Molecular Approaches to Improve the Insecticidal Activity of Bacillus thuringiensis Cry Toxins
Abstract
:1. Introduction
2. Brief Insights into the Natural Evolution of Cry Toxins

3. Mechanism of Action
4. Biotechnology Strategies to Speed in Vitro Molecular Evolution of Cry Toxins
5. In Silico Analyses of Cry and Mutant Toxins for the Control of Economically Important Insect Pests
5.1. Cry1A: Effects of Amino Acid Modifications on Receptor Binding and Toxicity
| Toxin | Mutation | Region | Characteristic | Molecular effect | Toxicity | Reference |
|---|---|---|---|---|---|---|
| Cry1Aa | L126C | Helix α4 (domain I) | Reduced capacity to form pores | Low influx of ions | Extremely reduced | [66] |
| R127C | Helix α4 (domain I) | Increased capacity to form pores | Increased influx of ions | Slightly reduced | ||
| M130C | Helix α4 (domain I) | Increased capacity to form pores | Increased influx of ions | Slightly reduced | ||
| R131C | Helix α4 (domain I) | Highly reduced capacity to form pores | Extremely low influx of ions | Extremely reduced | ||
| I132C | Helix α4 (domain I) | Highly reduced capacity to form pores | Extremely low influx of ions | Reduced | ||
| Q133C | Helix α4 (domain I) | Reduced capacity to form pores | Low influx of ions | Extremely reduced | ||
| F134C | Helix α4 (domain I) | Increased capacity to form pores | Increased influx of ions | Reduced | ||
| N135C | Helix α4 (domain I) | Highly reduced capacity to form pores | Extremely low influx of ions | Extremely reduced | ||
| M137C | Helix α4 (domain I) | Increased capacity to form pores | Increased influx of ions | Slightly reduced | ||
| N138C | Helix α4 (domain I) | Highly reduced capacity to form pores | Extremely low influx of ions | Extremely reduced | ||
| S139C | Helix α4 (domain I) | Highly reduced capacity to form pores | Extremely low influx of ions | Reduced | ||
| A140C | Helix α4 (domain I) | Highly reduced capacity to form pores | Extremely low influx of ions | Extremely reduced | ||
| L141C | Helix α4 (domain I) | Increased capacity to form pores | Increased influx of ions | Slightly reduced | ||
| T142C | Helix α4 (domain I) | Highly reduced capacity to form pores | Extremely low influx of ions | Extremely reduced | ||
| A144C | Helix α4 (domain I) | Highly reduced capacity to form pores | Extremely low influx of ions | Extremely reduced | ||
| I145C | Helix α4 (domain I) | Reduced capacity to form pores | Low influx of ions | Slightly reduced | ||
| P146C | Helix α4 (domain I) | Reduced capacity to form pores | Low influx of ions | Extremely reduced | ||
| L147C | Helix α4 (domain I) | Highly reduced capacity to form pores | Extremely low influx of ions | Extremely reduced | ||
| A149C | Helix α4 (domain I) | Increased capacity to form pores | Increased influx of ions | Slightly reduced | ||
| R127E | Helix α4 (domain I) | Increased capacity to form pores | Increased influx of ions | Slightly reduced | [67] | |
| R127N | Helix α4 (domain I) | Increased capacity to form pores | Increased influx of ions | Slightly reduced | ||
| E128C | Helix α4 (domain I) | Highly reduced capacity to form pores | Extremely low influx of ions | Slightly reduced | ||
| E129C | Helix α4 (domain I) | Abolished capacity to form pores | n/a | Extremely reduced | ||
| E129K | Helix α4 (domain I) | Abolished capacity to form pores | n/a | Extremely reduced | ||
| R131D | Helix α4 (domain I) | Increased capacity to form pores | Low influx of ions | Extremely reduced | ||
| R131E | Helix α4 (domain I) | Highly reduced capacity to form pores | Low influx of ions | Slightly reduced | ||
| R131H | Helix α4 (domain I) | Highly reduced capacity to form pores | Low influx of ions | Extremely reduced | ||
| R131Q | Helix α4 (domain I) | Highly reduced capacity to form pores | Extremely low influx of ions | Reduced | ||
| D136C | Helix α4 (domain I) | Highly reduced capacity to form pores | Extremely low influx of ions | Extremely reduced | ||
| D136N | Helix α4 (domain I) | Highly reduced capacity to form pores | Extremely low influx of ions | Extremely reduced | ||
| D136Y | Helix α4 (domain I) | Abolished capacity to form pores | n/a | Extremely reduced | ||
| T142D | Helix α4 (domain I) | Abolished capacity to form pores | n/a | Extremely reduced | ||
| T143D | Helix α4 (domain I) | Abolished capacity to form pores | n/a | Extremely reduced | ||
| Y445C | Loop 3 (domain II) | Reduced Bt-R175 binding capacity | n/a | Extremely reduced | [57] | |
| Cry1Ab | R99E | Helix α3 (domain I) | No oligomer formation | No membrane insertion | Extremely reduced | [68] |
| L100E | Helix α3 (domain I) | No significant alteration | No significant alteration | No significant alteration | ||
| Y107E | Helix α3 (domain I) | No oligomer formation | No membrane insertion | Extremely reduced | ||
| I200D | Helix α6 (domain I) | No significant alteration | No significant alteration | No significant alteration | ||
| Y203D | Helix α6 (domain I) | No significant alteration | No significant alteration | No significant alteration | ||
| R99E | Helix α3 (domain I) | No oligomer formation | No membrane insertion | Reduced | [69] | |
| E129K | Helix α4 (domain I) | Dominant negative effect | Low capacity to insert into cell membrane | Extremely reduced | ||
| N135C | Helix α4 (domain I) | Dominant negative effect | Low capacity to insert into cell membrane | Extremely reduced | ||
| D136N | Helix α4 (domain I) | No competition with wild-type Cry1Ab | Low capacity to insert into cell membrane | Slightly increased | ||
