Trace Aflatoxins Extraction in Pistachio, Maize and Rice Based on β-Cyclodextrin-Doped Cu-Carboxylated Graphene Oxide Nanocomposite
Abstract
1. Introduction
2. Results and Discussion
2.1. Surface Morphology and Characterization
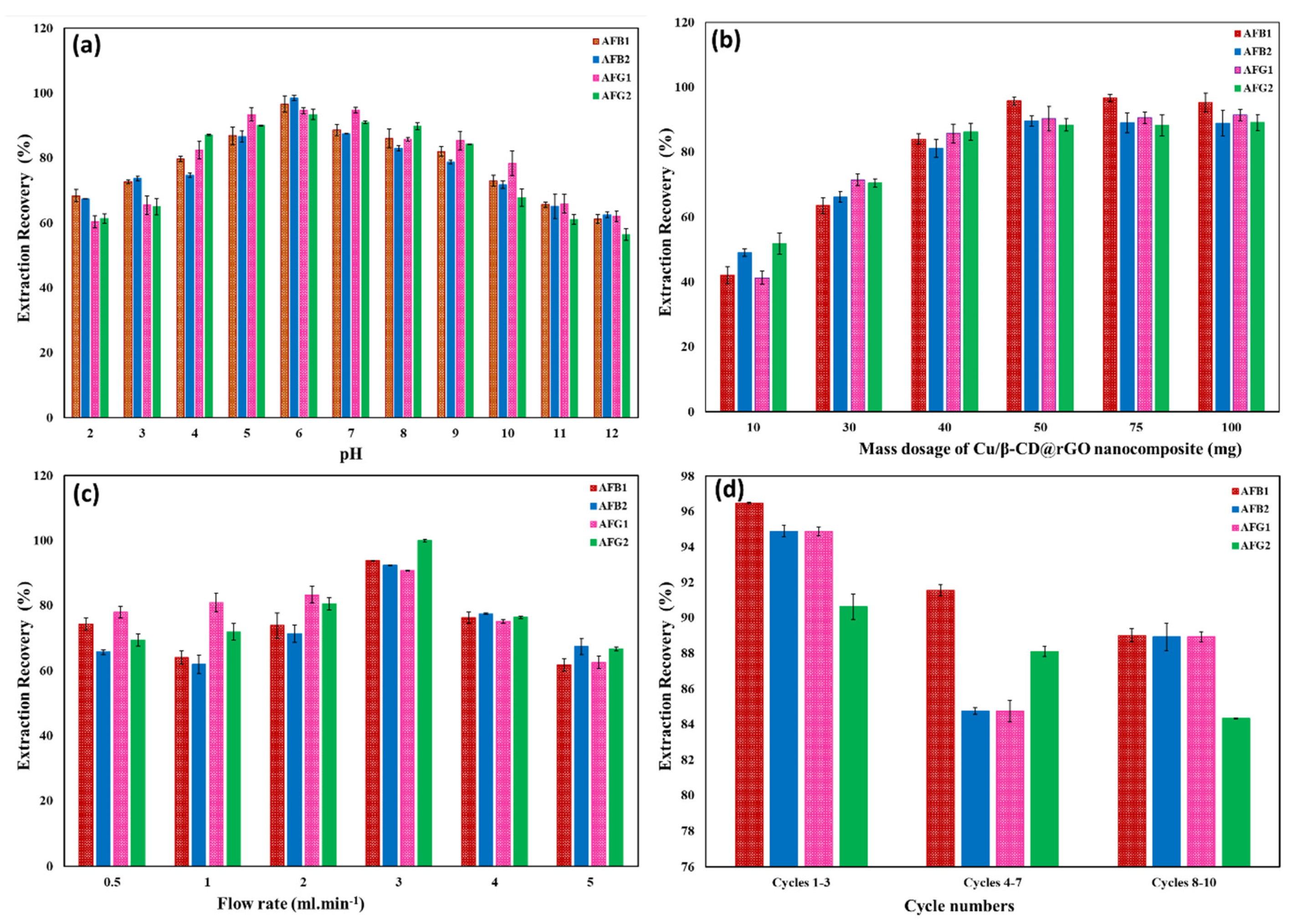
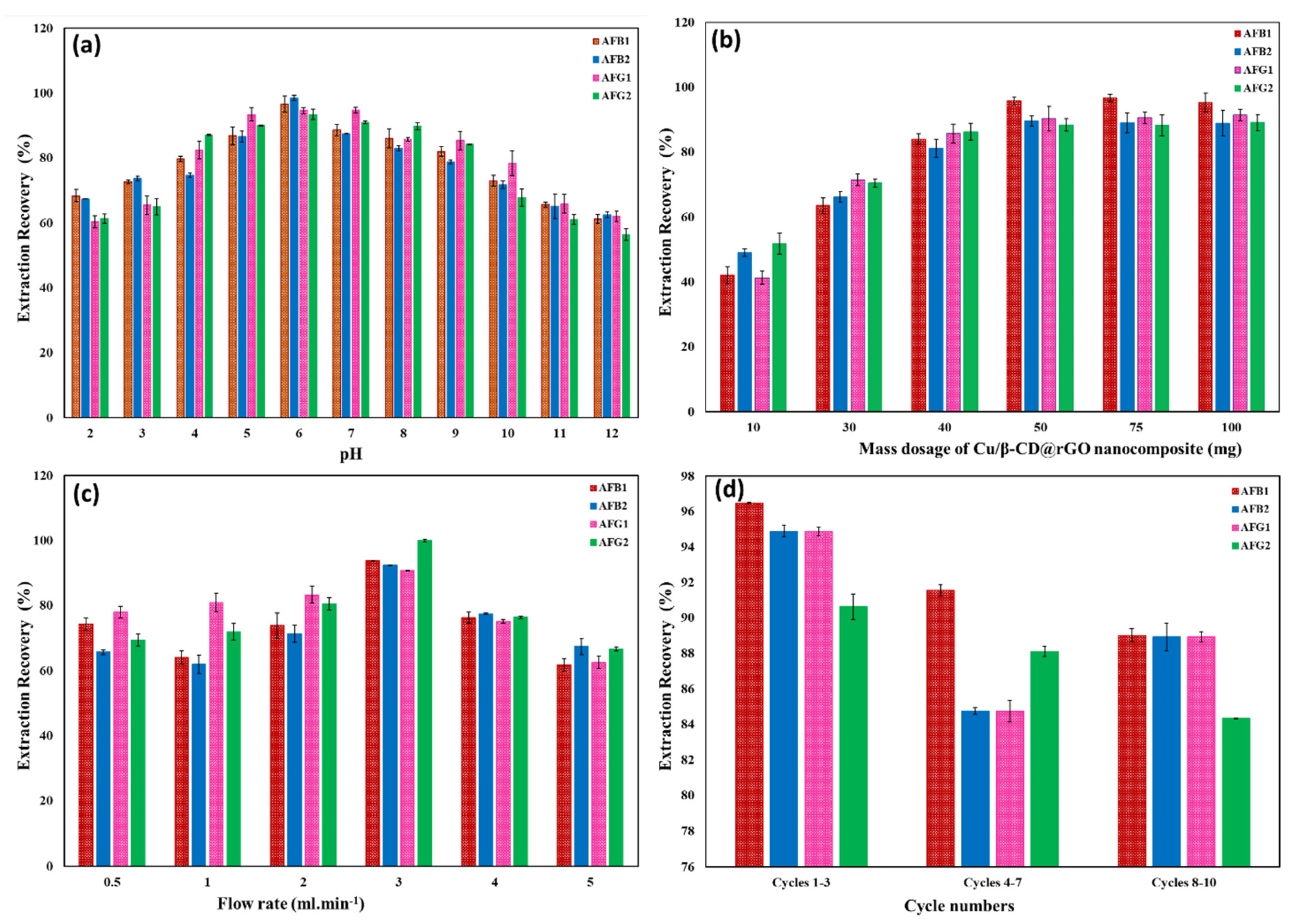
2.2. Analytical Parameter Optimization
2.2.1. Desorption Solvent Impact
2.2.2. pH Impact
2.2.3. Cu/β-CD@CGO Nanocomposite Mass Dosage Impact
2.2.4. Loading Flow Rate Impact
2.3. Cu/β-CD@CGO Reusability
2.4. Cu/β-CD@CGO Selectivity
2.5. Analytical Applications
2.6. AF Adsorption Mechanism
2.7. Comparison of Other Reported SPE-Based Techniques with the Cu/β-CD@CGO Approach
3. Conclusions
4. Experimental Section
4.1. Materials and Reagents
4.2. Instruments
4.2.1. HPLC-FLD
4.2.2. Characterization Techniques
4.3. Chromatographic Conditions
4.4. Cu/β-CD@CGO Nanocomposite Synthesis
4.5. Treatment of Real Samples
Supplementary Materials
Author Contributions
Funding
Data Availability Statement
Acknowledgments
Conflicts of Interest
References
- Szelenberger, R.; Cichoń, N.; Zajaczkowski, W.; Bijak, M. Application of biosensors for the detection of mycotoxins for the improvement of food safety. Toxins 2024, 16, 249. [Google Scholar] [CrossRef]
- Eskola, M.; Kos, G.; Elliott, C.T.; Hajšlová, J.; Mayar, S.; Krska, R. Worldwide contamination of food-crops with mycotoxins: Validity of the widely cited ‘FAO estimate’ of 25%. Crit. Rev. Food Sci. Nutr. 2019, 60, 2773–2789. [Google Scholar] [CrossRef] [PubMed]
- Ramalho, L.N.; Porta, L.D.; Rosim, R.E.; Petta, T.; Augusto, M.J.; Silva, D.M.; Ramalho, F.S.; Oliveira, C.A. Aflatoxin B1 residues in human livers and their relationship with markers of hepatic carcinogenesis in São Paulo, Brazil. Toxicol. Rep. 2018, 5, 777–784. [Google Scholar] [CrossRef] [PubMed]
- Kew, M.C. Synergistic interaction between aflatoxin B1 and hepatitis B virus in hepatocarcinogenesis. Liver Int. 2003, 23, 405–409. [Google Scholar] [CrossRef] [PubMed]
- Gemede, H.F. Toxicity, mitigation, and Chemical analysis of aflatoxins and other toxic metabolites produced by Aspergillus: A Comprehensive review. Toxins 2025, 17, 331. [Google Scholar] [CrossRef]
- Li, W.; Chen, Z.; Li, X.; Li, X.; Hui, Y.; Chen, W. The biosynthesis, structure diversity and bioactivity of sterigmatocystins and aflatoxins: A review. J. Fungi 2024, 10, 396. [Google Scholar] [CrossRef]
