal. Chem. 2009, 394, 801–809. [Google Scholar] [CrossRef]
- Alshareef, M.; Metrakos, N.; Juarez Perez, E.; Azer, F.; Yang, F.; Yang, X.; Wang, G. Separation of tumor cells with dielectrophoresis-based microfluidic chip. Biomicrofluidics 2013, 7, 11803. [Google Scholar] [CrossRef] [PubMed]
- Srivastava, S.K.; Daggolu, P.R.; Burgess, S.C.; Minerick, A.R. Dielectrophoretic characterization of erythrocytes: Positive abo blood types. Electrophoresis 2008, 29, 5033–5046. [Google Scholar] [CrossRef]
- Srivastava, S.K.; Gencoglu, A.; Minerick, A.R. Dc insulator dielectrophoretic applications in microdevice technology: A review. Anal. Bioanal. Chem. 2011, 399, 301–321. [Google Scholar] [CrossRef]
- Pethig, R. Review article-dielectrophoresis: Status of the theory, technology, and applications. Biomicrofluidics 2010, 4, 022811. [Google Scholar] [CrossRef] [PubMed]
- Gencoglu, A.; Minerick, A. Chemical and morphological changes on platinum microelectrode surfaces in ac and dc fields with biological buffer solutions. Lab Chip 2009, 9, 1866–1873. [Google Scholar] [CrossRef] [PubMed]
- Ozuna-Chacon, S.; Lapizco-Encinas, B.H.; Rito-Palomares, M.; Martinez-Chapa, S.O.; Reyes-Betanzo, C. Performance characterization of an insulator-based dielectrophoretic microdevice. Electrophoresis 2008, 29, 3115–3122. [Google Scholar] [CrossRef] [PubMed]
- Chou, C.F.; Tegenfeldt, J.O.; Bakajin, O.; Chan, S.S.; Cox, E.C.; Darnton, N.; Duke, T.; Austin, R.H. Electrodeless dielectrophoresis of single- and double-stranded DNA. Biophys. J. 2002, 83, 2170–2179. [Google Scholar] [CrossRef]
- Cummings, E.B.; Singh, A.K. Dielectrophoresis in microchips containing arrays of insulating posts: Theoretical and experimental results. Anal. Chem. 2003, 75, 4724–4731. [Google Scholar] [CrossRef]
- Moncada-Hernandez, H.; Lapizco-Encinas, B.H. Simultaneous concentration and separation of microorganisms: Insulator-based dielectrophoretic approach. Anal. Bioanal. Chem. 2010, 396, 1805–1816. [Google Scholar] [CrossRef]
- Pethig, R.R. Dielectrophoresis: Theory, Methodology and Biological Applications; Wiley; Hoboken, NY, USA, 2017. [Google Scholar]
- Jing, D.; Zhan, X. Cross-Sectional Dimension Dependence of Electroosmotic Flow in Fractal Treelike Rectangular Microchannel Network. Micromachines 2020, 11, 266. [Google Scholar] [CrossRef]
- Bhattacharyya, S.; Bera, S. Combined electroosmosis-pressure driven flow and mixing in a microchannel with surface heterogeneity. Appl. Math. Modell. 2015, 39, 4337–4350. [Google Scholar] [CrossRef]
- Ghosal, S. Fluid mechanics of electroosmotic flow and its effect on band broadening in capillary electrophoresis. Electrophoresis 2004, 25, 214–228. [Google Scholar] [CrossRef] [PubMed]
- Tandon, V.; Bhagavatula, S.K.; Nelson, W.C.; Kirby, B.J. Zeta potential and electroosmotic mobility in microfluidic devices fabricated from hydrophobic polymers: 1. The origins of charge. Electrophoresis 2008, 29, 1092–1101. [Google Scholar] [CrossRef] [PubMed]
- O’Brien, R.W.; White, L.R. Electrophoretic mobility of a spherical colloidal particle. J. Chem. Soc. Faraday Trans. 1978, 74, 1607–1626. [Google Scholar] [CrossRef]
- Srivastava, S.K.; Baylon-Cardiel, J.L.; Lapizco-Encinas, B.H.; Minerick, A.R. A continuous dc-insulator dielectrophoretic sorter of microparticles. J. Chromatogr. A 2011, 1218, 1780–1789. [Google Scholar] [CrossRef]
- Adekanmbi, E.O.; Ueti, M.W.; Rinaldi, B.; Suarez, C.E.; Srivastava, S.K. Insulator-based dielectrophoretic diagnostic tool for babesiosis. Biomicrofluidics 2016, 10, 033108. [Google Scholar] [CrossRef]