| A140K | Helix α4 (domain I) | No competition with wild-type Cry1Ab | Low capacity to insert into cell membrane | Slightly increased | ||
| T142C | Helix α4 (domain I) | Dominant negative effect | Low capacity to insert into cell membrane | Extremely reduced | ||
| T143D | Helix α4 (domain I) | Dominant negative effect | Low capacity to insert into cell membrane | Extremely reduced | ||
| D136N, T143D | Helix α4 (domain I) | Dominant negative effect | Low capacity to insert into cell membrane | Extremely reduced | ||
| E129K, D136N | Helix α4 (domain I) | Dominant negative effect | Low capacity to insert into cell membrane | Extremely reduced | [71] | |
| G439D | Loop 3 (domain II) | No binding to receptor | Low capacity to insert into cell membrane | No significant alteration | ||
| V171C | Helix α5 (domain I) | Reduced toxin folding | Increased capacity to insert into cell membrane | Highly increased | ||
| L157C | Helix α5 (domain I) | Reduced toxin folding | Increased capacity to insert into cell membrane | Increased | ||
| N372A | Loop 2 (domain II) | Increased biding capacity to BBMVs | n/a | Highly increased | [58] | |
| N372G | Loop 2 (domain II) | Increased biding capacity to BBMVs | n/a | Highly increased | ||
| N372del | Loop 2 (domain II) | Highly reduced binding capacity to BBMVs | n/a | Extremely reduced | ||
| N372A, A282G, L283S | Loop2, Loop α8a, Loop α8 (domain II) | Increased biding capacity to BBMVs | n/a | Highly increased | ||
| Y153D | Loop between α4 and α5 (domain I) | Weaker membrane insertion | n/a | Reduced | [12] | |
| G282A, S283L | 8 Loop (domain II) | Reduced binding to receptor | n/a | Highly reduced | ||
| R345A, Y350A, Y351A | Loop 1 (Domain II) | Reduced binding to receptor | n/a | Slightly reduced | ||
| I373A | Loop 2 (Domain II) | Structure instability | n/a | Reduced | ||
| F371A, G374A | Loop 2 (Domain II) | Alters binding to membrane | Increase in dissociation from the membrane | Highly reduced | ||
| F440A, G439A | Loop 3 (Domain II) | Affects binding to receptor | n/a | Highly reduced | ||
| Cry1Ac | N135Q | Helix α4 (domain I) | No oligomer formation | No membrane insertion | Extremely reduced | [70] |
| Q509A | GalNac binding site (domain III) | Highly reduced binding capacity to APN | n/a | Slightly reduced | [72] | |
| R511A | GalNac binding site (domain III) | Highly reduced binding capacity to APN | n/a | Slightly reduced | ||
| Y513A | GalNac binding site (domain III) | Highly reduced binding capacity to APN | n/a | Slightly reduced | ||
| Q509A | GalNac binding site (domain III) | No significant alteration | n/a | Reduced | [73] | |
| N510A | GalNac binding site (domain III) | Highly reduced binding capacity to ALP | n/a | Reduced | ||
| R511A | GalNac binding site (domain III) | No significant alteration | n/a | Reduced | ||
| Y513A | GalNac binding site (domain III) | Highly reduced binding capacity to ALP | n/a | Extremely reduced | ||
| W545A | GalNac binding site (domain III) | Highly reduced binding capacity to ALP | n/a | Extremely reduced | ||
| T524N | Loop β16-β17 (domain III) | n/a | n/a | Increased | [51] |
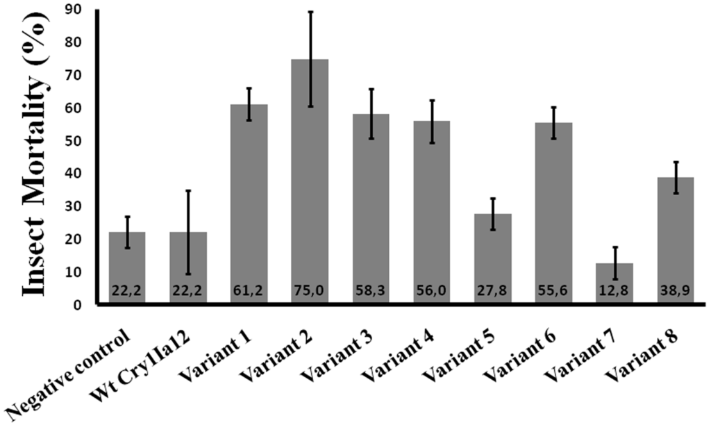
5.2. Analyses of Cry1Ia12 and Its Variants Generated Using in Vitro Directed Evolution

| Variant | Mutation | Domain | Reference |
|---|---|---|---|
| 1 | D233N, E639G | I, III | [13] |
| 2 | D233N | I | [13] |
| 3 | I116T, L266F, K580R | I, I, III | [13] |
| 4 | M45V | N-terminus(protoxin) | [13] |
| D233N | I | ||
| 5 | S84G, R159K, G380R | I, I, II | This report |
| 6 | S84G | I | This report |
| R159K | I | ||
| L212del | I | ||
| S213del | I | ||
| Q413S | II | ||
| P414T | II | ||
| P419L | II | ||
| 7 | S84G | I | This report |
| 8 | S84G | I | This report |
| R159K | I | ||
| G380R | II | ||
| K427ins | II |




5.3. Use of Cry8 Toxins as a Strategic Tool against Coleopteran Insect Pests

6. Perspectives of Biotechnological Application of Novel Molecules Selected by in Vitro Directed Evolution for Insect Pest Control
| Plant | Company | Event | Year/Country regulatory approval | Toxin(s) inserted | Insect species for resistance |
|---|---|---|---|---|---|
| Soybean | Monsanto Company | MON87701 | Canada (2010); United States (2011) | Cry1Ac | Anticarsia gemmatalis, Pseudoplusia includens |
| MON87701/MON89788 | Colombia (2012) | Cry1Ac, CP4 epsps | Lepidopteran pests | ||
| Cotton | Dow AgroSciences LLC | 3006-210-23 | Mexico (2004); United States (2004); Canada, Japan (2005) | Cry1Ac | Heliothis virescens, Helicoverpa zea, Pectinophora gossypiella, Spodoptera exigua |
| Calgene Inc. | 31807/31808 | United States (1997/1998); Canada, Japan (1998/1999) | Cry1Ac | Lepidopteran pests | |
| Syngenta Seeds, Inc. | COT67B | Australia, United States (2009) | Cry1Ab | Helicoverpa zea, Heliothis virescens | |
| Dow AgroSciences LLC | DAS-21Ø23-5/DAS-24236-5 | Mexico, United States (2004); Australia (2005); Japan (2005); Korea (2005/2008); Brazil (2009) | Cry1Ac, Cry1F | Helicoverpa zea, Heliothis virescens, Pectinophora gossypiella | |
| DAS-21Ø23-5/DAS-24236-5/MON-Ø1445-2 | Mexico (2005); Korea (2006); Japan (2006) | Cry1Ac, Cry1F | Helicoverpa zea, Heliothis virescens, Pectinophora gossypiella | ||
| DAS-21Ø23-5/DAS-24236-5/MON88913 | Japan, Korea, Mexico (2006) | Cry1Ac, Cry1F | Helicoverpa zea, Heliothis virescens, Pectinophora gossypiella | ||
| JK Agri Genetics LTd (India) | Event-1 | India (2006) | Cry1Ac | Earias vittella, Helicoverpa armigera, Pectinophora gossypiella | |
