Abstract
The mouse bioassay (MBA) for diarrhetic shellfish poisoning (DSP) toxins has been widely used in many countries of the world. In the Japanese and EU methods, male mice are designated to be used for MBA. Female mice were described to be less susceptible than male mice. To the best of our knowledge, however, there have been no reports on the details of sex differences in susceptibility to DSP toxins. In this study, we investigated whether, and to what extent, female mice are less sensitive to DSP toxins. A lethal dose of okadaic acid (OA), one of the representative DSP toxins, was injected intraperitoneally into mice. The mice were observed until 24 hours after injection. Both male and female mice of ICR and ddY strains, which are designated in the Japanese official method, were compared. All the mice were four weeks old and weighed 18–20 g. The experiments were repeated twice. The lethality was 70%–100%. Survival analysis showed no sex differences in susceptibility to OA, but ICR female mice showed significant resistance compared with other groups in one out of two trials. These results indicate that sex differences were not clear but, nonetheless, male mice showed more stable results.
1. Introduction
Diarrhetic shellfish poisoning (DSP) is a toxic syndrome, resulting from the consumption of shellfish contaminated with algal toxins produced by marine dinoflagellates [1]. The most common symptoms of the illness are diarrhea, nausea, and vomiting. DSP has been recognized as a worldwide problem in public health since the first report of its occurrence in Japan by Yasumoto et al. [2].
The mouse bioassay (MBA) was first determined as the official method for DSP toxin detection in Japan in 1981 [3]. Since then, the MBA for DSP toxins, also known as Yasumoto’s method, has been widely used in many countries of the world [4], with some modifications, although the alternative chemical methods such as HPLC and LC-MS, and/or biochemical methods such as ELISA and phosphatase-inhibition assay for detecting DSP toxins have been developed recently [4]. In the Japanese official MBA method [3], the extract from the shellfish sample is injected intraperitoneally (i.p.) into three male ddY or ICR strain mice weighing 16–20 g. The sample is deemed positive (contaminated) if at least two of the three mice die within 24 hours of the injection. The EU-harmonized standard operating procedure for determination of lipophilic toxins by mouse bioassay [5] states “Use male albino mice Swiss strain (CD1 is recommended) weighing between 17 g and 22 g.” As mentioned above, only male mice are used for the bioassay in both protocols in Japan and EU. Yasumoto, who established the basis of the MBA for DSP toxins, clearly noted that female mice were less sensitive compared to male mice and should not be used for the assay, but no details or references were given in the paper [3]. On the other hand, reported lethal dose 50 (LD50) values by i.p. injection of okadaic acid (OA), one of the representative components of DSP toxins, were almost comparable between male and female mice (male 4 μg/~20 g mouse [6], female 192~204 μg/kg [7]).
In this study, we aimed to examine whether, and to what extent, female mice are less susceptible to DSP toxins compared with male mice.
