Abstract
Deoxynivalenol (DON) is a mycotoxin mainly produced by the Fusarium graminearum complex, which are important phytopathogens that can infect crops and lead to a serious disease called Fusarium head blight (FHB). As the most common B type trichothecene mycotoxin, DON has toxic effects on animals and humans, which poses a risk to food security. Thus, efforts have been devoted to control DON contamination in different ways. Management of DON production by Trichoderma strains as a biological control-based strategy has drawn great attention recently. In our study, eight selected Trichoderma strains were evaluated for their antagonistic activities on F. graminearum by dual culture on potato dextrose agar (PDA) medium. As potential antagonists, Trichoderma strains showed prominent inhibitory effects on mycelial growth and mycotoxin production of F. graminearum. In addition, the modified mycotoxin deoxynivalenol-3-glucoside (D3G), which was once regarded as a detoxification product of DON in plant defense, was detected when Trichoderma were confronted with F. graminearum. The occurrence of D3G in F. graminearum and Trichoderma interaction was reported for the first time, and these findings provide evidence that Trichoderma strains possess a self-protection mechanism as plants to detoxify DON into D3G when competing with F. graminearum.
1. Introduction
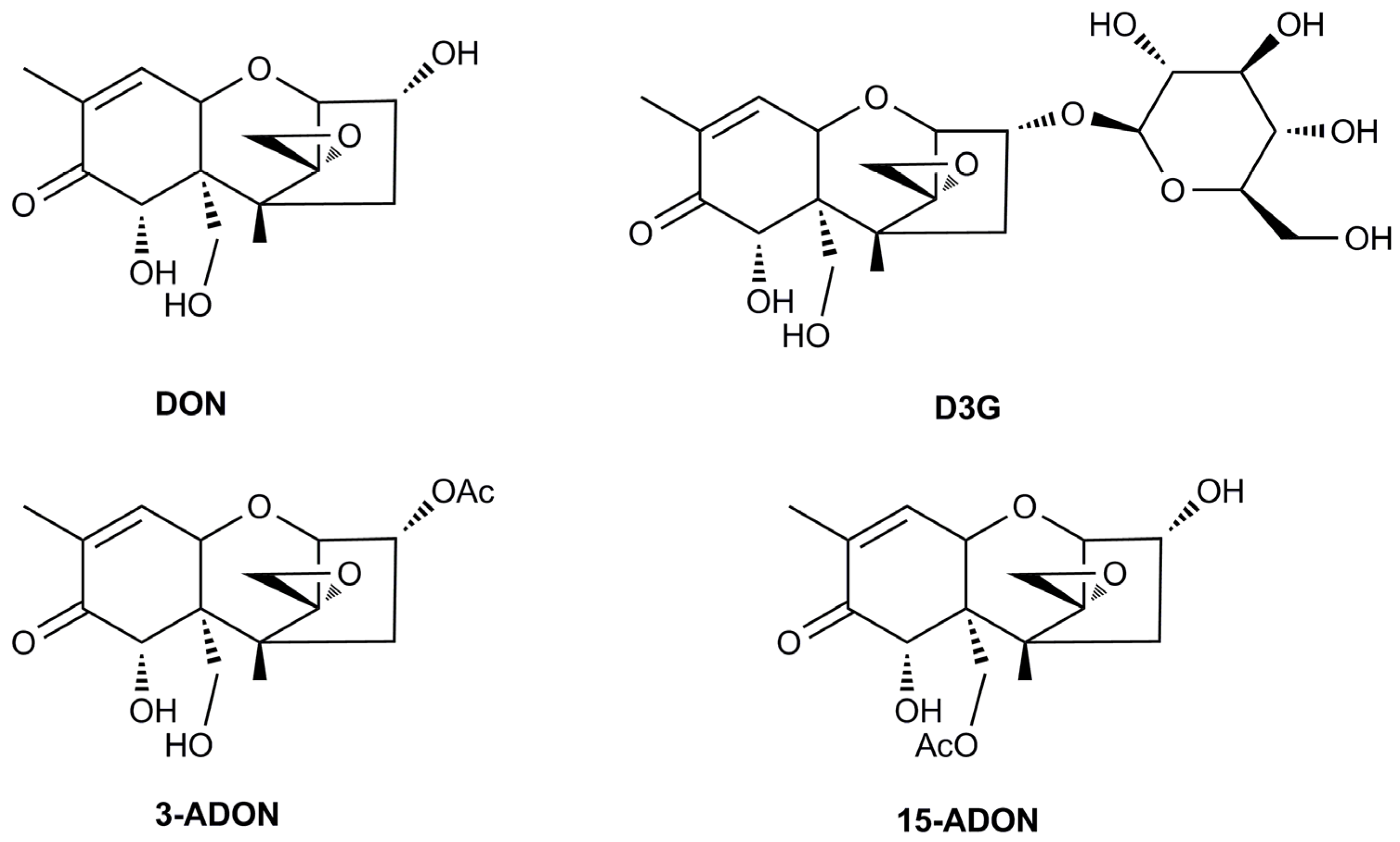
Mycotoxins are toxic secondary metabolites that are produced by toxigenic molds, and may contaminate different cereal grains [1]. Deoxynivalenol (DON), also known as vomitoxin, is mainly produced by the Fusarium graminearum species that can infect crops and cause devastating diseases called Fusarium head blight (FHB) or scab [2]. DON is an inhibitor of protein, DNA, and RNA synthesis at the molecular level, and exerts toxic potential to plants, animals, and humans [3]. The functions of DON in interactions of F. graminearum and other organisms have been studied before. As a crucial secondary metabolite in development of F. graminearum, DON is beneficial for Fusarium to deal with a complex environment and compete with other organisms [4,5]. Fusarium may utilize DON to disrupt plant defense system in the infection process. DON is regarded as a virulence factor when infecting plants, and it can facilitate disease spread in infected plant tissues. Genetic studies have proved that DON non-producing Fusarium mutants showed less virulence on crops than wild-type strains [6]. On the other hand, plants usually have the self-defense mechanisms to cope with mycotoxins, such as conjugating them with endogenous metabolites to less toxic products. An important detoxification process reducing the toxicity of DON in plants is glycosylation catalyzed by a special kind of glycosyltransferases [7], and a common detoxification product of DON in this reaction is deoxynivalenol-3-glucoside (D3G) (Figure 1). This conjugated mycotoxin was originally termed as a masked mycotoxin, because its structure has been changed and it may escape routine detection by conventional analytical methods [8].
Figure 1.
Chemical structures of deoxynivalenol (DON), deoxynivalenol-3-glucoside (D3G), and acetylated derivatives of DON: 3-acetyl-deoxynivalenol (3-ADON) and 15-acetyl-deoxynivalenol (15-ADON).
The pathogens causing FHB are also capable of producing 3-acetyl-deoxynivalenol (3-ADON) or 15-acetyl-deoxynivalenol (15-ADON), which are commonly-detected acetylated derivatives of DON in contaminated grains or food commodities [2]. Both DON and ADONs belong to B-type trichothecene mycotoxins (Figure 1) characterized by a keto-group at position C-8 in their molecule structures [2]. The epoxide group is considered as a key factor determining the toxicity of trichothecene mycotoxins [9], and ADONs also possess toxic effects [10,11]. In order to protect consumers, DON and its acetylated types have all been included in the group provisional maximum tolerable daily intake (PMTDI) according to the maximum tolerated levels of DON in food enacted by the Joint FAO/WHO Expert Committee on Food Additives (JECFA) [10].