| Bayer CropScience | LLCotton25/MON15985 | Japan (2006/2007); Korea (2007/2008); Mexico (2008) | Cry1Ac, Cry2Ab | Helicoverpa zea, Heliothis virescens, Pectinophora gossypiella | |
| Monsanto Company | MON15985 | Australia, United States (2002); Japan (2002/2003); Canada, Mexico, Philippines, South Africa (2003); Korea (2003/2004) European Union (2005); China, India (2006); Burkina Faso (2008); Brazil, Colombia (2009) | Cry1Ac, Cry2Ab2 | Helicoverpa zea, Heliothis virescens, Pectinophora gossypiella | |
| MON-15985-7/MON-Ø1445-2 | Australia (2002); Korea (2004/2008); Philippines (2004); European Union, Japan (2005); Mexico (2006) | Cry1Ac, Cry2Ab | Helicoverpa zea, Heliothis virescens, Pectinophora gossypiella | ||
| MON-ØØ531-6/MON-Ø1445-2 | Mexico (2002); Australia (2003); Japan, Philippines (2004); Korea (2004/2008); European Union, South Africa (2005); Colombia (2008); Argentina, Brazil (2009) | Cry1Ac | Helicoverpa zea, Heliothis virescens, Pectinophora gossypiella | ||
| Cotton | Monsanto Company | MON15985/MON88913 | Japan (2005/2006); Australia, Mexico, Philippines (2006); Korea (2006/2008); South Africa (2007); Colombia (2010) | Cry1Ac, Cry2Ab | Helicoverpa zea, Heliothis virescens, Pectinophora gossypiella |
| MON531/757/1076 | United States (1995); Australia, Canada (1996); Japan, Mexico, South Africa (1997); Argentina (1998); India (2002); Colombia (2003); Korea (2003/2004); China, Philippines (2004); Brazil, European Union (2005) | Cry1Ac | Helicoverpa zea, Heliothis virescens, Pectinophora gossypiella | ||
| Tomato | Monsanto Company | 5345 | United States (1998); Canada (2000) | Cry1Ac | Helicoverpa zea, Heliothis virescens, Pectinophora gossypiella |
| Maize | Syngenta Seeds, Inc. | 176 | United States (1995); Canada (1995/1996); Japan (1996); Argentina (1996/1998); European Union, The Netherlands, Switzerland, United Kingdom (1997); Australia, South Africa (2001); Philippines (2003); Korea (2003/2006); China, Taiwan (2004) | Cry1Ab | Ostrinia nubilalis |
| BT11 (X4334CBR, X4734CBR) | Canada, Japan, United States (1996); European Union, Switzerland, United Kingdom (1998); Argentina, Australia (2001); South Africa (2002); Korea (2003/2006); Russia (2003); China, Taiwan, Uruguay (2004); Philippines (2005); Brazil, Mexico (2007); Colombia (2008/2009) | Cry1Ab | Ostrinia nubilalis | ||
| BT11/GA21 | Canada (2005); Korea (2006/2008); Japan, Mexico, Philippines (2007); Argentina, Brazil (2009); Uruguay (2011); Colombia (2012) | Cry1Ab, Vip3Aa20 | Agrotis ipsilon, Ostrinia nubilalis, Helicoverpa zea, Spodoptera frugiperda | ||
| BTT11/GA21/MIR162 | Brazil (2011); Colombia (2012) | Cry1Ab, Vip3Aa20 | Helicoverpa zea, Spodoptera frugiperda, Agrotis ipsilon | ||
| BT11/MR162 | United States (2009) | Cry1Ab, Vip3Aa20 | Agrotis ipsilon, Ostrinia nubilalis, Helicoverpa zea, Spodoptera frugiperda, Spodoptera albicosta | ||
| Maize | Syngenta Seeds, Inc. | BT11/MIR162/MIR604 | United States (2009) | Cry1Ab, Vip3Aa20 | Ostrinia nubilalis, Diatraea crambidoides, Spodoptera frugiperda, Pseudaletia unipunctata, Spodoptera exigua, Agrotis ipsilon, Striacosta albicosta, Diatraea saccharalis, Diabrotica virgiferaDiabrotica barberi, Papaipema nebris |
| BT11/MIR162/MIR604/GA21 | Colombia (2012) | Cry1Ab, mCry3A,Vip3a20 | Diabrotica spp., Helicoverpa zea, Ostrinia nubilalis, Spodoptera frugiperda, Agrotis ipsilon | ||
| BT11/MIR604 | Canada, Japan, Korea, Mexico, Philippines (2007); Colombia (2012) | Cry1Ab, mCry3A | Diabrotica spp., Ostrinia nubilalis | ||
| BT11/MIR604/GA21 | Canada, Japan (2007); Korea, Mexico, Philippines (2008); | Cry1Ab | Diabrotica spp, Ostrinia nubilalis | ||
| DeKalb Genetics Corporation | DBT418 | Canada, United States (1997); Japan (1999); Australia (2002); Philippines, Taiwan (2003); Korea (2004) | Cry1Ac | Ostrinia nubilalis | |
| Monsanto Company | GA21/MON810 | Japan, South Africa (2003); Korea, Philippines (2004); European Union (2005) | Cry1Ab | Ostrinia nubilalis, Other Lepidoteran pests | |
| MON80100 | United States (1996) | Cry1Ab | Ostrinia nubilalis | ||
| MON802 | United States (1996/1997); Canada, Japan (1997) | Cry1Ab | Ostrinia nubilalis | ||
| MON809 | Canada, United States (1996); Japan (1997/1998) | Cry1Ab | Ostrinia nubilalis | ||
| MON810 | United States (1995/1996); Japan (1996/1997); Canada, South Africa (1997); Argentina, European Union (1998); Australia, Switzerland (2000); Mexico, Philippines, Taiwan (2002); Korea (2002/2004); Colombia, Uruguay (2003); China (2004); Brazil (2007) | Cry1Ab | Ostrinia nubilalis | ||
| MON810/LY038 | Philippines (2006); Japan (2007) | Cry1Ab | Ostrinia nubilalis | ||
| MON810/MON88017 | Japan (2005); Canada, Korea, Mexico (2006); Taiwan (2009); Colombia (2011) | Cry1Ab, Cry3Bb1 | Ostrinia nubilalis, Diabrotica virgifera | ||
| Maize | Monsanto Company | MON863/MON810 | Japan, Korea, Philippines (2004); European Union (2005); Mexico (2006) | Cry1Ab, Cry3Bb1 | Ostrinia nubilalis, Diabrotica sp. |
| MON863/MON810/NK603 | Canada, Japan, Korea (2004); Philippines (2004/2005); Mexico (2006); Taiwan (2009) | Cry1Ab, Cry3Bb1 | Ostrinia nubilalis, Diabrotica virgifera | ||
| MON89034 | Japan, United States (2007/2008); Australia, Canada, Taiwan (2008); Brazil, European Union, Korea, Philippines (2009); Colombia (2010) | Cry1A.105,Cry2Ab | Ostrinia sp., Diabrotica sp. | ||
| MON89034/MON88017 | Japan (2008); Korea, Philippines, Taiwan (2009); Argentina (2010); Colombia (2011) | Cry1A.105,Cry2Ab, Cry3Bb1 | Diabrotica virgifera, Lepidopteran pests | ||