2. Results and Discussion
2.1. Lethality after OA Inoculation
2.2. Survival Analysis of the Mice after OA Inoculation
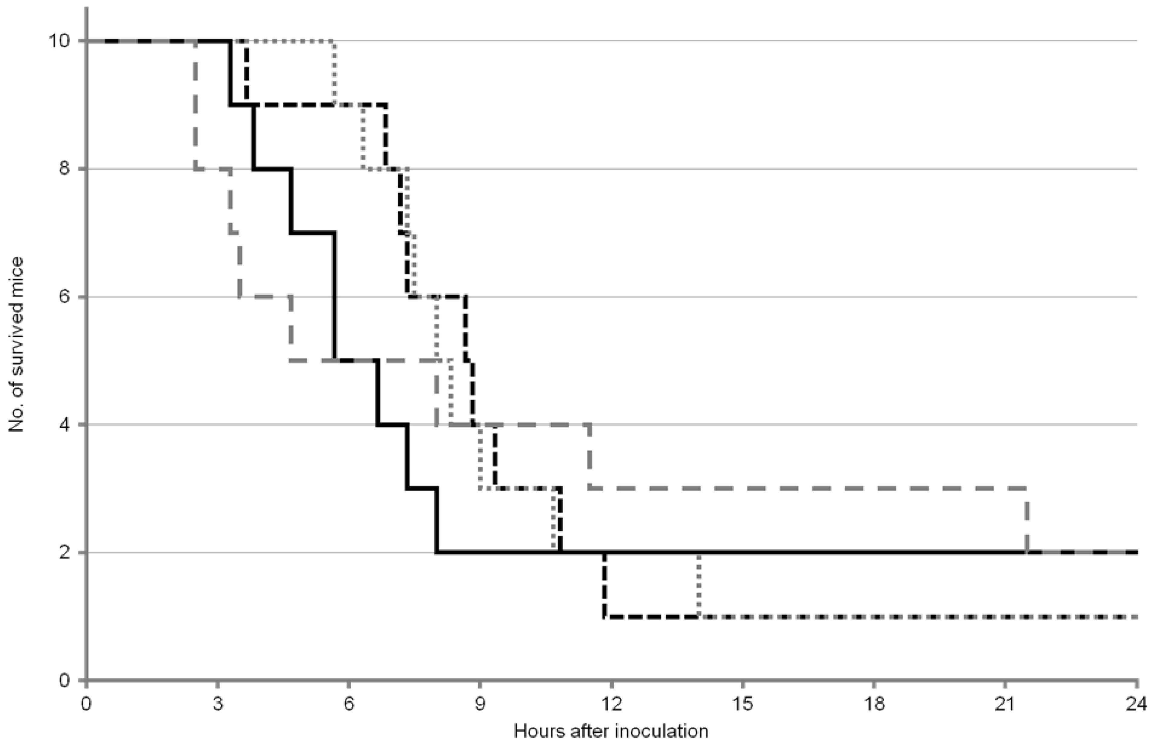
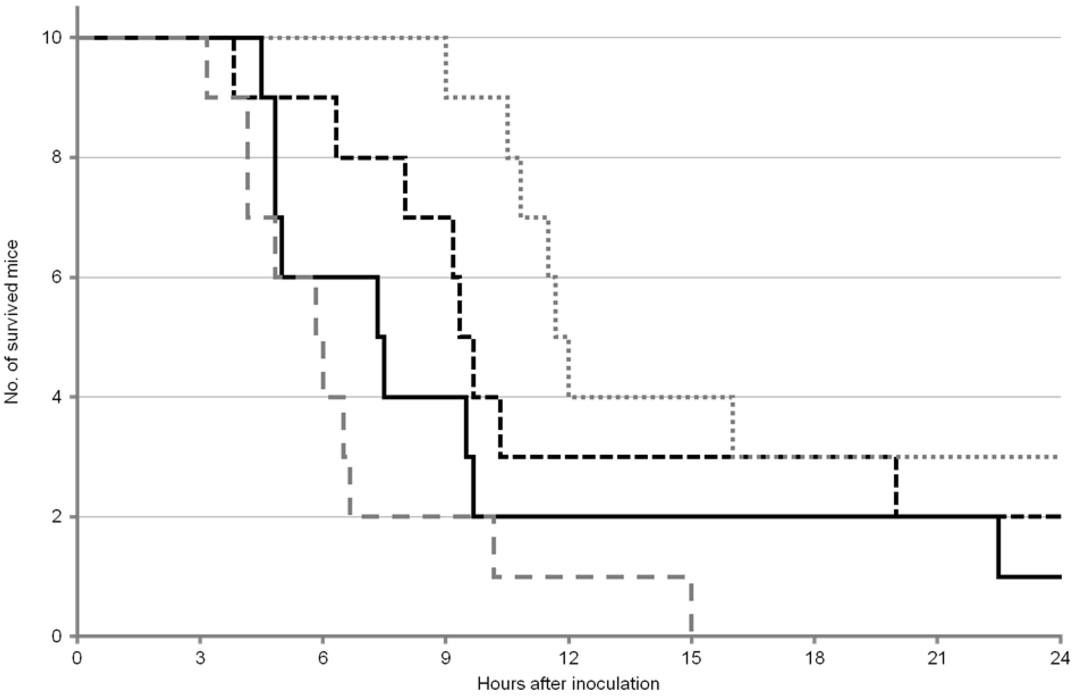
The survival curves of the mice after OA inoculation are shown in Figure 1 and Figure 2. For survival analysis, both log-rank test and Gehan–Wilcoxon test were used. It is generally considered that the log-rank test is more standard, and the Gehan–Wilcoxon test gives more weight to deaths at earlier time points. In the first experiment, no statistically significant differences were found among any groups of mice (Table 3), although the median survival time was slightly longer in ICR male and female mice compared with ddY male and female mice (Table 1). On the other hand, in the second experiment, statistically significant difference was found between ICR female mice and ddY female mice (Table 4), but not among other groups. The median survival time of ICR female mice was twice as long as that of ddY female mice (Table 4).
