Optimization of Ibuprofen Route and Dosage to Enhance Protein-Bound Uremic Toxin Clearance During Hemodialysis
Abstract
1. Introduction
2. Results
2.1. Baseline Characteristics
2.2. Pain Characteristics
2.3. Dialysis Parameters
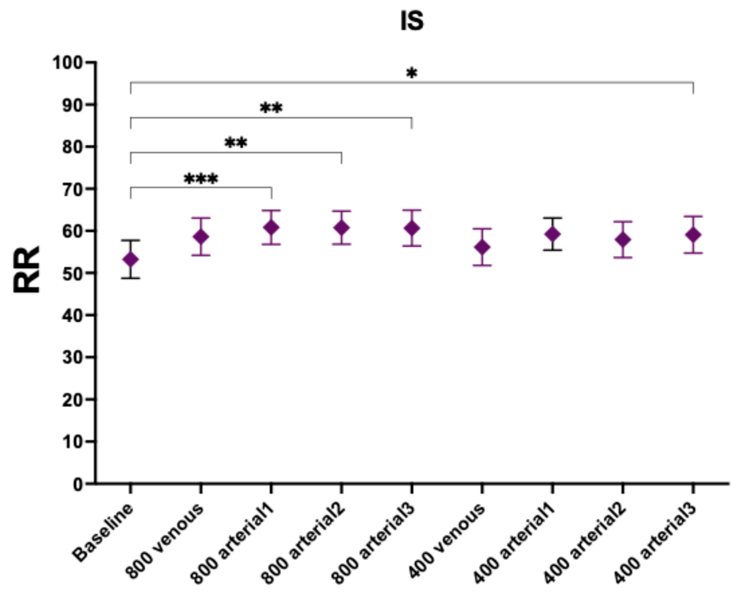
2.4. Protein-Bound Uremic Toxins Removal
2.4.1. Every Intervention
2.4.2. Time Effect
2.4.3. Dose Effect
3. Discussion
4. Materials and Methods
4.1. Inclusion and Exclusion Criteria for the Sample
4.2. Data Collection and Procedure
4.3. Research Instrument
4.4. Ethical Considerations
4.5. Statistical Analysis
Author Contributions
Funding
Institutional Review Board Statement
Informed Consent Statement
Data Availability Statement
Acknowledgments
Conflicts of Interest
References
- Sánchez-Ospina, D.; Mas-Fontao, S.; Gracia-Iguacel, C.; Avello, A.; de Rivera, M.G.; Mujika-Marticorena, M.; Gonzalez-Parra, E. Displacing the Burden: A Review of Protein-Bound Uremic Toxin Clearance Strategies in Chronic Kidney Disease. J. Clin. Med. 2024, 13, 1428. [Google Scholar] [CrossRef]
- Daneshamouz, S.; Eduok, U.; Abdelrasoul, A.; Shoker, A. Protein-bound uremic toxins (PBUTs) in chronic kidney disease (CKD) patients: Production pathway, challenges and recent advances in renal PBUTs clearance. NanoImpact 2021, 21, 100299. [Google Scholar] [CrossRef]
- Rosner, M.H.; Reis, T.; Husain-Syed, F.; Vanholder, R.; Hutchison, C.; Stenvinkel, P.; Blankestijn, P.J.; Cozzolino, M.; Juillard, L.; Kashani, K.; et al. Classification of Uremic Toxins and Their Role in Kidney Failure. Clin. J. Am. Soc. Nephrol. 2021, 16, 1918–1928. [Google Scholar] [CrossRef]
- Vanholder, R.; Pletinck, A.; Schepers, E.; Glorieux, G. Biochemical and clinical impact of organic uremic retention solutes: A comprehensive update. Toxins 2018, 10, E33. [Google Scholar] [CrossRef]
- Escudero-Saiz, V.J.; Cuadrado-Payán, E.; Rodriguez-Garcia, M.; Casals, G.; Rodas, L.M.; Fontseré, N.; Broseta, J.J.; Maduell, F. Factores que influyen en la depuración de toxinas urémicas unidas a proteínas en hemodiafiltración. Nefrología 2025, 45, 501391. [Google Scholar] [CrossRef]
- Watanabe, H.; Noguchi, T.; Miyamoto, Y.; Kadowaki, D.; Kotani, S.; Nakajima, M.; Miyamura, S.; Ishima, Y.; Otagiri, M.; Maruyama, T. Interaction between Two Sulfate-Conjugated Uremic Toxins, p-Cresyl Sulfate and Indoxyl Sulfate, during Binding with Human Serum Albumin. Drug Metab. Dispos. 2012, 40, 1423–1428. [Google Scholar] [CrossRef]