| Monsanto Company and Mycogen Seeds c/o Dow LLC | MON89034/TC1507/MON88017/DAS-59122-7 | Canada, Japan, Korea, Taiwan, United States (2009); Colombia, Mexico, Philippines (2010) | Cry1A.105, Cry1Fa2, Cry2Ab, Cry3Bb1,Cry34Ab1, Cry35Ab1 | Ostrinia nubilalis, Helicoverpa zea, Spodoptera frugiperda, Agrotis ipsilon | |
| Monsanto Company | NK603/MON810 | Canada (2001); Japan, Korea, Mexico, Philippines (2004); Argentina (2005/2007); European Union (2007); Taiwan, Brazil, Colombia, El Salvador (2009); Uruguay (2011) | Cry1Ab | Ostrinia nubilalis, Lepidopteran pests | |
| Bayer CropScience (Aventis CropScience (AgrEvo)) | T25/MON810 | Japan (2003); Colombia (2012) | Cry1Ab | Ostrinia nubilalis, Lepidopteran pests | |
| DuPont Pioneer | TC1507/MON810 | Brazil (2011); Colombia (2012); Argentina (2013) | Cry1Ab,Cry1Fa2 | Lepidopteran pests | |
| TC1507/MON810/NK603 | Canada (2011); Colombia (2012); Argentina (2013) | Cry1Ab, Cry1Fa2 | Lepidopteran pests |
Abbreviations
| LC50 | the concentration of toxins used to present 50% of its total insecticide activity. |
Acknowledgments
Author Contributions
Conflicts of Interest
References
- Gilliand, A.; Chambers, C.; Bones, E.; Ellar, D. Role of Bacillus thuringiensis Cry1 d-endotoxin binding in determining potency during Lepidopteran Larval development. Appl. Environ. Microbiol. 2002, 68, 1509–1515. [Google Scholar] [CrossRef]
- Zhang, X.; Candas, M.; Griko, N.B.; Taussig, R.; Bulla, L.A., Jr. A mechanism of cell death involving an adenylyl cyclase/PKA signaling pathway is induced by the Cry1Ab toxin of Bacillus thuringiensis. Proc. Natl. Acad. Sci. USA 2006, 103, 9897–9902. [Google Scholar]
- Bravo, A.; Gill, S.; Soberón, M. Mode of action of Bacillus thuringiensis Cry and Cyt and their potential for insect control. Toxicon 2007, 49, 423–435. [Google Scholar] [CrossRef]
- Li, J.; Carroll, J.; Ellar, D. Crystal structure of insecticidal d-endotoxin from Bacillus thuringiensis at 2.5A resolution. Nature (London) 1991, 353, 815–821. [Google Scholar] [CrossRef]
- Grochulski, P.; Masson, L.; Borisova, S.; Pusztai-Carey, M.; Schwartz, J. Cry1A(a) insecticidal toxin: crystal structure and channel formation. J. Mol. Biol. 1995, 254, 447–464. [Google Scholar] [CrossRef]
- Derbyshire, D.; Ellar, D.; Li, J. Crystallization of the Bacillus thuringiensis toxin Cry1Ac and its complex with the receptor ligand N-acetyl-d-galactosamine. Acta Crystallogr. Sect. D 2001, 57, 1938–1944. [Google Scholar] [CrossRef]
- Galitsky, N.; Cody, V.; Wojtczak, A.; Ghosh, F.; Luft, J.; Pangborn, W.; English, L. Structure of the insecticidal bacterial δ-endotoxin Cry3Bb1 of Bacillus thuringiensis. Acta Crystallogr. Sect. D 2001, 57, 1101–1109. [Google Scholar]
- Morse, R.; Yamamoto, T.; Stud, R. Structure of Cry2Aa suggests an unexpected receptor binding epitope. Structure 2001, 9, 409–417. [Google Scholar] [CrossRef]
- Boonserm, P.; Davis, P.; Ellar, D.; Li, J. Crystal structure of the mosquito-larvicidal toxin Cry4Ba and its biological implications. J. Mol. Biol. 2005, 348, 363. [Google Scholar] [CrossRef]
- Guo, S.; Ye, S.; Liu, Y.; Wei, L.; Xue, J. Crystal structure of Bacillus thuringiensis Cry8Ea1: An insecticidal toxin toxic to underground pests, the larvae of Holotrichia parallela. J. Struct. Biol. 2009, 168, 259–266. [Google Scholar] [CrossRef]
- Hui, F.; Scheib, U.; Hu, Y.; Sommer, R.J.; Aroian, R.V.; Ghosh, P. Structure and glycolipid properties of the nematicidal protein Cry5B. Biochemistry 2012, 51, 9911–9921. [Google Scholar] [CrossRef]
- Dean, D.; Rajamohan, F.; Lee, M.; Wu, S.-J.; Chen, X.-J.; Alcantara, E.; Hussain, S. Probing the mechanism of action of Bacillus thuringiensis insecticidal proteins by site-directed mutagenesis—A minireview. Gene 1996, 179, 111–117. [Google Scholar] [CrossRef]
- Craveiro, K.I.C.; Gomes Junior, J.E.; Silva, M.C.M.; Macedo, L.L.P.; Lucena, W.A.; Silva, M.S.; Antonino de Souza Junior, J.D.; Oliveira, G.R.; Quezado de Magalhaes, M.T.; Santiago, A.D.; et al. Variant Cry1Ia toxins generated by DNA shuffling are active against sugarcane giant borer. J. Biotechnol. 2010, 145, 215–221. [Google Scholar] [CrossRef]
- Oliveira, G.R.; Silva, M.C.M.; Lucena, W.A.; Nakasu, E.Y.T.; Firmino, A.A.P.; Beneventi, M.A.; Souza, D.S.L.; Gomes, J.E.; de Souza, J.D.; Rigden, D.J.; et al. Improving Cry8Ka toxin activity towards the cotton boll weevil (Anthonomuns grandis). BMC Biotechnol. 2011, 11, 1–13. [Google Scholar] [CrossRef]
- Bravo, A.; Gómez, I.; Porta, H.; García-Gomez, B.; Rodriguez-Almazan, C.; Pardo, L.; Soberón, M. Evolution of Bacillus thuringiensis Cry toxins insecticidal activity. Microb. Biotechnol. 2013, 6, 17–26. [Google Scholar] [CrossRef]
- Stemmer, W. Rapid evolution of a protein in vitro by DNA shuffling. Nature (London) 1994, 370, 389–391. [Google Scholar] [CrossRef]
- Zhao, H.; Arnold, F. Optimization for DNA shuffling for high fidelity recombination. Nucleic Acids Res. 1997, 25, 1307–1308. [Google Scholar] [CrossRef]
- Crickmore, N.; Zeigler, D.; Feitelson, J.; Schnepf, E.; Rie, J.V.; Lereclus, D.; Baum, J.; Dean, D. Revision of the nomeclature for the Bacillus thuringiensis pesticidal crystal proteins. Microbiol. Molecular Biol. Rev. 1998, 62, 807–813. [Google Scholar]
- Crickmore, N.; Baum, J.; Bravo, A.; Lereclus, D.; Narva, K.; Sampson, K.; Schnepf, E.; Sun, M.; Zeigler, D. Bacillus thuringiensis Toxin Nomeclature. Available online: http://www.btnomenclature.info/ (accessed on 2 May 2014).