To reduce the risks caused by DON contamination in the food chain, plenty of measures, including selection of resistant cultivars, application of fungicide, and biological control agents (BCAs), have been studied and used to control DON-producing pathogens [12,13]. Among these mentioned strategies, biological control emerging as a green approach has captured significant attention recently. Natural fungicides, antagonistic microorganisms, and detoxification enzymes are the most-concerned functional BCAs to control DON contamination [14]. Antagonistic microorganisms could inhibit the development and mycotoxin production of toxigenic pathogens. Trichoderma strains, Bacillus strains, Clonostachys rosea, and Cladosporium cladosporioides are promising antagonistic microorganisms to manage DON contamination [15,16]. Among them, Trichoderma strains have been widely investigated and applied as beneficial BCAs in agriculture. They can protect crops against plant pathogens environment-friendly, and biological control activity of Trichoderma is mainly due to antibiotic production to inhibit the growth of pathogens, substrate competition to restrict colony areas of pathogens, and the ability to activate plant defense responses against pathogens [17,18].
The aim of our work was to study the potential antagonistic activities of selected Trichoderma strains for management of F. graminearum by dual culture assay. We assessed the anti-growth activity of the different Trichoderma strains on F. graminearum. Meanwhile, DON and its acetylated or glycosylated forms were monitored to evaluate the anti-toxigenic activity of antagonists. Interestingly, the modified mycotoxin D3G, which was previously regarded as a detoxification product in plant defense against DON-producing Fusarium [7], was detected when F. graminearum was co-cultured with Trichoderma strains. To our knowledge, this is the first time that it has been reported that the D3G is a detoxification product of Trichoderma when in competition with F. graminearum, which may provide new understandings on the interaction of antagonistic microbes and toxigenic Fusarium.
2. Results
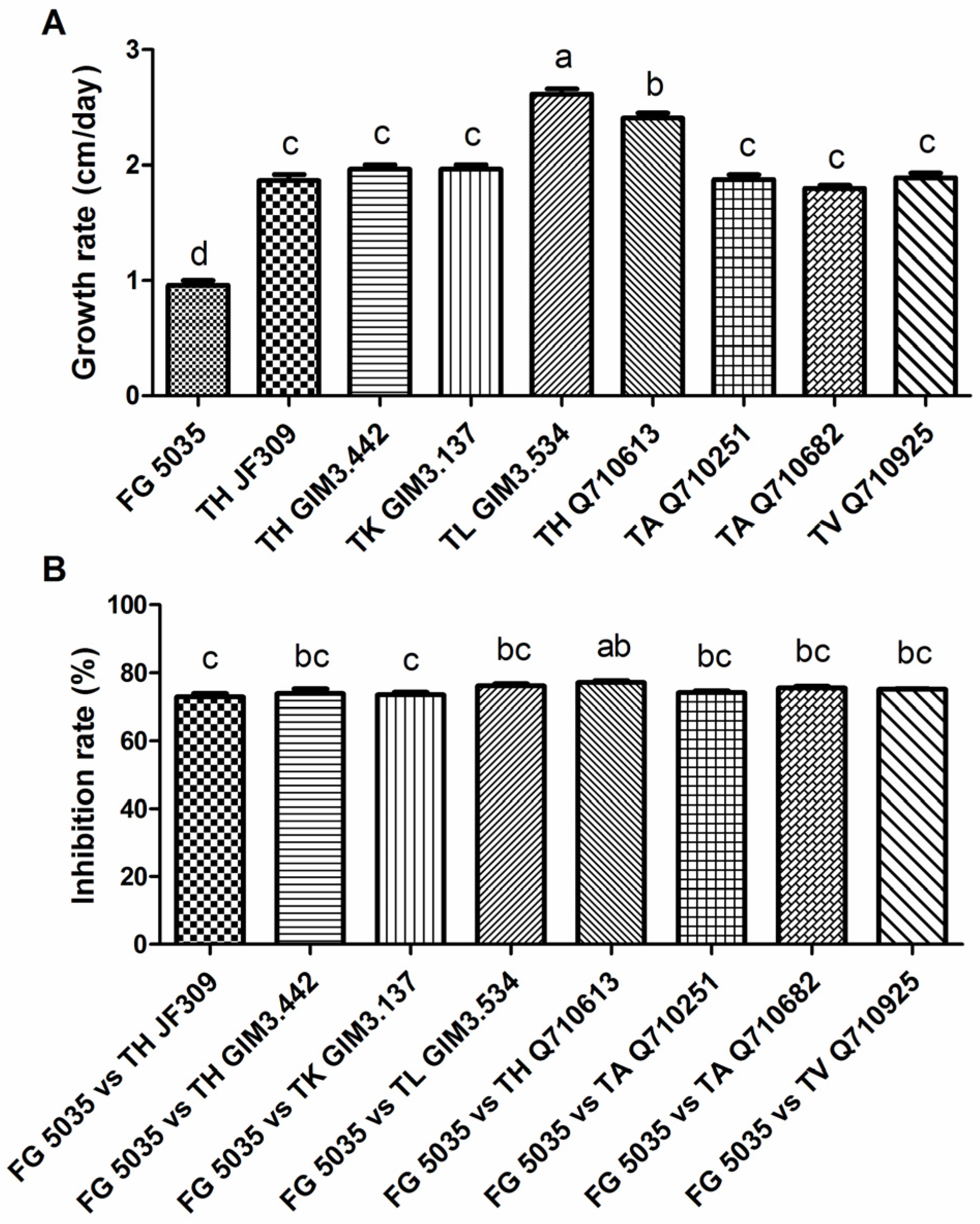
2.1. Impact of Trichoderma Strains on Growth of F. graminearum 5035 in Dual Culture
Trichoderma is recognized as a non-pathogenic genus majorly found in soil and plants, and has been widely studied due to its biological control-related characteristics [19]. In our antagonistic assay, the growth rates of selected Trichoderma strains were much faster than that of F. graminearum 5035 (Figure 2A). The mycelia of tested fungi began to contact two days after incubation. The faster growth rate made Trichoderma quickly occupy the living space and surround the colony of Fusarium, and then Trichoderma effectively suppressed the mycelial growth of Fusarium. The inhibition rate of Trichoderma on mycelial growth of Fusarium ranged from 73% to 77% (Figure 2B). For the pathogen, it was hard to overgrow antagonists for further extension on PDA medium.
Figure 2.
Growth rate (cm/day) of F. graminearum 5035 and Trichoderma strains (A). From left to right: the growth rate of F. graminearum 5035, T. harzianum JF309, T. harzianum GIM3.442, T. koningii GIM3.137, T. longibranchiatum GIM3.534, T. harzianum Q710613, T. atroviride Q710251, T. asperellum Q710682, and T. virens Q710925, respectively. Inhibition rate (%) of Trichoderma strains on mycelial growth of F. graminearum 5035 in dual culture (B). From left to right: F. graminearum 5035 grew against T. harzianum JF309, T. harzianum GIM3.442, T. koningii GIM3.137, T. longibranchiatum GIM3.534, T. harzianum Q710613, T. atroviride Q710251, T. asperellum Q710682, and T. virens Q710925, respectively. Data were from two independent experiments and shown as the mean ± SEM. Bars with different letters were significantly different according Tukey’s Test (α < 0.05) following one-way ANOVA (analysis of variance) analysis.