- Shi, Y.; Tian, H.; Wang, Y.; Shen, Y.; Zhu, Q.; Ding, F. Effect of ionic strength, pH and chemical displacers on the percentage protein binding of protein-bound uremic toxins. Blood Purif. 2019, 47, 351–360. [Google Scholar] [CrossRef]
- Wu, I.W.; Hsu, K.H.; Hsu, H.J.; Lee, C.C.; Sun, C.Y.; Tsai, C.J.; Wu, M.S. Serum free p-cresyl sulfate levels predict cardiovascular and all-cause mortality in elderly hemodialysis patients-A prospective cohort study. Nephrol. Dial. Transplant. 2012, 27, 1169–1175. [Google Scholar] [CrossRef] [PubMed]
- Bammens, B.; Evenepoel, P.; Keuleers, H.; Verbeke, K.; Vanrenterghem, Y. Free serum concentrations of the protein-bound retention solute p-cresol predict mortality in hemodialysis patients. Kidney Int. 2006, 69, 1081–1087. [Google Scholar] [CrossRef] [PubMed]
- Meijers, B.K.I.; Bammens, B.; De Moor, B.; Verbeke, K.; Vanrenterghem, Y.; Evenepoel, P. Free p-cresol is associated with cardiovascular disease in hemodialysis patients. Kidney Int. 2008, 73, 1174–1180. [Google Scholar] [CrossRef] [PubMed]
- Rodrigues, F.S.C.; Faria, M. Adsorption- and Displacement-Based Approaches for the Removal of Protein-Bound Uremic Toxins. Toxins 2023, 15, 110. [Google Scholar] [CrossRef]
- Maheshwari, V.; Tao, X.; Thijssen, S.; Kotanko, P. Removal of protein-bound uremic toxins using binding competitors in hemodialysis: A narrative review. Toxins 2021, 13, 622. [Google Scholar] [CrossRef]
- Rodrigues, F.S.C.; Brilhante, D.; Macêdo, A.; Pires, R.F.; Faria, M. Ibuprofen-Immobilized Thin Films: A Novel Approach to Improve the Clearance of Protein-Bound Uremic Toxins. ACS Appl. Mater. Interfaces 2024, 16, 6589–6604. [Google Scholar] [CrossRef]
- Madero, M.; Cano, K.B.; Campos, I.; Tao, X.; Maheshwari, V.; Brown, J.; Cornejo, B.; Handelman, G.; Thijssen, S.; Kotanko, P. Removal of protein-bound uremic toxins during hemodialysis using a binding competitor. Clin. J. Am. Soc. Nephrol. 2019, 14, 394–402. [Google Scholar] [CrossRef] [PubMed]
- Escudero-Saiz, V.J.; Cuadrado-Payán, E.; Rodriguez-Garcia, M.; Casals, G.; Rodas, L.M.; Fontseré, N.; Salgado, M.d.C.; Bastida, C.; Rico, N.; Broseta, J.J.; et al. The Choice of Anti-Inflammatory Influences the Elimination of Protein-Bound Uremic Toxins. Toxins 2024, 16, 545. [Google Scholar] [CrossRef] [PubMed]
- Sánchez-Ospina, D.; Cote, M.R.; Bellido, L.C.; Calero, M.I.S.; Prieto, B.H.; Cuesta, S.D.; Herrera-Gómez, F.; Mujika-Marticorena, M.; Gonzalez-Parra, E.; Ortiz, M.J.I.; et al. Loop diuretics in anuric hemodialysis patients for the clearance of protein-bound uremic toxins. Clin. Kidney J. 2025, 18, sfaf195. [Google Scholar] [CrossRef]