2.3. Comparison of the Results of the First and Second Experiments
The results of each sex and strain of mice were statistically compared between the first and second experiments. Significant differences were found only between the first and second experiments of ICR female mice (Table 5).
Table 1.
The lethality and median survival time after okadaic acid (OA) inoculation in the first experiment.
| Strain | lethality | survived | dead | median survival time (h) |
|---|---|---|---|---|
| ICR male | 90% | 1 | 9 | 8.75 |
| ICR female | 90% | 1 | 9 | 8.17 |
| ddY male | 80% | 2 | 8 | 6.17 |
| ddY female | 80% | 2 | 8 | 6.33 |
Fisher's exact test: p = 1.000 (not significant).
Table 2.
The lethality and median survival time after OA inoculation in the second experiment.
| Strain | lethality | survived | dead | median survival time (h) |
|---|---|---|---|---|
| ICR male | 80% | 2 | 8 | 9.50 |
| ICR female | 70% | 3 | 7 | 11.83 |
| ddY male | 90% | 1 | 9 | 7.42 |
| ddY female | 100% | 0 | 10 | 5.92 |
Fisher's exact test: p = 0.463 (not significant).
Table 3.
The survival analysis of the mice after OA inoculation in the first experiment.
| Strain | Strain | Log-Rank test | Gehan-Wilcoxon test | |
|---|---|---|---|---|
| among all strains | NS | NS | ||
| ICR male | vs | ICR female | NS | NS |
| ddY male | vs | ddY female | NS | NS |
| ICR male | vs | ddY male | NS | NS |
| ICR female | vs | ddY female | NS | NS |
NS: not significant.
Table 4.
The survival analysis of the mice after OA inoculation in the second experiment.
| Strain | Strain | Log-Rank test | Gehan-Wilcoxon test | |
|---|---|---|---|---|
| among all strains | *** | *** | ||
| ICR male | vs | ICR female | NS | NS |
| ddY male | vs | ddY female | NS | NS |
| ICR male | vs | ddY male | NS | NS |
| ICR female | vs | ddY female | *** | *** |
***: p < 0.001, NS: not significant.
Table 5.
The survival analysis of each strain of mice after OA inoculation between the first and second experiments.
| Strain | Log-Rank test | Gehan-Wilcoxon test |
|---|---|---|
| ICR male | NS | NS |
| ddY male | NS | NS |
| ICR female | * | ** |
| ddY female | NS | NS |
*: p < 0.05, **: p < 0.01, NS: not significant
Figure 1.
Survival curves of mice after OA inoculation in the first experiment. ICR male:
; ICR female:
; ddY male:
; ddY female:
.
; ICR female:
; ddY male:
; ddY female:
.
Figure 1.