- Bravo, A.; Soberón, M.; Gill, S. Bacillus thuringiensis: Mechanisms and use. In Comprehensive Molecular Insect Science; Elsevier: Oxford, UK, 2005; Volume 6, pp. 175–206. [Google Scholar]
- Bravo, A. Phylogenetic relationship of Bacillus thuringiensis δ-endotoxin family proteins and their functional domains. J. Bacteriol. 1997, 179, 2793–2801. [Google Scholar]
- De Maagd, R.A.; Bravo, A.; Crickmore, N. How Bacillus thuringiensis has evolved specific toxins to colonize the insect world. Trends Genet. 2001, 17, 193–199. [Google Scholar] [CrossRef]
- Crickmore, N. The diversity of Bacillus thuringiensis d-endotoxins. In Enthomopathogenic Bacteria: From Laboratory to Field Application; Charles, J.-F., Delécluse, A., Nielsen-LeRoux, C., Eds.; Kluwer Academic Publishers: Dordrecht, The Netherland, 2000; Volume 1, pp. 65–79. [Google Scholar]
- Wu, J.-Y.; Zhao, F.-Q.; Bai, J.; Deng, G.; Qin, S.; Bao, Q.-Y. Adaptative evolution of cry genes in Bacillus thuringiensis: Implications for their specificity determination. Genomics Protemics Bioinform. 2007, 5, 102–110. [Google Scholar] [CrossRef]
- Schnepf, E.; Crickmore, N.; Rie, J.V.; Lereclus, D.; Baum, J.; Feitelson, J.; Zeigler, D.; Dean, D. Bacillus thuringiensis and its pesticidal crystal proteins. Microbiol. Mol. Biol. Rev. 1998, 62, 775–806. [Google Scholar]
- Tuntitippawan, T.; Boonserm, P.; Katzenmeier, G.; Angsuthanasombat, C. Targeted mutagenesis of loop residues in the receptor-binding domain of the Bacillus thuringiensis Cry4Ba toxin affects larvicidal activity. FEBS Lett. 2005, 242, 325–332. [Google Scholar]
- Aronson, A.; Shai, Y. Why Bacillus thuringienis insecticidal toxins are so effective: Unique features of their mode of action. FEMS Microbiol. Lett. 2001, 195, 1–8. [Google Scholar]
- Bravo, A.; Hendrickx, K.; Jansens, S.; Peferoen, M. Immunocytochemical analysis of specific binding of Bacillus thuringiensis insecticidal stal proteins to lepidopteran and coleopteran midgutmembranes. J. Invertebr. Pathol. 1992, 60, 247–253. [Google Scholar] [CrossRef]
- Bravo, A.; Gómez, I.; Muñoz-Garay, C.; Sánchez, J.; Miranda, R.; Zhuang, M.; Gill, S.; Sóberon, M. Oligomerization triggers binding of a Bacillus thuringiensis 1Ab pore-forming toxin to aminopeptidase N receptor leading to insertion into membrane microdomains. Biochim. Biophys. Acta 2004, 1667, 38–46. [Google Scholar] [CrossRef]
- Bravo, A.; Likitvivatanavong, S.; Gill, S.; Soberón, M. Bacillus thuringiensis: A story of a successful bioinsecticide. Insect Biochem. Mol. Biol. 2011, 41, 423–431. [Google Scholar] [CrossRef]
- De Maagd, R.A.; Bravo, A.; Berry, C.; Crickmore, N.; Schnepf, H. Structure diversity, and evolution of protein toxins from spore-forming entomopathogenic bacteria. Annu. Rev. Genet. 2003, 37, 409–433. [Google Scholar] [CrossRef]
- Chattopadhyay, A.; Bhatnagar, N.; Bhatnagar, R. Bacterial insecticidal toxins. Crit. Rev. Microbiol. 2004, 30, 33–54. [Google Scholar] [CrossRef]
- Jurat-Fuentes, J.; Adang, M. Toxin mode of action in susceptible and resistant Heliothis virescens larvae. J. Invertebr. Pathol. 2006, 92, 166–171. [Google Scholar] [CrossRef]
- Pigott, C.; Ellar, D. Role of receptors in Bacillus thuringiensis crystal toxin activity. Microbiol. Mol. Biol. Rev. 2007, 71, 255–281. [Google Scholar] [CrossRef]
- Pacheco, S.; Gomez, I.; Arenas, I.; Saab-Rincon, G.; Rodriguez-Almazan, C. Domain II loop 3 of Bacillus thuringiensis Cry1Ab toxin is involved in a “ping pong” binding mechanism with Manduca sexta aminopeptidase-N and cadherin receptors. J. Biol. Chem. 2009, 284, 32750–32757. [Google Scholar]
- Soberón, M.; Pardo, L.; Muñoz-Garay, C.; Sánchez, J.; Gómez, I.; Porta, H.; Bravo, A. Pore formation by Cry toxins. Adv. Exp. Med. Biol. 2010, 677, 127–143. [Google Scholar] [CrossRef]
- Bravo, A.; Soberon, M. How to cope with insect resistance to Bt toxins? Trends Biotechnol. 2008, 26, 573–579. [Google Scholar] [CrossRef]
- Jiménez-Juárez, N.; Mu^noz-Garay, C.; Gómez, I.; Gill, S.; Soberón, M.; Bravo, A. The pore-pore from Bacillus thuringiensis Cry1Ab toxin is necessary to induce insect death in Manduca sexta. Peptides 2008, 29, 318–323. [Google Scholar] [CrossRef]
- Pardo-López, L.; Muñoz-Garay, C.; Porta, H.; Rodríguez-Almazán, C.; Soberón, M.; Bravo, A. Strategies to improve the insecticidal activity of Cry toxins from Bacillus thruingiensis. Peptides 2009, 30, 589–595. [Google Scholar] [CrossRef]
- Soberón, M.; Gill, S.; Bravo, A. Signaling versus punching hole: How do Bacillus thuringiensis toxins kill insect midgut cells? Cell Mol. Life Sci. 2009, 66, 1337–1349. [Google Scholar]
- Arenas, I.; Bravo, A.; Soberon, M.; Gomez, I. Role of alkaline phosphatase from Manduca sexta in the mechanism of action of Bacillus thuringiensis Cry1Ab toxin. J. Biol. Chem. 2010, 285, 12497–12503. [Google Scholar] [CrossRef]
- Gómez, I.; Dean, D.; Bravo, A.; Soberón, M. Molecular basis for Bacillus thuringiensis Cry1Ab toxin specificity: Two structural determinants in the Manduca sexta Bt-R1 receptor interact wit loops alpha8 and 2 in domain II of Cry1Ab toxin. Biochemistry 2003, 42, 10482–10489. [Google Scholar] [CrossRef]
- Gómez, I.; Arenas, I.; Benitez, I.; Miranda-Ríos, J.; Becerril, B.; Grande, G. Specific epitopes of domains II and III of Bacillus thuringiensis Cry1Ab toxin involved in the sequential interaction withcadherin and aminopeptidase-N receptors in Manduca sexta. J. Biol. Chem. 2006, 281, 34032–34039. [Google Scholar]