- Da Cunha, R.S.; Santos, A.F.; Barreto, F.C.; Stinghen, A.E.M. How do uremic toxins affect the endothelium? Toxins 2020, 12, 412. [Google Scholar] [CrossRef]
- Liabeuf, S.; Barreto, D.V.; Barreto, F.C.; Meert, N.; Glorieux, G.; Schepers, E.; Temmar, M.; Choukroun, G.; Vanholder, R.; Massy, Z.A.; et al. Free p-cresylsulphate is a predictor of mortality in patients at different stages of chronic kidney disease. Nephrol. Dial. Transplant. 2010, 25, 1183–1191. [Google Scholar] [CrossRef]
- Barreto, F.C.; Barreto, D.V.; Liabeuf, S.; Meert, N.; Glorieux, G.; Temmar, M.; Choukroun, G.; Vanholder, R.; Massy, Z.A.; European Uremic Toxin Work Group (EUTox). Serum indoxyl sulfate is associated with vascular disease and mortality in chronic kidney disease patients. Clin. J. Am. Soc. Nephrol. 2009, 4, 1551–1558. [Google Scholar] [CrossRef] [PubMed]
- El Chamieh, C.; Larabi, I.A.; De Pinho, N.A.; Lambert, O.; Combe, C.; Fouque, D.; Frimat, L.; Jacquelinet, C.; Laville, M.; Laville, S.; et al. Study of the association between serum levels of kynurenine and cardiovascular outcomes and overall mortality in chronic kidney disease. Clin. Kidney J. 2024, 17, sfad248. [Google Scholar] [CrossRef]
- Cornelis, T.; Eloot, S.; Vanholder, R.; Glorieux, G.; van der Sande, F.M.; Scheijen, J.L.; Leunissen, K.M.; Kooman, J.P.; Schalkwijk, C.G. Protein-bound uraemic toxins, dicarbonyl stress and advanced glycation end products in conventional and extended haemodialysis and haemodiafiltration. Nephrol. Dial. Transplant. 2015, 30, 1395–1402. [Google Scholar] [CrossRef]
- Lesaffer, G.; De Smet, R.; Lameire, N.; Dhondt, A.; Duym, P.; Vanholder, R. Intradialytic removal of protein-bound uraemic toxins: Role of solute characteristics and of dialyser membrane. Nephrol. Dial. Transplant. 2000, 15, 50–57. [Google Scholar] [CrossRef] [PubMed]
- Kim, Y.G.; Lee, S.H.; Jung, S.W.; Jung, G.T.; Lim, H.J.; Kim, K.P.; Jo, Y.-I.; Jin, K.; Moon, J.Y. The Medium Cut-Off Membrane Does Not Lower Protein-Bound Uremic Toxins. Toxins 2022, 14, 779. [Google Scholar] [CrossRef]
- Eloot, S.; Dhondt, A.; Van Landschoot, M.; Waterloos, M.A.; Vanholder, R. Removal of water-soluble and protein-bound solutes with reversed mid-dilution versus post-dilution haemodiafiltration. Nephrol. Dial. Transplant. 2012, 27, 3278–3283. [Google Scholar] [CrossRef]