Moreover, we observed the colony morphology of Fusarium when alone or in the presence of antagonists after incubation (Figure 3), finding that four Trichoderma strains including T. longibranchiatum GIM 3.534, T. harzianum Q710613, T. atroviride Q710251 and T. asperellum Q710682 were able to overgrow and sporulate on the colony of F. graminearum 5035, and the mycelia of Fusarium in these combinations were relatively flat, while the mycelia of Fusarium in other combinations were much denser. These signs demonstrated that the four Trichoderma strains capable of overgrowing the pathogen were more effective in inhibiting the mycelia spread of Fusarium on PDA medium.
Figure 3.
Colony morphology of F. graminearum 5035 in dual culture tests after incubation on the potato dextrose agar (PDA) medium. F. graminearum 5035 grew alone (A); F. graminearum 5035 grew against T. harzianum JF309 (B); T. harzianum GIM3.442 (C); T. koningii GIM3.137 (D); T. longibranchiatum GIM3.534 (E); T. harzianum Q710613 (F); T. atroviride Q710251 (G); T. asperellum Q710682 (H); and T. virens Q710925 (I).
Trichoderma strains have a stronger capacity to occupy living space and take up nutrients than other microbes [20]. It seems that growth suppression is the major inhibition pattern of Trichoderma when in competition with pathogens.
2.2. Effect of Trichoderma Strains on Mycotoxin Production of F. graminearum 5035 in Dual Culture
DON-producing Fusarium could infect crops in field and subsequently cause DON accumulation in cereal grains. Prevention before harvest is an important strategy to manage DON contamination, and antagonistic Trichoderma strains are promising BCAs to achieve this goal [21]. Matarese et al. has revealed that a Trichoderma gamsii strain 6085 could strongly reduce DON production of Fusarium on rice medium [17]. In order to accurately reveal the effect of Trichoderma strains on mycotoxin production of F. graminearum, DON and ADONs were all monitored by a liquid chromatography tandem mass spectrometry (LC-MS/MS) method in our work.
The data showed that F. graminearum 5035 was able to produce 57 μg/g DON and 20 μg/g 15-ADON on PDA medium when alone, indicating that the tested F. graminearum was a 15-ADON producer mainly producing DON and 15-ADON [2]. When F. graminearum 5035 was co-cultured with Trichoderma, the amount of DON produced by F. graminearum reduced significantly due to the strong antagonistic action of Trichoderma. When in the presence of T. harzianum Q710613, T. atroviride Q710251 and T. asperellum Q710682, the amount of DON produced by F. graminearum 5035 decreased more than 90% compared with the control. In the presence of other Trichoderma strains, the inhibition rate of DON production ranged from 70% to 88% (Figure 4A). With regard to 15-ADON, the antagonists seemed to exhibit stronger inhibition capacity: the inhibition rate of 15-ADON production ranged from 86% to 98% (Figure 4B). In consideration of the non-ignorable toxicity of ADONs [22], DON and its acetylated forms should be all monitored when assessing the anti-toxigenic activity of antagonistic microbes.
Figure 4.
Mycotoxin production (DON and 15-ADON) of F. graminearum 5035 when alone or against different Trichoderma strains. From left to right: F. graminearum 5035 grew alone, and grew against T. harzianum JF309, T. harzianum GIM3.442, T. koningii GIM3.137, T. longibranchiatum GIM3.534, T. harzianum Q710613, T. atroviride Q710251, T. asperellum Q710682 and T. virens Q710925 (A,B). Data were from two independent experiments and shown as the mean ± SEM. Bars with different letters were significantly different according Tukey’s Test (α < 0.05) following one-way ANOVA analysis.
2.3. Occurrence of Modified Mycotoxin D3G in Dual Culture of Trichoderma and F. graminearum
Modified mycotoxin D3G is the most prevalent detoxification product of DON in self-defense of plants, and detoxification via glycosylation is very general in plants. However, this biotransformation process is unusual in microbes [23]. A previous study has emphasized that DON production of F. graminearum could not reduce the biomass of Trichoderma when in competition [24]. Therefore, we speculated that Trichoderma strains were very likely to possess some underlying detoxification mechanisms against DON-producing F. graminearum. In order to verify whether Trichoderma strains could detoxify DON via glycosylation when confronted with F. graminearum, D3G was monitored in our work.
Based on our LC-MS/MS method, the glycosylation form of DON (D3G), was detected when F. graminearum 5035 was co-cultured with Trichoderma strains, while there was no D3G detected in the control group (Figure 5). Glycosylation of DON catalyzed by UDP-glucosyltransferases (UGTs) is a well-known detoxification process in plants, and the first UGT capable of transforming DON to D3G was identified from Arabidopsis thaliana [7]. However, no studies have reported the occurrence of modified mycotoxin D3G in interactions between microbes so far. In order to confirm the presence of D3G in the co-culture of Trichoderma and F. graminearum, prepared samples of dual culture assay were analyzed by liquid chromatography high resolution mass spectrometry (LC-HRMS). Shown as in Figure S1, the MS/MS spectra of the precursor ion (m/z 517.1927, [M + Ac]−) in samples of the dual culture test were in good agreement with the MS/MS spectra of D3G standard. The key fragments m/z 427.16, 457.17, 409.15, 277.11, 247.10 for [D3G + Ac]− were also observed in the previous study [25]. These results provided evidences for the existence of D3G in dual cultures of Trichoderma and DON-producing Fusarium. The occurrence of D3G in Trichoderma and Fusarium interaction indicated that D3G was a detoxification product in self-defense of Trichoderma against DON-producing Fusarium.
Figure 5.
Selected reaction monitoring (SRM) chromatograms of D3G in samples of dual culture test: F. graminearum 5035 grew against T. harzianum JF309 (B); T. harzianum GIM3.442 (C); T. koningii GIM3.137 (D); T. longibranchiatum GIM3.534 (E); T. harzianum Q710613 (F); T. atroviride Q710251 (G); T. asperellum Q710682 (H); and T. virens Q710925 (I). Red line (m/z 517.1 > m/z 427.4) and blue line (m/z 517.1 > m/z 457.4) show the SRM traces of D3G. There was no D3G detected when F. graminearum 5035 grew alone on PDA medium (A).
Our preliminary results provide evidence that Trichoderma strains not only possess the strong inhibitory action on F. graminearum, but also possess the detoxification capability to glycosylate DON when competing with F. graminearum. All of these advantageous features make Trichoderma strains promising BCAs against plant disease in agriculture.