- Khani, N.; Noorkhajavi, G.; Soleiman, R.A.; Raziabad, R.H.; Rad, A.H.; Akhlaghi, A.P. Aflatoxin biodetoxification strategies based on postbiotics. Probiotics Antimicrob. Proteins 2024, 16, 1673–1686. [Google Scholar] [CrossRef]
- Patel, A. Aflatoxin Removal and Biotransformation Aptitude of Food Grade Bacteria from Milk and Milk Products-At a Glance. Toxicon 2024, 249, 108084. [Google Scholar] [CrossRef]
- Lake, B.G. Coumarin Metabolism, toxicity and Carcinogenicity: Relevance for Human risk assessment. Food Chem. Toxicol. 1999, 37, 423–453. [Google Scholar] [CrossRef]
- Wang, C.; Li, J.; Wang, Q.; Wu, Q.; Shi, X. Fluorine-functionalized covalent organic framework as efficient solid phase extraction sorbent for adsorption of aflatoxins in nuts. J. Hazard. Mater. 2023, 464, 133017. [Google Scholar] [CrossRef]
- Jia, M.; Yu, L.; Li, X.; Li, Y.; He, X.; Chen, L.; Zhang, Y. An aptamer-functionalized photonic crystal sensor for ultrasensitive and label-free detection of aflatoxin B1. Talanta 2023, 260, 124638. [Google Scholar] [CrossRef]
- Del Carmen Pérez-Álvarez, M.; Arroyo-Manzanares, N.; Campillo, N.; Viñas, P. Magnetic Molecularly Imprinted Polymers for Selective Extraction of Aflatoxins from Feeds. Toxins 2024, 16, 120. [Google Scholar] [CrossRef]
- National Pharmacopoeia Commission. Chinese Pharmacopoeia; China Medical Science and Technology Press: Beijing, China, 2020. [Google Scholar]
- Wei, G.; Guo, X.; Liang, Y.; Liu, C.; Zhang, G.; Liang, C.; Huang, Z.; Zheng, Y.; Chen, S.; Dong, L. Occurrence of fungi and mycotoxins in herbal medicines and rapid detection of toxin-producing fungi. Environ. Pollut. 2023, 333, 122082. [Google Scholar] [CrossRef]
- Wang, N.; Duan, C.; Li, S.; Geng, X.; Ding, K.; Guan, Y. Aqueous extraction followed by dispersive solid phase extraction with in situ derivatization for the determination of aflatoxins in traditional Chinese medicines. J. Chromatogr. A 2020, 1618, 460894. [Google Scholar] [CrossRef] [PubMed]
- Wang, X.; Cui, J.; Sun, L.; Zhang, Z.; Zheng, H. Review: Sample Pretreatment and Detection Strategies for aflatoxins in Foods. Food Anal. Methods 2024, 17, 534–550. [Google Scholar] [CrossRef]