Survival curves of mice after OA inoculation in the first experiment. ICR male:
; ICR female:
; ddY male:
; ddY female:
.
; ICR female:
; ddY male:
; ddY female:
.
Figure 2.
Survival curves of mice after OA inoculation in the second experiment. ICR male:
; ICR female:
; ddY male:
; ddY female:
.
; ICR female:
; ddY male:
; ddY female:
.
Figure 2.
Survival curves of mice after OA inoculation in the second experiment. ICR male:
; ICR female:
; ddY male:
; ddY female:
.
; ICR female:
; ddY male:
; ddY female:
.
3. Experimental Section
3.1. Animals
Specific-pathogen-free, 4 weeks old, male and female mice of strains ICR and ddY were purchased from Japan SLC Inc. (Shizuoka, Japan). These 2 strains are designated to be used in the Japanese official MBA method. The mice were adapted to our animal facility for 1 day and used at 18–20 g body weight. The room lighting was 12 hours light (09:00~21:00)–12 hours dark (21:00~09:00) cycle. The mice were housed in plastic cages with wood chip bedding and commercial pellets (CRF-1; Charles River Japan Inc., Kanagawa, Japan) and tap water were provided ad libitum. All animal experiments were conducted with the approval of the Animal Care and Use Committee of the National Institute of Health Sciences, Japan.
The ddY strain is a closed-colony outbred mouse strain and widely used in Japan, but not in other countries of the world. This strain was first established as the dd strain, probably German Swiss albino mice origin, at the Institute of Infectious Diseases of Tokyo University (Denken) in 1943. Then, dd mice were provided to, maintained and finally subdivided as ddY mice at the National Institute of Health (Yoken) in 1953. The strain name, ddY, stands for the capital letters of Deutschland (Germany), Denken, and Yoken [8].
3.2. Chemicals
OA was purchased from LC Laboratories (Woburn, MA, U.S.A.). OA inocula were prepared as described previously [9]. Briefly, OA was first dissolved in acetone and then mixed with soybean oil. Soybean oil was used as a non-toxic vehicle for the lipophilic toxin. Acetone was removed by evaporation and the residue was suspended in 1% Tween 60 saline and sonicated. The final inocula contained 10% soybean oil. An inoculum prepared in one tube and mixed well was used in each experiment.
3.3. Experiment Design
A lethal dose of OA (4 μg/mL/mouse) [6,10] was injected i.p. into each mouse. Each group consisted of 10 mice. The mice were observed every 10 minutes until 12 hours after injection, and then every 30 minutes until 24 hours after injection. During the dark period, red lights were used for observation. No negative (vehicle) control (injected only 1% Tween 60 saline contained 10% soybean oil) was examined in this experiment, but no deaths of the negative control group were observed in our other experiments. The experiments were repeated twice. The experiment design basically followed the official MBA method for DSP toxins of Japan (and the EU). Humane endpoints were not applied in these experiments, because humane endpoints are not provided in the official methods.
3.4. Statistics
The lethality was statistically compared among the groups using Fisher’s exact test. Survival analysis was conducted using log-rank test and Wilcoxon–Gehan test. All statistical analyses were performed using the statistical package R version 2.13.0 [11].
4. Conclusions
In our two trials, sex differences were not found in susceptibility to OA. Significant differences were found only among the female mice groups, that is, between ICR female mice and ddY female mice in the second experiment, and between ICR female mice in the first and second experiments. Especially, ICR female mice in the second experiment showed significant resistance to OA compared with other groups.
The results of this study indicate that it might not be true that female mice are less sensitive than male mice and both male and female mice could be used for MBA of DSP, as AOAC MBA for paralytic shellfish poisoning (AOAC Official Method 959.08) [12]. However, it may be reasonable to use only male mice for obtaining more stable and reliable results in the MBA for DSP.
Acknowledgments
This study was supported by Health and Labour Sciences Research Grants, Research on Food Safety from the Ministry of Health, Labour and Welfare of Japan.