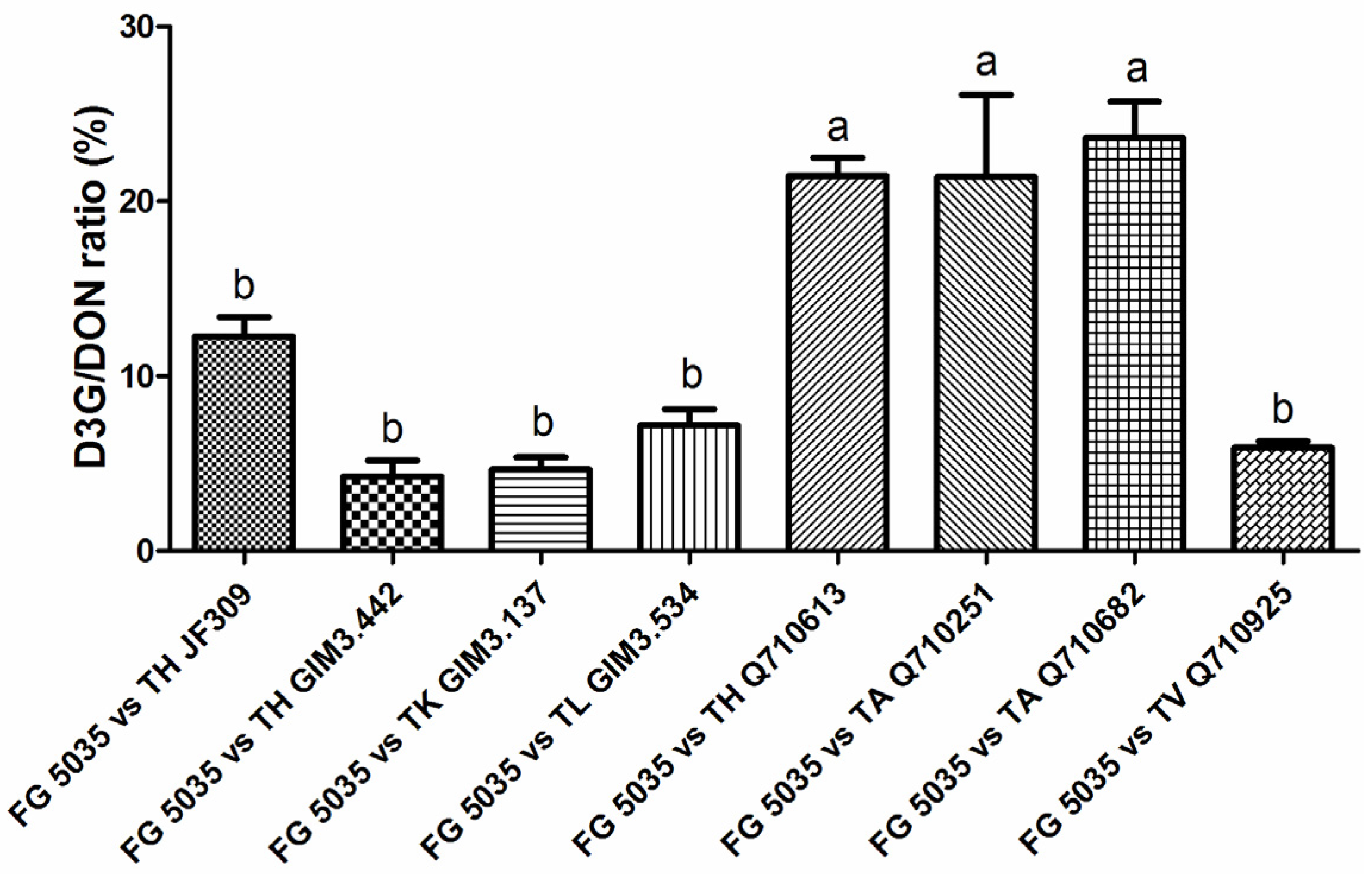
2.4. A Significant Difference in D3G/DON Ratios of Trichoderma Strains when Confronted with F. graminearum 5035
Previous studies regarding pathogen and plant interactions have illustrated that D3G/DON ratios of various wheat lines can be regarded as their resistance indicators against FHB [8,26,27]. Similarly, D3G/DON ratios of different Trichoderma strains used in this study may also be related to their resistance to Fusarium. In our work, we assessed the D3G/DON ratios of tested Trichoderma strains when dual cultured with DON-producing F. graminearum 5035. Interestingly, the D3G/DON ratios of different Trichoderma strains that might reflect their resistance to Fusarium were significantly different (Figure 6). T. harzianum Q710613, T. atroviride Q710251 and T. asperellum Q710682 showed relatively higher ratios that exceeded 20%, while D3G/DON ratios of other Trichoderma strains were relatively lower, which were in the range of 4% to 12%. It seems that DON-resistant antagonists have more potential in further investigation and application, because recent studies have showed that over-expression of UGT genes capable of detoxifying DON into D3G in crops could improve their resistance against Fusarium [28,29], and the reported functional UGT genes were all derived from plants. Thus, our data revealed that Trichoderma might be a potential source to seek efficient UGT genes, which can be expressed to detoxify DON directly or be genetically-engineered in crops to improve their resistance against FHB causal agents [30].
Figure 6.
D3G/DON ratios of different Trichoderma strains when confronted with F. graminearum 5035 in dual culture. F. graminearum 5035 grew against T. harzianum JF309, T. harzianum GIM3.442, T. koningii GIM3.137, T. longibranchiatum GIM3.534, T. harzianum Q710613, T. atroviride Q710251, T. asperellum Q710682; and T. virens Q710925, respectively. Data were from two independent experiments and shown as the mean ± SEM. Bars with different letters were significantly different according Tukey’s Test (α < 0.05) following one-way ANOVA analysis.
Understanding the mechanisms of the antagonistic action of BCAs on pathogens is essential for searching potential Trichoderma strains to manage plant disease. Lutz et al. suggested that the role of DON in competitiveness of F. graminearum was a negative signal, which down-regulated one chitinase gene (nag1) involved in biological control activity of an antagonistic T. atroviride strain [31]. However, our study provided evidence for a new role of DON in the competition of Trichoderma and Fusarium: DON not only modulated biological-control related genes of Trichoderma, but also induced Trichoderma self-defense related genes to detoxify mycotoxin DON. The responses of Trichoderma to DON-producing F. graminearum 5035 were different according to the D3G/DON ratios, which may represent their resistance against DON-producing pathogens, and this hypothesis needs to be validated in future work. Generally, the metabolic fate of DON in Trichoderma needs more detailed study to present new antagonistic mechanisms of Trichoderma.
3. Discussion
FHB caused by F. graminearum species could reduce the yield and quality of cereal grains around the world, and DON contamination in the food chain leads to deleterious effects on the health of animals and humans [12]. Biological control of F. graminearum and mycotoxin DON contamination would be an important part in integrated FHB management, which may avoid negative effects and minimize environmental impacts caused by conventional approaches [15]. Application of Trichoderma strains on crops or crop residuals to inhibit the development and DON production of Fusarium is an available biological-based strategy. As potential BCAs, Trichoderma strains are capable of producing a large number of enzymes and secondary metabolites, which are effective components against pathogens and play an important role in the antagonistic action of Trichoderma [32]. Hydrolytic enzymes (such as chitinase and proteases) and antibiotics (such as polyketides and terpenes) derived from Trichoderma act as “weapons” against pathogens when in competition [32]. In addition, the potential UGTs inactivating DON in Trichoderma strains, act as “shields” to protect themselves against DON-producing pathogens. For Trichoderma, “weapons” and “shields” are all significant agents for control of Fusarium. For plants, glycosylation of DON catalyzed by the UGTs is an effective defense strategy to resist pathogens [27], and our present study indicates that Trichoderma also have a defense capacity to detoxify DON as plants when against DON-producing Fusarium. Our findings are supported by the detection of modified mycotoxin D3G in a dual culture of Trichoderma and Fusarium. Suzuki et al. have already elucidated that D3G exhibited extremely low toxicity to yeast and algae, indicating that detoxification via glycosylation may not be exclusive to plants [33]. Moreover, our data confirmed that glycosylation of DON was a self-defense process for Trichoderma as well, which is in accordance with a previous study of Suzuki et al. A novel understanding on the role of DON in the competitiveness of Fusarium would promote deeper investigation of the interaction between antagonists and toxigenic Fusarium species.