- Palmieri, S.; Elfadil, D.; Fanti, F.; Della Pelle, F.; Sergi, M.; Amine, A.; Compagnone, D. Study on molecularly imprinted polymers obtained sonochemically for the determination of aflatoxins in food. Molecules 2023, 28, 703. [Google Scholar] [CrossRef] [PubMed]
- Tang, Z.; Liu, F.; Fang, F.; Ding, X.; Han, Q.; Tan, Y.; Peng, C. Solid-phase extraction techniques based on nanomaterials for mycotoxin analysis: An overview for food and agricultural products. J. Sep. Sci. 2022, 45, 2273–2300. [Google Scholar] [CrossRef]
- Geim, A.K.; Novoselov, K.S. The rise of graphene. Nat. Mater. 2007, 6, 183–191. [Google Scholar] [CrossRef]
- Farjadian, F.; Abbaspour, S.; Sadatlu, M.a.A.; Mirkiani, S.; Ghasemi, A.; Hoseini-Ghahfarokhi, M.; Mozaffari, N.; Karimi, M.; Hamblin, M.R. Recent Developments in Graphene and graphene Oxide: Properties, Synthesis, and Modifications: A review. ChemistrySelect 2020, 5, 10200–10219. [Google Scholar] [CrossRef]
- Smith, A.T.; LaChance, A.M.; Zeng, S.; Liu, B.; Sun, L. Synthesis, properties, and applications of graphene oxide/reduced graphene oxide and their nanocomposites. Nano Mater. Sci. 2019, 1, 31–47. [Google Scholar] [CrossRef]
- Fan, L.; Luo, C.; Sun, M.; Qiu, H. Synthesis of graphene oxide decorated with magnetic cyclodextrin for fast chromium removal. J. Mater. Chem. 2012, 22, 24577. [Google Scholar] [CrossRef]
- Nouri, N.; Sereshti, H.; Farahani, A. Graphene-coated magnetic-sheet solid-phase extraction followed by high-performance liquid chromatography with fluorescence detection for the determination of aflatoxins B1, B2, G1, and G2 in soy-based samples. J. Sep. Sci. 2018, 41, 3258–3266. [Google Scholar] [CrossRef] [PubMed]
- Pooresmaeil, M.; Namazi, H. β-Cyclodextrin grafted magnetic graphene oxide applicable as cancer drug delivery agent: Synthesis and characterization. Mater. Chem. Phys. 2018, 218, 62–69. [Google Scholar] [CrossRef]
- Yu, L.; Ma, F.; Ding, X.; Wang, H.; Li, P. Silica/graphene oxide nanocomposites: Potential adsorbents for solid phase extraction of trace aflatoxins in cereal crops coupled with high performance liquid chromatography. Food Chem. 2017, 245, 1018–1024. [Google Scholar] [CrossRef] [PubMed]
- Zhang, B.; Zheng, X.; Li, H.; Lin, J. Application of carbon-based nanomaterials in sample preparation: A review. Anal. Chim. Acta 2013, 784, 1–17. [Google Scholar] [CrossRef]