- Marzari, R.; Edomi, P.; Bhatnagar, R.; Ahmad, S.; Selvapandiyan, A.; Bradbury, A. Phage display of Bacillus thuringiensis Cry1A(a) insecticidal toxin. FEBS Lett. 1997, 411, 27–31. [Google Scholar] [CrossRef]
- Kasman, L.; Lukowiak, A.; Garcynski, S.; McNall, R.; Youngman, P.; Adang, M. Phage display of a biologically active Bacillus thuringiensis toxin. Appl. Environ. Microbiol. 1998, 64, 2995–3003. [Google Scholar]
- Vílchez, S.; Jacoby, J.; Ellar, D. Display of biologically functional insecticidal toxin on the surface of λphage. Appl. Environ. Microbiol. 2004, 70, 6587–6594. [Google Scholar] [CrossRef]
- Pacheco, S.; Gómez, I.; Sato, R.; Bravo, A.; Soberón, M. Functioinal display of Bacillus thuringiensis Cry1Ac toxin on T7 phage. J. Invertebr. Pathol. 2006, 92, 45–49. [Google Scholar] [CrossRef]
- Ishikawa, H.; Hoshino, Y.; Motoki, Y.; Kawahara, T.; Kitakima, M.; Kitami, M.; Watanabe, A.; Bravo, A.; Soberon, M.; Honda, A.; et al. A system for the directed evolution of the insecticidal protein from Bacillus thuringiensis. Mol. Biotechnol. 2007, 36, 90–102. [Google Scholar] [CrossRef]
- Lassner, M.; Bedbrook, J. Directed molecular evolution in plant improvement. Curr. Opin. Plant Biol. 2001, 4, 152–156. [Google Scholar] [CrossRef]
- Knight, J.; Broadwell, A.; Grant, W.; Shoemaker, C. A strategy for shiffling numerous Bacillus thuringiensis crystal protein domains. J. Econ. Entomol. 2004, 97, 1805–1813. [Google Scholar] [CrossRef]
- Shan, S.; Zhang, Y.; Ding, X.; Hu, S.; Sun, Y.; Yu, Z.; Liu, S.; Zhu, Z.; Xia, L. A Cry1Ac toxin variant generated by directed evolution has enhanced toxicity against Lepidopteran insects. Curr. Microbiol. 2011, 62, 358–365. [Google Scholar] [CrossRef]
- Fujii, Y.; Tanaka, S.; Otsuki, M.; Hoshino, Y.; Endo, H.; Sato, R. Affinity maturation of Cry1Aa toxin to the Bombys mori cadherin-like receptor by directed evolution. Mol. Biotechnol. 2013, 54, 11. [Google Scholar]
- Soberón, M.; Pardo-López, L.; López, I.; Gómez, I.; Tabashnik, B.; Bravo, A. Engieering modified Bt toxins to counter insect resistance. Science 2007, 318, 1640–1642. [Google Scholar] [CrossRef]
- Alzate, O.; Osorio, C.; Florez, A.; Dean, D. Participation of valine 171 in α-helix 5 of Bacillus thuringiensis Cry1Ab δ-endotoxin in translocation of toxin into Lymantria dispar midgut membranes. Appl. Environ. Microbiol. 2010, 76, 7878–7880. [Google Scholar]
- Vadlamudi, R.K.; Weber, E.; Ji, I.; Ji, T.H.; Bulla, L.A., Jr. Cloning and expression of a receptor for an insecticidal toxin of Bacillus thuringiensis. J. Biol. Chem. 1995, 270, 5490–5499. [Google Scholar]
- Gomez, I.; Miranda-Rios, J.; Rudino-Pinera, E.; Oltean, D.I.; Gill, S.S.; Bravo, A.; Soberon, M. Hydropathic complementarity determines interaction of epitope (869)HITDTNNK(876) in Manduca sexta Bt-R(1) receptor with loop 2 of domain II of Bacillus thuringiensis Cry1A toxins. J. Biol. Chem. 2002, 277, 30137–30143. [Google Scholar]
- Atsumi, S.; Inoue, Y.; Ishizaka, T.; Mizuno, E.; Yoshizawa, Y. Location of the Bombyx mori 175 kDa cadherin-like protein-binding site on Bacillus thuringiensis Cry1Aa toxin. FEBS J. 2008, 275, 4913–4926. [Google Scholar] [CrossRef]
- Rajamohan, F.; Alzate, O.; Cotrill, J.A.; Curtiss, A.; Dean, D.H. Protein engineering of Bacillus thuringiensis δ-endotoxin: Mutations at domain II of CryIAb enhance receptor affinity and toxicity toward gypsy moth larvae. Proc. Natl. Acad. Sci. USA 1996, 93, 14338–14343. [Google Scholar]
- Pigott, C.; King, M.; Ellar, D. Investigating the properties of Bacillus thuringiensis Cry proteins with noval loop replacements created using combinatorial molecular biology. Appl. Environ. Microbiol. 2008, 74, 3497–3512. [Google Scholar] [CrossRef]
- Abdullah, M.; Alzate, O.; Mohammad, M.; McNall, R.; Adang, M.; Dean, D. Introduction of Culex toxicity into Bacillus thuringiensis Cry4Ba by protein engineering. Appl. Environ. Microbiol. 2003, 69, 5343–5353. [Google Scholar] [CrossRef]
- Maagd, R.D.; Weemen-Hendriks, M.; Siekema, W.; Bosch, D. Domain III substitution in Bacillus thuringiensis δ-endotoxin Cry1C domain III can function as a specific determinant for Spodoptera exigua in different, but not all, Cry1-Cry1C hybrids. Appl. Environ. Microbiol. 2000, 66, 1559–1563. [Google Scholar] [CrossRef]
- Naimov, S.; Weemen-Hendriks, M.; Dukiandjiev, S.; Maagd, R.D. Bacillus thuringiensis δ-endotoxin Cry1 hybrid proteins with increased activity against the Colorado potato beetle. Appl. Environ. Microbiol. 2001, 67, 5328–5330. [Google Scholar] [CrossRef]
- Walters, F.; deFontes, C.; Hart, H.; Warren, G.; Chen, J. Lepidopteran-active variable-region sequence imparts coleopteran activity in eCry3.1Ab, an engineered Bacillus thuringiensis hybrid insecticidal protein. Appl. Environ. Microbiol. 2010, 76, 3082–3088. [Google Scholar]
- Hibbard, B.; Frank, D.; Kurtz, R.; Boudreau, E.; Ellersieck, M.; Odhiambo, J. Mortality impact of Bt transgenic maize roots expressing eCry3.1Ab, mCry3A, and eCry3.1Ab plus mCry3A on western corn rootworm larvae in the field. J. Econ. Entomol. 2011, 104, 1584–1591. [Google Scholar]
- Masson, L.; Lu, Y.; Mazza, A.; Brousseau, R.; Adang, M. The Cry1A(c) receptor purified from Manduca sexta displays multiple specificities. J. Biol. Chem. 1995, 270, 20309–20315. [Google Scholar] [CrossRef]