- Huang, C.; Liu, H.; Bander, N.H.; Kirby, B.J. Enrichment of prostate cancer cells from blood cells with a hybrid dielectrophoresis and immunocapture microfluidic system. Biomed. Microdevices 2013, 15, 941–948. [Google Scholar] [CrossRef]
- Kirby, B.J. Micro- and Nanoscale Fluid Mechanics: Transport in Microfluidic Devices; Cambridge University Press: Cambridge, UK, 2010. [Google Scholar]
- Qiao, G.; Duan, W.; Chatwin, C.; Sinclair, A.; Wang, W. Electrical properties of breast cancer cells from impedance measurement of cell suspensions. J. Phys. Conf. Ser. 2010, 224, 012081. [Google Scholar] [CrossRef]
- Gascoyne, P.; Mahidol, C.; Ruchirawat, M.; Satayavivad, J.; Watcharasit, P.; Becker, F.F. Microsample preparation by dielectrophoresis: Isolation of malaria. Lab Chip 2002, 2, 70–75. [Google Scholar] [CrossRef]
- Chan, K.L.; Morgan, H.; Morgan, E.; Cameron, I.T.; Thomas, M.R. Measurements of the dielectric properties of peripheral blood mononuclear cells and trophoblast cells using ac electrokinetic techniques. Biochim. Biophys. Acta (BBA) Mol. Basis Disease 2000, 1500, 313–322. [Google Scholar] [CrossRef][Green Version]











| Physics/Parameters | Tag | Dependent Variable | Discretization | Study | Equation |
|---|---|---|---|---|---|
| Electric current | ec | V | Lagrange Quadratic | Stationary | Wall boundary- insulated () |
| Fluid Flow | spf | u | P2 + P1 | Stationary | Wall boundary- electroosmosis |
| Particle tracing | ptf | q, v | Formulation | Transient | in stationary field Wall boundary- particles bounce-off walls |
| Newtonian | |||||
| Drag law | |||||
| Stokes | |||||
| Meshing | Calibration | Mesh Type | Max size | Boundary layer transition | |
| Fluid dynamics | Free triangular | 0.001 mm | Smooth transition to interior mesh | ||
| Stationary solver | MUMPS | ||||
| Transient Solver | GMRES | ||||
| Property | ADCs (Infiltrating Ductal Adenocarcinoma Cells) | PBMCs (Lymphocytes) | Suspending Medium | |
|---|---|---|---|---|
| Crossover Freq. Technique | Crossover Freq. Technique | Literature Reported [43] | ||
| Conductivity (S/m) | 1.3 | 0.67 | 0.66 | 0.055 |
| Permittivity | 69 | 62 | 59.62 | 80 |
© 2020 by the authors. Licensee MDPI, Basel, Switzerland. This article is an open access article distributed under the terms and conditions of the Creative Commons Attribution (CC BY) license (http://creativecommons.org/licenses/by/4.0/).
Share and Cite
Adekanmbi, E.O.; Giduthuri, A.T.; Srivastava, S.K. Dielectric Characterization and Separation Optimization of Infiltrating Ductal Adenocarcinoma via Insulator-Dielectrophoresis. Micromachines 2020, 11, 340. https://doi.org/10.3390/mi11040340
Adekanmbi EO, Giduthuri AT, Srivastava SK. Dielectric Characterization and Separation Optimization of Infiltrating Ductal Adenocarcinoma via Insulator-Dielectrophoresis. Micromachines. 2020; 11(4):340. https://doi.org/10.3390/mi11040340
Chicago/Turabian StyleAdekanmbi, Ezekiel O., Anthony T. Giduthuri, and Soumya K. Srivastava. 2020. "Dielectric Characterization and Separation Optimization of Infiltrating Ductal Adenocarcinoma via Insulator-Dielectrophoresis" Micromachines 11, no. 4: 340. https://doi.org/10.3390/mi11040340
APA StyleAdekanmbi, E. O., Giduthuri, A. T., & Srivastava, S. K. (2020). Dielectric Characterization and Separation Optimization of Infiltrating Ductal Adenocarcinoma via Insulator-Dielectrophoresis. Micromachines, 11(4), 340. https://doi.org/10.3390/mi11040340