- Esquivias-Motta, E.; Martín-Malo, A.; Buendia, P.; A Álvarez-Lara, M.; Soriano, S.; Crespo, R.; Carracedo, J.; Ramírez, R.; Aljama, P. Hemodiafiltration with Endogenous Reinfusion Improved Microinflammation and Endothelial Damage Compared with Online-Hemodiafiltration: A Hypothesis Generating Study. Artif. Organs 2017, 41, 88–98. [Google Scholar] [CrossRef]
- Sirich, T.L.; Luo, F.J.G.; Plummer, N.S.; Hostetter, T.H.; Meyer, T.W. Selectively increasing the clearance of protein-bound uremic solutes. Nephrol. Dial. Transplant. 2012, 27, 1574–1579. [Google Scholar] [CrossRef]
- Maheshwari, V.; Thijssen, S.; Tao, X.; Fuertinger, D.H.; Kappel, F.; Kotanko, P. In silico comparison of protein-bound uremic toxin removal by hemodialysis, hemodiafiltration, membrane adsorption, and binding competition. Sci. Rep. 2019, 9, 909. [Google Scholar] [CrossRef] [PubMed]
- Tao, X.; Thijssen, S.; Kotanko, P.; Ho, C.-H.; Henrie, M.; Stroup, E.; Handelman, G. Improved dialytic removal of protein-bound uraemic toxins with use of albumin binding competitors: An in vitro human whole blood study. Sci. Rep. 2016, 6, 2–10. [Google Scholar] [CrossRef]
- Li, J.; Wang, Y.; Xu, X.; Cao, W.; Shen, Z.; Wang, N.; Leng, J.; Zou, N.; Shang, E.; Zhu, Z.; et al. Improved dialysis removal of protein-bound uremic toxins by salvianolic acids. Phytomedicine 2019, 57, 166–173. [Google Scholar] [CrossRef]
- Shi, Y.; Zhang, Y.; Tian, H.; Wang, Y.; Shen, Y.; Zhu, Q.; Ding, F. Improved dialytic removal of protein-bound uremic toxins by intravenous lipid emulsion in chronic kidney disease rats. Nephrol. Dial. Transplant. 2019, 34, 1842–1852. [Google Scholar] [CrossRef] [PubMed]
- Antal, E.J.; Wright, C.E., III; Brown, B.L.; Albert, K.S.; Aman, L.C.; Levin, N.W. The Influence of Hemodialysis on the Pharmacokinetics of Ibuprofen and Its Major Metabolites. J. Clin. Pharmacol. 1986, 26, 184–190. [Google Scholar] [CrossRef] [PubMed]
- Lin, C.J.; Wu, V.; Wu, P.C.; Wu, C.J. Meta-analysis of the associations of p-cresyl sulfate (PCS) and indoxyl sulfate (IS) with cardiovascular events and all-cause mortality in patients with chronic renal failure. PLoS ONE 2015, 10, e0132589. [Google Scholar] [CrossRef] [PubMed]
- Bergström, J.; Wehle, B. No change in corrected β2-microglobulin concentration after cuprophane haemodialysis. Lancet 1987, 329, 628–629. [Google Scholar] [CrossRef]
- Rodríguez-García, M.; Martínez, I.; Aliart, I.; de Medrano, J.I.S.; Rico, N.; Escudero-Saiz, V.J.; Maduell, F.; Morales-Ruiz, M.; Casals, G. Validation of an LC–HRMS Method for Quantifying Indoxyl Sulfate and p-Cresyl Sulfate in Human Serum. Molecules 2025, 30, 782. [Google Scholar] [CrossRef] [PubMed]