- Girard, F.; Vachon, V. Cysteine scanning mutagenesis of alpha4, a putative pore-lining helix of the Bacillus thuringiensis insecticidal toxin Cry1Aa. Appl. Environ. Microbiol. 2008, 74, 2565–2572. [Google Scholar] [CrossRef]
- Vachon, V.; Prefontaine, G. Helix 4 mutants of the Bacillus thuringiensis insecticidal toxin Cry1Aa display altered pore-forming abilities. Appl. Environ. Microbiol. 2004, 70, 6123–6130. [Google Scholar] [CrossRef]
- Jiménez-Juárez, N.; Muñoz-Garay, C.; Gómez, I.; Saab-Rincon, G.; Damian-Almazo, J.Y.; Gill, S.S.; Soberón, M.; Bravo, A. Bacillus thuringiensis Cry1Ab Mutants Affecting Oligomer Formation Are Non-toxic to Manduca sexta Larvae. J. Biol. Chem. 2007, 282, 21222–21229. [Google Scholar] [CrossRef]
- Rodríguez-Almazán, C.; Zavala, L.E.; Muñoz-Garay, C.; Jiménez-Juárez, N.; Pacheco, S.; Masson, L.; Soberón, M.; Bravo, A. Dominant negative mutants of Bacillus thuringiensis Cry1Ab toxin function as anti-toxins: Demonstration of the role of oligomerization in toxicity. PLoS One 2009, 4, e5545. [Google Scholar] [CrossRef]
- Tigue, N.J.; Jacoby, J.; Ellar, D.J. The α-Helix 4 Residue, Asn135, is involved in the oligomerization of Cry1Ac1 and Cry1Ab5 Bacillus thuringiensis toxins. Appl. Environ. Microbiol. 2001, 67, 5715–5720. [Google Scholar] [CrossRef]
- Alzate, O.; You, T. Effects of disulfide bridges in domain I of Bacillus thuringiensis Cry1Aa δ-endotoxin on ion-channel formation in biological membranes. Biochemistry 2006, 45, 13597–13605. [Google Scholar]
- Jenkins, J.L.; Lee, M.K.; Sangadala, S.; Adang, M.J.; Dean, D.H. Binding of Bacillus thuringiensis Cry1Ac toxin to Manduca sexta aminopeptidase-N receptor is not directly related to toxicity. FEBS Lett. 1999, 462, 373–376. [Google Scholar] [CrossRef]
- Sengupta, A.; Sarkar, A.; Priya, P.; Ghosh Dastidar, S.; Das, S. New insight to structure-function relationship of GalNAc mediated primary interaction between insecticidal Cry1Ac toxin and HaALP receptor of Helicoverpa armigera. PLoS One 2013, 8, e78249. [Google Scholar]
- De Maagd, R.A.; Bakker, P.L.; Masson, L.; Adang, M.J.; Sangadala, S.; Stiekema, W.; Bosch, D. Domain III of the Bacillus thuringiensis δ-endotoxin Cry1Ac is involved in binding to Manduca sexta brush border membranes and to its purified aminopeptidase N. Mol. Microbiol. 1999, 31, 463–471. [Google Scholar] [CrossRef]
- Burton, S.; Ellar, D.; Li, J.; Derbyshire, D. N-acetylgalactosamine on the putative insect receptor aminopeptidase N is recognised by a site on the domain III lectin-like fold of a Bacillus thuringiensis insecticidal toxin. J. Mol. Biol. 1999, 287, 1011–1022. [Google Scholar] [CrossRef]
- Ning, C.; Wu, K.; Liu, C.; Gao, Y.; Jurat-Fuentes, J.L.; Gao, X. Characterization of a Cry1Ac toxin-binding alkaline phosphatase in the midgut from Helicoverpa armigera (Hubner) larvae. J. Insect Phys. 2010, 56, 666–672. [Google Scholar] [CrossRef]
- Grossi-de-Sa, M.; Magahães, M.; Silva, M.; Silva, S.; Dias, S.; Nakasu, E.; Brunetta, P.; Oliveira, G.; neto, O.O.; Oliveira, R.; et al. Susceptibility of Anthonomus grandis (cotton boll weevil) and Spodoptera frugiperda (fall armyworm) to a Cry1Ia-type toxin from a Brazilian Bacillus thuringiensis strain. J. Biochem. Moel. Biol. 2007, 40, 10. [Google Scholar]
- Schoder, M.; Poulsen, M.; Wilcks, A.; Kroghsbo, S.; Miller, A.; Frenzel, T.; Danier, J.; Rychlik, M.; Emami, K.; Gatehouse, A.; et al. A 90-day safety study of genetically modified rice expressing Cry1Ab protein (Bacillus thuringiensis toxin) in Wistar rats. Food Chem. Toxicol. 2007, 45, 339–349. [Google Scholar] [CrossRef]
- Peng, D.; Chen, S.; Ruan, L.; Li, L.; Yu, Z.; Sun, M. Safety assessment of transgenic Bacillus thuringiensis with VIP insecticidal protein gene by feeding studies. Food Chem. Toxicol. 2007, 45, 1179–1185. [Google Scholar] [CrossRef]
- McClintock, J.; Schaffer, C.; Sjoblad, R. A comparative review of the mammalian toxicity of Bacillus thuringiensis-based pesticides. Pestic. Sci. 1995, 45, 95–105. [Google Scholar] [CrossRef]
- Guimarães, L.M.; Farias, D.F.; Muchagata, R.C.C.; de Magalhães, M.Q.; Campelho, C.C.; Rocha, T.L.; Vasconcelos, I.M.; Carvalho, A.F.U.; Mulinari, F.; Grossi-de-Sa, M.F. Short-term evaluation in growing rats of diet containing Bacillus thuringiensis CryIa12 entomotoxin: Nutritional responses and some safety aspects. J. Biomed. Biotechnol. 2010, 2010, 1–8. [Google Scholar]
- Girard, F.; Vachon, V. Helix alpha 4 of the Bacillus thuringiensis Cry1Aa toxin plays a critical role in the post binding steps of pore formation. Appl. Environ. Microbiol. 2009, 75, 359–365. [Google Scholar] [CrossRef]
- Chen, X.; Curtiss, A.; Alcantara, E.; Dean, D. Mutations in domain I of Bacilllus thuringiensis δ-endotoxin Cry1Ab reduce the irreversible binding of toxin to Manduca sexta brush border membrane vesicles. J. Biol. Chem. 1995, 270, 6412–6419. [Google Scholar] [CrossRef]
- Lin, X.; Parthasarathy, K.; Surya, W.; Zhang, T.; Mu, Y.; Torres, J. A conserved tetrameric interaction of cry toxin helix α3 suggests a funciontal role for toxin oligomerization. Biochim. Biophys. Acta 2014, 1838, 1777–1784. [Google Scholar] [CrossRef]
- Gomez, I.; Sanchez, J.; Miranda, R.; Bravo, A.; Soberon, M. Cadherin-like receptor binding facilitates proteolytic cleavage of helix α-1 in domain I and oligomer pre-pore formation of Bacillus thuringiensis Cry1Ab toxin. FEBS Lett. 2002, 513, 242–246. [Google Scholar] [CrossRef]