The metabolism of mycotoxins in plants has been studied previously. Plants have the detoxification metabolic systems to counter phytotoxic compounds. Mycotoxins can be conjugated to endogenous metabolites by plants, generating modified mycotoxins with decreased toxicity [27]. In plants, detoxification of mycotoxins usually includes three phases. In phase I, mycotoxins are oxidized or hydrolyzed to generate some active sites for the next reaction. In phase II, low-toxic or non-toxic metabolites are formed by conjugating some hydrophilic molecules, such as sugars or amino acids, and D3G is the major metabolite of DON in this phase. Finally, the metabolites from phase II are irreversibly transported to a vacuole or accumulated in the cell wall in phase III [8]. Glycosylation catalyzed by UGTs is a major process of phase II in detoxification reactions of plants [33]. A recent study has clearly validated that over-expressing such UGT genes able to detoxify DON in Brachypodium could confer increased resistance to Fusarium [34]. Glycosyltransferases are a series of enzymes that can catalyze the formation of a glycosidic bond by transferring sugars to substrates, such as plant secondary metabolites and mycotoxins. Identification of the UGTs inactivating DON into D3G is rather complex because UGTs are encoded by a large family: more than 100 putative gene members in plants [35]. To date, some induced functional UGT genes during the DON-producing Fusarium infection process have been studied and identified in different plants [28,34,35,36,37,38]. However, little is known about such UGTs possessing DON-detoxification ability in Trichoderma strains. According to previous studies, Trichoderma can produce non-phytotoxic trichothecenes, such as trichodermin and harzianum [18,39], but the mechanism of DON metabolism in Trichoderma strains is unclear. Taken together, the studies on identifying these specific UGT genes from Trichoderma strains by transcriptome analysis of Trichoderma and DON-producing Fusarium interaction should be conducted in the future. The details about the endogenous self-protection mechanism against DON in Trichoderma strains needs further investigation and interpretation after the detoxification UGT genes from Trichoderma are identified. On the other hand, other detoxification products of DON have been identified in plant detoxification processes, such as DON-sulfates, DON-15-glucoside, and DON-glutathione [25,40,41]. Seeking and identifying other modified mycotoxins generated from Trichoderma and Fusarium are also essential to reveal the mycotoxin detoxification mechanism of Trichoderma.
4. Conclusions
In the present study, eight Trichoderma strains were selected to evaluate their antagonistic activities against F. graminearum by dual culture assay. Results suggested that T. harzianum Q710613, T. atroviride Q710251, and T. asperellum Q710682 were more effective antagonists to control the pathogen, not only because of the efficacy in inhibiting mycelia spread and mycotoxin production, but also because of the relatively higher D3G/DON ratios that may reflect their resistance to Fusarium. In addition, the occurrence of modified mycotoxin D3G in a dual culture of Fusarium and Trichoderma provides new insights into antagonistic activities of Trichoderma.
5. Materials and Methods
5.1. Standards and Chemicals
The mycotoxin standards of DON, D3G, 3-ADON, and 15-ADON were purchased from Sigma-Aldrich (St. Louis, MO, USA). Methanol and acetonitrile (ACN) were all high performance liquid chromatography(HPLC) grade, and obtained from Merck (Darmstadt, Germany). Other solvents and chemicals of HPLC or analytical grade were provided by Aladdin (Shanghai, China). Ultrapure water (18.2 MΩ·cm) was obtained from Millipore (Bedford, MA, USA), and used throughout the experiments.
5.2. Fungal Strains and Culture Medium
A total of eight Trichoderma strains and one F. graminearum strain were used in the present study (Table 1). F. graminearum 5035 was from the Huazhong Agricultural University [42]. T. harzianum JF309 was isolated from Lentinus edodes in our lab. T. harzianum GIM3.442, T. koningii GIM3.137, and T. longibranchiatum GIM3.534 were purchased from the Microbial Culture Collection Center of Guangdong Institute of Microbiology (GIMCC). T. harzianum Q710613, T. atroviride Q710251, T. asperellum Q710682, and T. virens Q710925 were from the Center for Culture Collection of Trichoderma (CCCT), Shanghai Jiaotong University (SJTU). All of the fungal strains were maintained as spore suspensions in 30% glycerol at −80 °C. Before the start of antagonistic assay, the fungal strains were grown on PDA medium at 25 °C for five days for activation.
Table 1.
The information of the fungal strains used in this study.
5.3. Antagonistic Activities of Trichoderma on Growth and Mycotoxin Production of F. graminearum
The antagonistic activities of the chosen Trichoderma strains on F. graminearum were assessed by dual culture assay according to Matarese et al. [17] with minor modifications. In short, 6 mm-diameter mycelial discs of tested Trichoderma and Fusarium strains were removed from the edge of actively-growing colonies, and then the mycelial discs (Fusarium and Trichoderma combinations) were placed at a distance of 45 mm on a 90 mm-diameter Petri dish containing 20 mL PDA medium. Meanwhile, a mycelial disc of F. graminearum 5035 was placed with an agar disc on the dish as the control. The pathogen-antagonist combinations and the controls were all set up in three biological replicates, and incubated at 25 °C for 14 days. The mycelial growth rates (cm/day) of Trichoderma strains and F. graminearum were recorded before their mycelia began to interact. After incubation, the radii of Fusarium colonies facing the antagonists were measured and used for calculation of the inhibition rate [32]. The inhibition rate of Trichoderma on mycelial growth of tested F. graminearum was calculated based on the following formula: I = (C − T)/C × 100, where I is the inhibition rate (%), C is the growth radius of pathogen when alone, and T is the growth radius of the pathogen when co-cultured with antagonists [32].
5.4. Fusarium Mycotoxin Extraction and Preparation
After incubation, the PDA medium containing mycelia of tested fungi strains in Petri dish was dried until a constant weight, and then the sample was ground into a homogenized powder for preparation as described previously [43].
The homogenized powder was weighed and put into a 50 mL centrifuge tube, and then 10 mL of ACN/water (84/16, v/v) solution was added. The mixture was shaken for 5 min, and then subjected to ultrasonication for 30 min. Next the mixture was centrifuged at 3200× g for 30 min. Then 2 mL of supernatant was transferred into a centrifuge tube, followed by adding 150 mg of MgSO4. The mixture was vortexed for 30 s, and centrifuged at 3200× g for 30 min. Thereafter, the remaining supernatant was moved into a new tube, and evaporated to dryness by a stream of nitrogen gas at 40 °C. At last, the residue was redissolved with 1 mL of water containing 5 mM ammonium acetate. After redissolution, the mixture was passed through a 0.22-μm filter, and then injected into LC-MS/MS for analysis.