- Yakout, A.A.; Alshitari, W.; Akhdhar, A. Synergistic effect of Cu-nanoparticles and β-cyclodextrin functionalized reduced graphene oxide nanocomposite on the adsorptive remediation of tetracycline antibiotics. Carbohydr. Polym. 2021, 273, 118528. [Google Scholar] [CrossRef]
- Tezerji, N.S.; Foroughi, M.M.; Bezenjani, R.R.; Jandaghi, N.; Rezaeipour, E.; Rezvani, F. A facile one-pot green synthesis of β-cyclodextrin decorated porous graphene nanohybrid as a highly efficient adsorbent for extracting aflatoxins from maize and animal feeds. Food Chem. 2019, 311, 125747. [Google Scholar] [CrossRef]
- Wang, H.; Liu, Y.; Zeng, G.; Hu, X.; Hu, X.; Li, T.; Li, H.; Wang, Y.; Jiang, L. Grafting of β-cyclodextrin to magnetic graphene oxide via ethylenediamine and application for Cr(VI) removal. Carbohydr. Polym. 2014, 113, 166–173. [Google Scholar] [CrossRef]
- Guo, M.; Hou, Q.; Waterhouse, G.I.; Hou, J.; Ai, S.; Li, X. A simple aptamer-based fluorescent aflatoxin B1 sensor using humic acid as quencher. Talanta 2019, 205, 120131. [Google Scholar] [CrossRef]
- Alilou, S.; Amirzehni, M.; Eslami, P.A. A simple fluorometric method for rapid screening of aflatoxins after their extraction by magnetic MOF-808/graphene oxide composite and their discrimination by HPLC. Talanta 2021, 235, 122709. [Google Scholar] [CrossRef]
- Dey, R.S.; Hajra, S.; Sahu, R.K.; Raj, C.R.; Panigrahi, M.K. A rapid room temperature chemical route for the synthesis of graphene: Metal-mediated reduction of graphene oxide. Chem. Commun. 2012, 48, 1787. [Google Scholar] [CrossRef] [PubMed]
- Wang, J.; Chen, Z.; Chen, B. Adsorption of polycyclic aromatic hydrocarbons by graphene and graphene oxide nanosheets. Environ. Sci. Technol. 2014, 48, 4817–4825. [Google Scholar] [CrossRef] [PubMed]
- Stobinski, L.; Lesiak, B.; Malolepszy, A.; Mazurkiewicz, M.; Mierzwa, B.; Zemek, J.; Jiricek, P.; Bieloshapka, I. Graphene oxide and reduced graphene oxide studied by the XRD, TEM and electron spectroscopy methods. J. Electron Spectrosc. Relat. Phenom. 2014, 195, 145–154. [Google Scholar] [CrossRef]
- Dong, X.; Wang, K.; Zhao, C.; Qian, X.; Chen, S.; Li, Z.; Liu, H.; Dou, S. Direct synthesis of RGO/Cu2O composite films on Cu foil for supercapacitors. J. Alloys Compd. 2013, 586, 745–753. [Google Scholar] [CrossRef]