Conflict of Interest
The author declares that there are no conflicts of interest.
References
- Yasumoto, T.; Murata, M.; Oshima, Y.; Matsumoto, G.K. Diarrhetic shellfish poisoning. In Seafood Toxins; Ragelis, E.P., Ed.; American Chemical Society: Washington, D.C., USA, 1984; pp. 207–214. [Google Scholar]
- Yasumoto, T.; Oshima, Y.; Yamaguchi, M. Occurrence of a new type of shellfish poisoning in the Tohoku district. Bul. Jpn. Soc. Sci. Fish. 1978, 44, 1249–1255. [Google Scholar] [CrossRef]
- Yasumoto, T. Method for the bioassay of diarrhetic shellfish toxin (in Japanese). Food Sanit. Res. 1981, 31, 515–522. [Google Scholar]
- Food and Agriculture Organization of the United Nations (FAO). Diarrhoeic Shellfish Poisoning (DSP). Marine Biotoxins; Food and Agriculture Organization of the United Nations: Rome, Italy, 2004; pp. 53–95, chapter 3. Available online: http://www.fao.org/docrep/007/y5486e/y5486e00.htm (accessed on 24 June 2011).
- EU-Harmonised Standard Operating Procedure for Determination of Lipophilic Toxins by Mouse Bioassay, version 5; Community Reference Laboratory for Marine Biotoxins (CRLMB): Vigo, Spain, 2009. Available online: http://www.aesan.msps.es/CRLMB/docs/docs/metodos_analiticos_de_desarrollo/EU-Harmonised-SOP-MBA-Lipophilic-Version5-June2009.pdf (accessed on 24 June 2011).
- James, K.J.; Bishop, A.G.; Carmody, E.P.; Kelly, S.S. Detection Methods for Okadaic Acid and Analogues. In Seafood and Freshwater Toxins; Botana, L.M., Ed.; CRC Press: Boca Raton, FL, USA, 2000; pp. 217–238, chapter 11. [Google Scholar]
- Tubaro, A.; Sosa, S.; Bornancin, A.; Hungerford, J. Pharmacology and Toxicology of Diarrheic Shellfish Toxins. In Seafood and Freshwater Toxins, 2nd; Botana, L.M., Ed.; CRC Press: Boca Raton, FL, USA, 2008; pp. 229–253, chapter 11. [Google Scholar]
- Tanaka, S.; Matsuzawa, A. The history of the “deutsche maus”, the origin of the dd mouse group (in Japanese). Jikken Dobutsu 1990, 39, 141–153. [Google Scholar]
- Suzuki, H. Susceptibility of different mice strains to okadaic acid, a diarrhetic shellfish poisoning toxin. Food Addit. Contam. Part A 2012, 29, 1307–1310. [Google Scholar] [CrossRef]
- Fernández, M.L.; Richard, D.J.A.; Cembella, A.D. In vivo assays for phycotoxins. In Manual in Harmful Marine Microalgae; Hallegraeff, G.M., Anderson, D.M., Cembella, A.D., Eds.; UNESCO Publishing: Paris, France, 2004; pp. 347–380. [Google Scholar]
- R Development Core Team. R Foundation for Statistical Computing. Vienna, Austria. R: A language and environment for statistical computing. 2011. Available online: http://www.R-project.org/ (accessed on 24 June 2011).
- AOAC Official Method 959.08, Paralytic Shellfish Poison, Biological Method, First Action 1959, Final Action; Chapter 49. In Official Methods of Analysis of AOAC INTERNATIONAL, 18th; AOAC INTERNATIONAL (Ed.) AOAC INTERNATIONAL: Gaithersburg, MD, USA, 2005; pp. 79–81.
© 2013 by the authors; licensee MDPI, Basel, Switzerland. This article is an open-access article distributed under the terms and conditions of the Creative Commons Attribution license (http://creativecommons.org/licenses/by/3.0/).