5.5. Mycotoxin Determination by LC-MS/MS
Mycotoxin concentrations were determined according to a published method with minor modifications [43]. Briefly, chromatographic separation was performed on an Agilent Extend—C18 column (100 mm × 4.6 mm, 3.5 µm) at 30 °C using a Thermo Scientific Accela 1250 UPLC system (Thermo Fisher Scientific, San Jose, CA, USA). The mobile phase consisted of water containing 5 mM ammonium acetate (A) and methanol (B), and a gradient elution program was as follows: 0 min 15% B, 1 min 15% B, 6.5 min 90% B, 8.5 min 90% B, 9 min 15% B, 12 min 15% B. The injection volume was 10 μL and the flow rate was 0.35 mL/min.
MS/MS analysis was carried out using a Thermo Scientific TSQ VantageTM (Thermo Fisher Scientific, San Jose, CA, USA) triple stage quadrupole mass spectrometer in both positive and negative electrospray ionization (ESI+/ESI−) modes. The ionization source parameters were set as follows: interface voltage of 3.5 kV (ESI+) or 3.0 kV (ESI−); desolvation line (DL) temperature of 250 °C; nebulizing gas (N2) and drying gas (N2) pressure of 30 psi (207 kPa) and 20 psi (138 kPa), respectively; heat block temperature of 350 °C. A series of standard solutions of analytes (10–1000 ng/mL) were used for calibration to absolutely quantify the targeted mycotoxins in the samples, and the quantitation and identification of target mycotoxins were performed in selected reaction monitoring (SRM) mode. The MS/MS parameters of detected mycotoxins were summarized in Table 2. All data acquisition and processing were achieved with Xcalibur™ Software (2.2, Thermo Fisher Scientific, San Jose, CA, USA, 2011).
Table 2.
The tandem mass spectrometry (MS/MS) parameters for target mycotoxins in selected reaction monitoring (SRM) mode.
5.6. LC-HRMS Analysis of D3G
LC–HRMS analysis of the fragmentation pattern of D3G was conducted on a UHPLC system (1290 series, Agilent Technologies, Santa Clara, CA, USA) coupled to a quadruple time-of-flight (Q-TOF) mass spectrometer (Agilent 6550 iFunnel Q-TOF, Agilent Technologies, Santa Clara, CA, USA). Chromatographic separation was performed on an Agilent Extend—C18 column (100 mm × 4.6 mm, 3.5 µm) at 30 °C. The mobile phase consisted of water containing 5 mM ammonium acetate (A) and methanol (B), and a gradient elution program was as follows: 0 min 15% B, 1 min 15% B, 6.5 min 90% B, 8.5 min 90% B, 9 min 15% B, and 12 min 15% B. The flow rate was 0.35 mL/min and the sample injection volume was 5 μL.
To confirm the presence of D3G in samples of dual culture test, the negative precursor ion m/z 517.1927 (theoretical mass of [D3G + Ac]− based on molecular formula) was ionized in an electrospray ionization (ESI) source and mass isolated by quadruple mass filter, following by collision-induced dissociation (CID) with the collision energy of −20 eV and, finally, the fragments and the remaining precursor were detected in the TOF tube. The parameters of high resolution mass spectrometer were set as follows: sheath gas (N2) temperature, 300 °C; dry gas (N2) temperature, 170 °C; sheath gas flow, 12 L/min; dry gas flow, 16 L/min; capillary voltage, 3.0 kV in negative mode; nozzle voltage, 0 V; fragmentor, 175 V; and nebulizer pressure, 40 psi (276 kPa). Data analysis was achieved with Agilent software MassHunter B.06.00 (Agilent Technologies, Santa Clara, CA, USA, 2012).
5.7. Statistical Analysis
Data were subjected to one-way ANOVA (analysis of variance) analysis followed by Tukey’s multiple comparisons test using Graphpad Prism 5.0 (GraphPad Software, San Diego, CA, USA, 2007). All data were shown as the mean ± standard error of the mean (SEM), and p < 0.05 was considered to be significantly different.
Supplementary Materials
The following are available online at www.mdpi.com/2072-6651/8/11/335/s1, Figure S1: Tandem mass spectra of the precursor ion (m/z 517.1927, [M + Ac]−) in negative mode. (A) Product ion spectra of the D3G standard (1000 ng/mL); (B–I) product ion spectra of the precursor ion (m/z 517.1927) with the same chromatographic retention time as the D3G standard in samples of dual culture test: F. graminearum 5035 grew against T. harzianum JF309 (B); T. harzianum GIM3.442 (C); T. koningii GIM3.137 (D); T. longibranchiatum GIM3.534 (E); T. harzianum Q710613 (F); T. atroviride Q710251 (G); T. asperellum Q710682 (H); and T. virens Q710925 (I).
Acknowledgments
This work was supported by the National Basic Research Program of China (Grant 2013CB127801), National Natural Science Foundation of China (31471661), Shanghai Technical Standards Project (15DZ0503800), China Agriculture Research System (CARS-02), and Zhejiang Province Major Program (2015C02G4010111). We thank Zheng-Jiang Zhu and Fangfang Chen in Interdisciplinary Research Center on Biology and Chemistry, and Yuanhong Shan in the Core Facility Centre of the institute of Plant Physiology and Ecology for mass spectrometry assistance.
Author Contributions
Aibo Wu and Ye Tian conceived and designed the experiments; Ye Tian, Yanglan Tan, Na Liu and Zheng Yan performed the experiments; Aibo Wu and Ye Tian. analyzed the data and wrote the paper; Yucai Liao, Jie Chen, Sarah De Saeger, Hua Yang and Qiaoyan Zhang contributed materials and amended the manuscript; Aibo Wu supervised the whole experiments and revised the paper before submission.
Conflicts of Interest
The authors declare no conflict of interest.