| Posology | Pre-Dialysis | Post-Dialysis | p-Value |
|---|---|---|---|
| Baseline | 1.1 ± 2.0 | 0.5 ± 1.2 | 0.102 |
| 800 mg—venous | 3.1 ± 2.3 | 0.7 ± 1.0 | <0.001 |
| 800 mg—arterial 1 | 4.1 ± 3.1 | 1.2 ± 1.9 | <0.001 |
| 800 mg—arterial 2 | 3.4 ± 2.7 | 1.1 ± 1.6 | <0.001 |
| 800 mg—arterial 3 | 3.5 ± 2.6 | 0.7 ± 1.2 | <0.001 |
| 400 mg—venous | 3.0 ± 2.9 | 0.5 ± 1.3 | <0.001 |
| 400 mg—arterial 1 | 3.2 ± 2.6 | 1 ± 1.9 | <0.001 |
| 400 mg—arterial 2 | 3.9 ± 3.0 | 0.9 ± 1.5 | <0.001 |
| 400 mg—arterial 3 | 3.8 ± 2.4 | 0.9 ± 1.4 | <0.001 |
| Baseline | 400 mg Venous | 400 mg Arterial 1 | 400 mg Arterial 2 | 400 mg Arterial 3 | 800 mg Venous | 800 mg Arterial 1 | 800 mg Arterial 2 | 800 mg Arterial 3 | |
|---|---|---|---|---|---|---|---|---|---|
| Total blood (L) | 116.9 ± 12.1 | 117.4 ± 13.8 | 118.2 ± 12.5 | 118.3 ± 13.2 | 115.1 ± 14.7 | 118.3 ± 13.3 | 116.1 ± 13.1 | 117.5 ± 12.2 | 120.2 ± 12.4 |
| Substitution volume (L) | 30.3 ± 7.3 | 29.7 ± 4.5 | 29.9 ± 5.5 | 30.9 ± 6.2 | 28.3 ± 5.3 | 30.7 ± 5.7 | 30.2 ± 5.9 | 29.9 ± 5.5 | 30.0 ± 6.3 |
| Initial weight (Kg) | 66.2 ± 11.8 | 66.4 ± 11.5 | 66.2 ± 11.7 | 66.7 ± 11.7 | 66.4 ± 11.8 | 67.6 ± 12.1 | 66.3 ± 11.3 | 66.3 ± 11.4 | 66.2 ± 11.6 |
| Final weight (Kg) | 64.6 ± 11.6 | 64.3 ± 11.7 | 64.4 ± 11.7 | 64.5 ± 11.8 | 64.3 ± 11.8 | 65.6 ± 12.3 | 64.6 ± 11.3 | 64.4 ± 11.6 | 64.4 ± 11.9 |
| Weight gain (Kg) | 1.6 ± 0.9 | 2.1 ± 0.8 | 1.7 ± 0.5 | 2.2 ± 0.9 | 2.1 ± 0.8 | 2.0 ± 0.7 | 1.7 ± 0.7 | 1.9 ± 0.7 | 1.8 ± 0.8 |
| Real time (min) | 288.5 ± 11.8 | 286.1 ± 13.8 | 285.8 ± 14.4 | 286.0 ± 13.5 | 285.9 ± 13.0 | 288.0 ± 10.3 | 286.7 ± 13.2 | 286.9 ± 13.2 | 287.2 ± 11.9 |
| Haematocrit pre (%) | 30.3 ± 5.0 | 29.5 ± 4.4 | 30.1 ± 4.7 | 28.8 ± 5.0 | 29.7 ± 4.7 | 30.1 ± 6.0 | 29.1 ± 5.2 | 30.8 ± 5.6 | 30.5 ± 5.2 |
| Haematocrit post (%) | 34.3 ± 5.4 | 33.8 ± 5.7 | 34.2 ± 5.5 | 33.3 ± 6.3 | 34.8 ± 5.4 | 34.6 ± 6.0 | 32.8 ± 5.6 | 35.0 ± 6.7 | 34.9 ± 6.5 |
| KT (L) | 69.2 ± 8.7 | 68.8 ± 8.3 | 69.0 ± 7.9 | 70.2 ± 9.8 | 67.5 ± 8.4 | 69.6 ± 7.3 | 68.8 ± 6.6 | 68.7 ± 7.7 | 68.2 ± 7.6 |
| Recirculation (%) | 15.4 ± 4.6 | 13.9 ± 3.1 | 14.6 ± 3.6 | 14.5 ± 4.2 | 15.1 ± 6.3 | 14.6 ± 5.6 | 14.8 ± 3.3 | 15.5 ± 5.3 | 15.7 ± 4.8 |
| Arterial Pressure (mmHg) | −233 ± 35 | −222 ± 23 | −222 ± 29 | −226 ± 26 | −221 ± 35 | −226 ± 29 | −229 ± 40 | −226 ± 38 | −224 ± 31 |