- Flores, H.; Soberón, X.; Sánches, J.; Bravo, A. Isolated domain II and III from the Bacillus thuringiensis Cry1Ab δ-endotoxin binds to lepidopteran midgut membranes. FEBS Lett. 1997, 414, 313–318. [Google Scholar] [CrossRef]
- Xiang, W.; Qiu, X.; Zhi, D.; Min, Z. N546 in b18-b19 loop is important for binding and toxicity of the Bacillus thuringiensis Cry1Ac toxin. J. Invertabr. Pathol. 2009, 101, 119–123. [Google Scholar]
- Nakasu, E.; Firmino, A.; Dias, S.; Rocha, T.; Ramos, H.; Oliveira, G.; Lucena, W.; Carlini, C.; Grossi-de-Sa, M. Analysis of Cry8Ka5 binding proteins from Anthonomus grandis (Coleoptera: Curculionidae) midgut. J. Invertabr. Pathol. 2010, 104, 227–230. [Google Scholar] [CrossRef]
- Hofte, H.; Whiteley, H. Insecticidal crystal proteins of Bacillus thuringiensis. Microbiol. Rev. 1989, 53, 242–255. [Google Scholar]
- Coux, F.; Vachon, V. Role of interdomain salt bridges in the pore-forming ability of the Bacillus thuringiensis toxins Cry1Aa and Cry1Ac. J. Biol. Chem. 2001, 276, 35546–35551. [Google Scholar] [CrossRef]
- Nunez-Valdez, M.; Sanchez, J.; Lina, L.; Guereca, L.; Bravo, A. Structural and functional studies of α-helix 5 region from Bacillus thuringiensis Cry1Ab δ-endotoxin. Biochim. Biophys. Acta 2001, 1546, 122–131. [Google Scholar] [CrossRef]
- Vachon, V.; Orefontaine, G. Role of helix 3 in pore formation by the Bacillus thuringiensis insecticidal toxin Cry1Aa. Biochemistry 2002, 41, 6178–6184. [Google Scholar] [CrossRef]
- Kanintronkul, Y.; Sramala, I.; Katzenmeier, G.; Panyim, S.; Angsuthanasombat, C. Specific mutations witihn the alpha4-alpha5 loop of Bacillus thuringiensis Cry4B toxin reveal a crucial role for Asn-166 and Tyr-170. Mol. Biotechnol. 2003, 24, 11–20. [Google Scholar]
- Hank, S.K.; Quinn, A.M.; Hunter, T. The Protein Kinase Family: Conserved Features and Deduced Phylogeny of the Catalytic Domains. Science 1988, 241, 42–52. [Google Scholar]
- Pardo-Lopez, L.; Soberon, M.; Bravo, A. Bacillus thuringiensis insecticidal three-domain Cry toxins: Mode of action, insect resistance and consequences for crop protection. FEMS Microbiol. Rev. 2012, 37, 3–22. [Google Scholar] [CrossRef]
- Vachon, V.; Laprade, R.; Schwartz, J. Current models of the mode of action of Bacillus thuringiensis insecticidal crystal proteins: A critical review. J. Invertabr. Pathol. 2012, 111, 1–12. [Google Scholar] [CrossRef]
- Waksman, G.; Kominos, D.; Robertson, S.C.; Pant, N.; Baltimore, D.; Birge, R.B.; Cowburn, D.; Hanafusa, H.; Mayer, B.J.; Overduin, M.; et al. Crystal structure of the phosphotyrosine recognition domain SH2 of v-src complexed with tyrosine-phosphorylated peptides. Nature 1992, 358, 646–653. [Google Scholar] [CrossRef]
- Schulze-Gahmen, U.; de Bondt, H.L.; Kim, S.H. High-resolution crystal structures of human cyclin-dependent kinase 2 with and without ATP: Bound waters and natural ligand as guides for inhibitor design. J. Med. Chem. 1996, 39, 4540–4546. [Google Scholar] [CrossRef]
- Lv, Y.; Tang, Y.; Zhang, Y.; Xia, L.; Wang, F.; Ding, X. The role of b20-b21 loop structure in insecticidal activity of Cry1Ac toxin from Bacillus thuringiensis. Curr. Microbiol. 2011, 62, 665–670. [Google Scholar] [CrossRef]
- Liu, Y.; Wang, Q.; Wang, F.; Ding, X.; Xia, L. Residue 544 in domain III of the Bacillus thuringiensis Cry1Ac toxin is involved in protein structure stability. Protein J. 2010, 29, 440–445. [Google Scholar] [CrossRef]
- Foundation, I.R. GM Crop Database. Available online: http://cera-gmc.org/index.php?action=gm_crop_database (accessed on 5 May 2014).
- Bacher, J.; Reiss, B.; Ellington, A. Anticipatory evolution nd DNA shuffling. Genome Biol. 2002, 3, 1021:1–1021:4. [Google Scholar]
© 2014 by the authors; licensee MDPI, Basel, Switzerland. This article is an open access article distributed under the terms and conditions of the Creative Commons Attribution license (http://creativecommons.org/licenses/by/3.0/).
Share and Cite
Lucena, W.A.; Pelegrini, P.B.; Martins-de-Sa, D.; Fonseca, F.C.A.; Gomes, J.E., Jr.; De Macedo, L.L.P.; Da Silva, M.C.M.; Oliveira, R.S.; Grossi-de-Sa, M.F. Molecular Approaches to Improve the Insecticidal Activity of Bacillus thuringiensis Cry Toxins. Toxins 2014, 6, 2393-2423. https://doi.org/10.3390/toxins6082393
Lucena WA, Pelegrini PB, Martins-de-Sa D, Fonseca FCA, Gomes JE Jr., De Macedo LLP, Da Silva MCM, Oliveira RS, Grossi-de-Sa MF. Molecular Approaches to Improve the Insecticidal Activity of Bacillus thuringiensis Cry Toxins. Toxins. 2014; 6(8):2393-2423. https://doi.org/10.3390/toxins6082393
Chicago/Turabian StyleLucena, Wagner A., Patrícia B. Pelegrini, Diogo Martins-de-Sa, Fernando C. A. Fonseca, Jose E. Gomes, Jr., Leonardo L. P. De Macedo, Maria Cristina M. Da Silva, Raquel S. Oliveira, and Maria F. Grossi-de-Sa. 2014. "Molecular Approaches to Improve the Insecticidal Activity of Bacillus thuringiensis Cry Toxins" Toxins 6, no. 8: 2393-2423. https://doi.org/10.3390/toxins6082393
APA StyleLucena, W. A., Pelegrini, P. B., Martins-de-Sa, D., Fonseca, F. C. A., Gomes, J. E., Jr., De Macedo, L. L. P., Da Silva, M. C. M., Oliveira, R. S., & Grossi-de-Sa, M. F. (2014). Molecular Approaches to Improve the Insecticidal Activity of Bacillus thuringiensis Cry Toxins. Toxins, 6(8), 2393-2423. https://doi.org/10.3390/toxins6082393