References
- Goswami, R.S.; Kistler, H.C. Heading for disaster: Fusarium graminearum on cereal crops. Mol. Plant Pathol. 2004, 5, 515–525. [Google Scholar] [CrossRef] [PubMed]
- Alexander, N.J.; Mccormick, S.P.; Waalwijk, C.; Lee, T.V.D.; Proctor, R.H. The genetic basis for 3-ADON and 15-ADON trichothecene chemotypes in Fusarium. Fungal Genet. Biol. 2011, 48, 485–495. [Google Scholar] [CrossRef] [PubMed]
- Pestka, J.J. Deoxynivalenol: Mechanisms of action, human exposure, and toxicological relevance. Arch. Toxicol. 2010, 84, 663–679. [Google Scholar] [CrossRef] [PubMed]
- Audenaert, K.; Vanheule, A.; Höfte, M.; Haesaert, G. Deoxynivalenol: A major player in the multifaceted response of Fusarium to its environment. Toxins 2013, 6, 1–19. [Google Scholar] [CrossRef] [PubMed]
- Ponts, N. Mycotoxins are a component of Fusarium graminearum stress-response system. Front. Microbiol. 2015, 6, 1234. [Google Scholar] [CrossRef] [PubMed]
- Bai, G.-H.; Desjardins, A.; Plattner, R. Deoxynivalenol-nonproducing Fusarium graminearum causes initial infection, but does not cause disease spread in wheat spikes. Mycopathologia 2002, 153, 91–98. [Google Scholar] [CrossRef] [PubMed]
- Poppenberger, B.; Berthiller, F.; Lucyshyn, D.; Sieberer, T.; Schuhmacher, R.; Krska, R.; Kuchler, K.; Glössl, J.; Luschnig, C.; Adam, G. Detoxification of the Fusarium mycotoxin deoxynivalenol by a UDP-glucosyltransferase from Arabidopsis thaliana. J. Biol. Chem. 2003, 278, 47905–47914. [Google Scholar] [CrossRef] [PubMed]
- Berthiller, F.; Lemmens, M.; Werner, U.; Krska, R.; Hauser, M.; Adam, G.; Schuhmacher, R. Short review: Metabolism of the Fusarium mycotoxins deoxynivalenol and zearalenone in plants. Mycotoxin Res. 2007, 23, 68–72. [Google Scholar] [CrossRef] [PubMed]
- Sundstol Eriksen, G.; Pettersson, H.; Lundh, T. Comparative cytotoxicity of deoxynivalenol, nivalenol, their acetylated derivatives and de-epoxy metabolites. Food Chem. Toxicol. 2004, 42, 619–624. [Google Scholar] [CrossRef] [PubMed]
- Evaluations of the Joint FAO/WHO Expert Committee on Food Additives (JECFA). Available online: http://apps.who.int/food-additives-contaminants-jecfa-database/chemical.aspx?chemID=2947 (accessed on 25 November 2015).
- Broekaert, N.; Devreese, M.; Demeyere, K.; Berthiller, F.; Michlmayr, H.; Varga, E.; Adam, G.; Meyer, E.; Croubels, S. Comparative in vitro cytotoxicity of modified deoxynivalenol on porcine intestinal epithelial cells. Food Chem. Toxicol. 2016, 95, 103–109. [Google Scholar] [CrossRef] [PubMed]
- Wegulo, S.N.; Baenziger, P.S.; Hernandez Nopsa, J.; Bockus, W.W.; Hallen-Adams, H. Management of Fusarium head blight of wheat and barley. Crop Prot. 2015, 73, 100–107. [Google Scholar] [CrossRef]
- Yuen, G.Y.; Schoneweis, S.D. Strategies for managing Fusarium head blight and deoxynivalenol accumulation in wheat. Int. J. Food Microbiol. 2007, 119, 126–130. [Google Scholar] [CrossRef] [PubMed]
- Tian, Y.; Tan, Y.; Liu, N.; Liao, Y.; Sun, C.; Wang, S.; Wu, A. Functional agents to biologically control deoxynivalenol contamination in cereal grains. Front. Microbiol. 2016, 7, 395. [Google Scholar] [CrossRef] [PubMed]
- Schoneberg, A.; Musa, T.; Voegele, R.T.; Vogelgsang, S. The potential of antagonistic fungi for control of Fusarium graminearum and Fusarium crookwellense varies depending on the experimental approach. J. Appl. Microbiol. 2015, 118, 1165–1179. [Google Scholar] [CrossRef] [PubMed]
- Zhao, Y.; Selvaraj, J.N.; Xing, F.; Zhou, L.; Wang, Y.; Song, H.; Tan, X.; Sun, L.; Sangare, L.; Folly, Y.M.; et al. Antagonistic action of Bacillus subtilis strain SG6 on Fusarium graminearum. PLoS ONE 2014, 9, e92486. [Google Scholar] [CrossRef] [PubMed]
- Matarese, F.; Sarrocco, S.; Gruber, S.; Seidl-Seiboth, V.; Vannacci, G. Biocontrol of Fusarium head blight: Interactions between Trichoderma and mycotoxigenic Fusarium. Microbiology 2012, 158, 98–106. [Google Scholar] [CrossRef] [PubMed]
- Malmierca, M.G.; McCormick, S.P.; Cardoza, R.E.; Alexander, N.J.; Monte, E.; Gutierrez, S. Production of trichodiene by Trichoderma harzianum alters the perception of this biocontrol strain by plants and antagonized fungi. Environ. Microbiol. 2015, 17, 2628–2646. [Google Scholar] [CrossRef] [PubMed]
- Mukherjee, P.K.; Horwitz, B.A.; Herrera-Estrella, A.; Schmoll, M.; Kenerley, C.M. Trichoderma research in the genome era. Ann. Rev. Phytopathol. 2013, 51, 105–129. [Google Scholar] [CrossRef] [PubMed]
- Benitez, T.; Rincon, A.M.; Limon, M.C.; Codon, A.C. Biocontrol mechanisms of Trichoderma strains. Int. Microbiol. 2004, 7, 249–260. [Google Scholar] [PubMed]
- Jard, G.; Liboz, T.; Mathieu, F.; Guyonvarc’h, A.; Lebrihi, A. Review of mycotoxin reduction in food and feed: From prevention in the field to detoxification by adsorption or transformation. Food Addit. Contam. Part A Chem. Anal. Control Expo. Risk Assess. 2011, 28, 1590–1609. [Google Scholar] [CrossRef] [PubMed]
- Pinton, P.; Tsybulskyy, D.; Lucioli, J.; Laffitte, J.; Callu, P.; Lyazhri, F.; Grosjean, F.; Bracarense, A.-P.; Martine, K.-C.; Oswald, I.P. Toxicity of deoxynivalenol and its acetylated derivatives on the intestine: Differential effects on morphology, barrier function, tight junctions proteins and mitogen-activated protein kinases. Toxicol. Sci. 2012, 130, 180–190. [Google Scholar] [CrossRef] [PubMed]
- McCormick, S.P.; Price, N.P.J.; Kurtzman, C.P. Glucosylation and other biotransformations of T-2 toxin by yeasts of the Trichomonascus clade. Appl. Environ. Microb. 2012, 78, 8694–8702. [Google Scholar] [CrossRef] [PubMed]
- Naef, A.; Senatore, M.; Défago, G. A microsatellite based method for quantification of fungi in decomposing plant material elucidates the role of Fusarium graminearum DON production in the saprophytic competition with Trichoderma atroviride in maize tissue microcosms. Fems Microbiol. Ecol. 2006, 55, 211–220. [Google Scholar] [CrossRef] [PubMed]