| Venous Pressure (mmHg) | 187 ± 36 | 182 ± 31 | 182 ± 39 | 182 ± 28 | 185 ± 48 | 182 ± 27 | 183 ± 37 | 191 ± 25 | 183 ± 33 |
| TMP (mmHg) | 150 ± 38 | 159 ± 37 | 150 ± 32 | 167 ± 43 | 152 ± 42 | 153 ± 52 | 165 ± 45 | 152 ± 48 | 156 ± 46 |
| Posology | IS | pCS | ||||
|---|---|---|---|---|---|---|
| Pre-Dialysis | Post-Dialysis | RR (%) | Pre-Dialysis | Post-Dialysis | RR (%) | |
| Baseline | 25,908 ± 16,120 | 11,748 ± 6970 | 53.7 ± 9.9 | 35,529 ± 13,656 | 19,610 ± 8479 | 47.1 ± 10.9 |
| 800 mg venous | 25,697 ± 13,286 | 10,169 ± 4819 | 58.6 ± 9.7 | 36,418 ± 15,181 | 15,847 ± 6628 | 55.4 ± 11.6 |
| 800 mg arterial 1 | 25,634 ± 15,258 | 9522 ± 5195 | 60.8 ± 8.6 | 39,222 ± 17,488 | 16,518 ± 7419 | 57.7 ± 11.0 |
| 800 mg arterial 2 | 25,204 ± 14,676 | 9577 ± 5375 | 60.8 ± 8.6 | 34,320 ± 13,135 | 14,632 ± 7140 | 57.8 ± 9.7 |
| 800 mg arterial 3 | 25,582 ± 13,411 | 9432 ± 4451 | 60.7 ± 9.3 | 36,419 ± 15,175 | 15,076 ± 6577 | 57.7 ± 10.7 |
| 400 mg venous | 23,962 ± 11,949 | 10,068 ± 4506 | 56.3 ± 9.7 | 34,762 ± 17,715 | 16,812 ± 9576 | 52.3 ± 10.0 |
| 400 mg arterial 1 | 23,633 ± 13,605 | 9269 ± 5077 | 59.2 ± 8.4 | 35,283 ± 12,269 | 15,782 ± 6103 | 54.3 ± 10.4 |
| 400 mg arterial 2 | 23,358 ± 11,311 | 9195 ± 3663 | 57.9 ± 9.4 | 34,488 ± 13,305 | 15,534 ± 6745 | 54.3 ± 9.1 |
| 400 mg arterial 3 | 25,210 ± 12,813 | 9995 ± 5010 | 59.1 ± 9.6 | 36,877 ± 12,685 | 16,297 ± 6440 | 55.4 ± 10.5 |
| Comparison | IS | pCS | ||||
|---|---|---|---|---|---|---|
| Mean Difference | CI of Difference | Adjusted p-Value | Mean Difference | CI of Difference | Adjusted p-Value | |
| Baseline vs. 800 venous | −5.367 | −10.79 to 0.05391 | 0.0530 | −9.338 | −14.91 to −3.770 | 0.0006 |
| Baseline vs. 800 arterial1 | −7.571 | −12.25 to −2.889 | 0.0009 | −11.65 | −16.92 to −6.389 | <0.0001 |
| Baseline vs. 800 arterial2 | −7.510 | −12.44 to −2.575 | 0.0018 | −11.79 | −16.15 to −7.423 | <0.0001 |
| Baseline vs. 800 arterial3 | −7.395 | −12.86 to −1.930 | 0.0053 | −11.69 | −17.35 to −6.032 | <0.0001 |
| Baseline vs. 400 venous | −2.876 | −8.329 to 2.577 | 0.5366 | −6.271 | −11.55 to −0.9955 | 0.0155 |
| Baseline vs. 400 arterial1 | −5.990 | −12.40 to 0.4143 | 0.0732 | −8.386 | −15.06 to −1.716 | 0.0100 |
| Baseline vs. 400 arterial2 | −4.667 | −10.04 to 0.7074 | 0.1072 | −8.271 | −12.74 to −3.805 | 0.0002 |
| Baseline vs. 400 arterial3 | −5.824 | −11.25 to −0.3998 | 0.0319 | −9.367 | −14.81 to −3.919 | 0.0005 |
| Comparison | IS | pCS | ||||
|---|---|---|---|---|---|---|
| Mean of Differences | 95% CI | p Value | Mean of Differences | 95% CI | p Value | |