- Schmeitzl, C.; Warth, B.; Fruhmann, P.; Michlmayr, H.; Malachova, A.; Berthiller, F.; Schuhmacher, R.; Krska, R.; Adam, G. The metabolic fate of deoxynivalenol and its acetylated derivatives in a wheat suspension culture: Identification and detection of DON-15-o-glucoside, 15-acetyl-DON-3-o-glucoside and 15-acetyl-DON-3-sulfate. Toxins 2015, 7, 3112–3126. [Google Scholar] [CrossRef] [PubMed]
- Martina, C.; Silvia, G.; Andrea, D.E.; Pietro, L.; Gianluca, F.; Andrea, M.; Gianni, G.; Chiara, D.A. Durum wheat (Triticum durum Desf.) lines show different abilities to form masked mycotoxins under greenhouse conditions. Toxins 2014, 6, 81–95. [Google Scholar]
- Berthiller, F.; Crews, C.; Dall’Asta, C.; Saeger, S.D.; Haesaert, G.; Karlovsky, P.; Oswald, I.P.; Seefelder, W.; Speijers, G.; Stroka, J. Masked mycotoxins: A review. Mol. Nutr. Food Res. 2013, 57, 165–186. [Google Scholar] [CrossRef] [PubMed]
- Li, X.; Shin, S.; Heinen, S.; Dill-Macky, R.; Berthiller, F.; Nersesian, N.; Clemente, T.; Mccormick, S.; Muehlbauer, G.J. Transgenic wheat expressing a barley UDP-glucosyltransferase detoxifies deoxynivalenol and provides high levels of resistance to Fusarium graminearum. Mol. Plant-Microbe Interact. 2015, 28, 1237–1246. [Google Scholar] [PubMed]
- Shin, S.; Torres-Acosta, J.A.; Heinen, S.J.; McCormick, S.; Lemmens, M.; Paris, M.P.K.; Berthiller, F.; Adam, G.; Muehlbauer, G.J. Transgenic Arabidopsis thaliana expressing a barley UDP-glucosyltransferase exhibit resistance to the mycotoxin deoxynivalenol. J. Exp. Bot. 2012, 63, 4731–4740. [Google Scholar] [CrossRef] [PubMed]
- He, J.; Zhou, T.; Young, J.C.; Boland, G.J.; Scott, P.M. Chemical and biological transformations for detoxification of trichothecene mycotoxins in human and animal food chains: A review. Trends Food Sci. Technol. 2010, 21, 67–76. [Google Scholar] [CrossRef]
- Lutz, M.P.; Feichtinger, G.; Defago, G.; Duffy, B. Mycotoxigenic Fusarium and deoxynivalenol production repress chitinase gene expression in the biocontrol agent Trichoderma atroviride P1. Appl. Environ. Microbiol. 2003, 69, 3077–3084. [Google Scholar] [CrossRef] [PubMed]
- Li, Y.; Sun, R.; Yu, J.; Saravanakumar, K.; Chen, J. Antagonistic and biocontrol potential of Trichoderma asperellum zjsx5003 against the maize stalk rot pathogen Fusarium graminearum. Indian J. Microbiol. 2016, 56, 318–327. [Google Scholar] [CrossRef] [PubMed]
- Suzuki, T.; Iwahashi, Y. Low toxicity of deoxynivalenol-3-glucoside in microbial cells. Toxins (Basel) 2015, 7, 187–200. [Google Scholar] [CrossRef] [PubMed]
- Pasquet, J.-C.; Changenet, V.; Macadré, C.; Boex-Fontvieille, E.; Soulhat, C.; Bouchabké-Coussa, O.; Dalmais, M.; Atanasova-Pénichon, V.; Bendahmane, A.; Saindrenan, P.; et al. A Brachypodium UDP-glycosytransferase confers root tolerance to deoxynivalenol and resistance to Fusarium infection. Plant Physiol. 2016, 172, 559–574. [Google Scholar] [CrossRef] [PubMed]
- Schweiger, W.; Pasquet, J.C.; Nussbaumer, T.; Paris, M.P.K.; Wiesenberger, G.; Macadre, C.; Ametz, C.; Berthiller, F.; Lemmens, M.; Saindrenan, P.; et al. Functional characterization of two clusters of Brachypodium distachyon UDP-glycosyltransferases encoding putative deoxynivalenol detoxification genes. Mol. Plant-Microbe Interact. 2013, 26, 781–792. [Google Scholar] [CrossRef] [PubMed]
- Schweiger, W.; Boddu, J.; Shin, S.; Poppenberger, B.; Berthiller, F.; Lemmens, M.; Muehlbauer, G.J.; Adam, G. Validation of a candidate deoxynivalenol-inactivating UDP-glucosyltransferase from barley by heterologous expression in yeast. Mol. Plant-Microbe Interact. 2010, 23, 977–986. [Google Scholar] [CrossRef] [PubMed]
- Lulin, M.; Yi, S.; Aizhong, C.; Zengjun, Q.; Liping, X.; Peidu, C.; Dajun, L.; Xiu-E, W. Molecular cloning and characterization of an up-regulated UDP-glucosyltransferase gene induced by DON from Triticum aestivum L. cv. Wangshuibai. Mol. Biol. Rep. 2010, 37, 785–795. [Google Scholar] [CrossRef] [PubMed]
- Michlmayr, H.; Malachova, A.; Varga, E.; Kleinova, J.; Lemmens, M.; Newmister, S.; Rayment, I.; Berthiller, F.; Adam, G. Biochemical characterization of a recombinant UDP-glucosyltransferase from rice and enzymatic production of deoxynivalenol-3-O-β-d-glucoside. Toxins 2015, 7, 2685–2700. [Google Scholar] [CrossRef] [PubMed]
- Tijerino, A.; Elena Cardoza, R.; Moraga, J.; Malmierca, M.G.; Vicente, F.; Aleu, J.; Collado, I.G.; Gutiérrez, S.; Monte, E.; Hermosa, R. Overexpression of the trichodiene synthase gene tri5 increases trichodermin production and antimicrobial activity in Trichoderma brevicompactum. Fungal Genet. Biol. 2011, 48, 285–296. [Google Scholar] [CrossRef] [PubMed]
- Kluger, B.; Bueschl, C.; Lemmens, M.; Michlmayr, H.; Malachova, A.; Koutnik, A.; Maloku, I.; Berthiller, F.; Adam, G.; Krska, R.; et al. Biotransformation of the mycotoxin deoxynivalenol in Fusarium resistant and susceptible near isogenic wheat lines. PLoS ONE 2015, 10, e0119656. [Google Scholar] [CrossRef] [PubMed]
- Warth, B.; Fruhmann, P.; Wiesenberger, G.; Kluger, B.; Sarkanj, B.; Lemmens, M.; Hametner, C.; Fröhlich, J.; Adam, G.; Krska, R. Deoxynivalenol-sulfates: Identification and quantification of novel conjugated (masked) mycotoxins in wheat. Anal. Bioanal. Chem. 2015, 407, 1033–1039. [Google Scholar] [CrossRef] [PubMed]
- Gong, A.D.; Li, H.P.; Yuan, Q.S.; Song, X.S.; Yao, W.; He, W.J.; Zhang, J.B.; Liao, Y.C. Antagonistic mechanism of iturin a and plipastatin a from Bacillus amyloliquefaciens s76-3 from wheat spikes against Fusarium graminearum. PLoS ONE 2015, 10, e0116871. [Google Scholar] [CrossRef] [PubMed]
- Zhao, Z.; Rao, Q.; Song, S.; Na, L.; Zheng, H.; Hou, J.; Wu, A. Simultaneous determination of major type B trichothecenes and deoxynivalenol-3-glucoside in animal feed and raw materials using improved DSPE combined with LC-MS/MS. J. Chromatogr. B Anal. Technol. Biomed. Life Sci. 2014, 963, 75–82. [Google Scholar] [CrossRef] [PubMed]
© 2016 by the authors; licensee MDPI, Basel, Switzerland. This article is an open access article distributed under the terms and conditions of the Creative Commons Attribution (CC-BY) license (http://creativecommons.org/licenses/by/4.0/).