| 800 venous vs. 400 venous | −2.490 | −5.323 to 0.3419 | 0.0408 | −3.067 | −5.871 to −0.2622 | 0.0168 |
| 800 arterial 1 vs. 400 arterial 1 | −1.581 | −4.640 to 1.478 | 0.1469 | −3.267 | −7.746 to 1.213 | 0.0719 |
| 800 arterial 2 vs. 400 arterial 2 | −2.843 | −5.489 to −0.1965 | 0.0183 | −3.514 | −6.571 to −0.4576 | 0.0132 |
| 800 arterial 3 vs. 400 arterial 3 | −1.571 | −3.897 to 0.7539 | 0.0870 | −2.324 | −5.061 to 0.4135 | 0.0459 |
Disclaimer/Publisher’s Note: The statements, opinions and data contained in all publications are solely those of the individual author(s) and contributor(s) and not of MDPI and/or the editor(s). MDPI and/or the editor(s) disclaim responsibility for any injury to people or property resulting from any ideas, methods, instructions or products referred to in the content. |
© 2026 by the authors. Licensee MDPI, Basel, Switzerland. This article is an open access article distributed under the terms and conditions of the Creative Commons Attribution (CC BY) license.
Share and Cite
Escudero-Saiz, V.J.; Cuadrado-Payán, E.; Rodríguez-García, M.; Casals, G.; Rodas, L.M.; Fontseré, N.; Salgado, M.d.C.; Bastida, C.; Rico, N.; Broseta, J.J.; et al. Optimization of Ibuprofen Route and Dosage to Enhance Protein-Bound Uremic Toxin Clearance During Hemodialysis. Toxins 2026, 18, 37. https://doi.org/10.3390/toxins18010037
Escudero-Saiz VJ, Cuadrado-Payán E, Rodríguez-García M, Casals G, Rodas LM, Fontseré N, Salgado MdC, Bastida C, Rico N, Broseta JJ, et al. Optimization of Ibuprofen Route and Dosage to Enhance Protein-Bound Uremic Toxin Clearance During Hemodialysis. Toxins. 2026; 18(1):37. https://doi.org/10.3390/toxins18010037
Chicago/Turabian StyleEscudero-Saiz, Víctor Joaquín, Elena Cuadrado-Payán, María Rodríguez-García, Gregori Casals, Lida María Rodas, Néstor Fontseré, María del Carmen Salgado, Carla Bastida, Nayra Rico, José Jesús Broseta, and et al. 2026. "Optimization of Ibuprofen Route and Dosage to Enhance Protein-Bound Uremic Toxin Clearance During Hemodialysis" Toxins 18, no. 1: 37. https://doi.org/10.3390/toxins18010037
APA StyleEscudero-Saiz, V. J., Cuadrado-Payán, E., Rodríguez-García, M., Casals, G., Rodas, L. M., Fontseré, N., Salgado, M. d. C., Bastida, C., Rico, N., Broseta, J. J., & Maduell, F. (2026). Optimization of Ibuprofen Route and Dosage to Enhance Protein-Bound Uremic Toxin Clearance During Hemodialysis. Toxins, 18(1), 37. https://doi.org/10.3390/toxins18010037