- Fedushchak, T.A.; Petrenko, T.V.; Vosmerikov, A.V.; Velichkina, L.M. Inorganic reagents for testing the properties of copper nanopowders. J. Anal. Chem. 2009, 64, 566–570. [Google Scholar] [CrossRef]
- Al-Harthy, E.; Shaker, M.A.; Yakout, A.A. Synergetic enhancement of copper and manganese dioxide nanoparticles with the biobased chitosan-crosslinked-graphene nanocomposite for potential adsorptive remediation of tetracycline antibiotics from food samples. Mater. Today Commun. 2025, 47, 112930. [Google Scholar] [CrossRef]
- Cai, J.; Liu, W.; Li, Z. One-pot self-assembly of Cu2O/RGO composite aerogel for aqueous photocatalysis. Appl. Surf. Sci. 2015, 358, 146–151. [Google Scholar] [CrossRef]
- Borthakur, P.; Boruah, P.K.; Darabdhara, G.; Sengupta, P.; Das, M.R.; Boronin, A.I.; Kibis, L.S.; Kozlova, M.N.; Fedorov, V.E. Microwave assisted with synthesis of CuS-reduced graphene oxide nanocomposite with efficient photocatalytic activity towards azo dye degradation. J. Environ. Chem. Eng. 2016, 4, 4600–4611. [Google Scholar] [CrossRef]
- Yasin, G.; Arif, M.; Shakeel, M.; Dun, Y.; Zuo, Y.; Khan, W.Q.; Tang, Y.; Khan, A.; Nadeem, M. Exploring the Nickel–Graphene Nanocomposite Coatings for Superior Corrosion Resistance: Manipulating the Effect of Deposition Current Density on its Morphology, Mechanical Properties, and Erosion-Corrosion Performance. Adv. Eng. Mater. 2018, 20, 1701166. [Google Scholar] [CrossRef]
- De Souza Freire, L.; Gandarilla, A.M.D.; Barcelay, Y.R.; Ruzo, C.M.; Salgado, B.B.; Tavares, A.P.M.; Nobre, F.X.; De Souza Neto, J.N.; Astolfi-Filho, S.; Țălu, Ș.; et al. Carboxylated Graphene: An innovative approach to enhanced IGA-SARS-CoV-2 electrochemical biosensing. Biosensors 2025, 15, 34. [Google Scholar] [CrossRef]
- Khan, A.; Sapakal, S.N.; Kadam, A. Comparative analysis of graphene oxide (GO) reduction methods: Impact on crystallographic, morphological, and optical properties. Graphene 2D Mater. 2024, 9, 101–109. [Google Scholar] [CrossRef]
- Johra, F.T.; Lee, J.; Jung, W. Facile and safe graphene preparation on solution based platform. J. Ind. Eng. Chem. 2013, 20, 2883–2887. [Google Scholar] [CrossRef]
- Xie, G.; Forslund, M.; Pan, J. Direct electrochemical synthesis of Reduced Graphene Oxide (RGO)/Copper Composite films and their Electrical/Electroactive Properties. ACS Appl. Mater. Interfaces 2014, 6, 7444–7455. [Google Scholar] [CrossRef] [PubMed]
- Mai, Y.; Zhou, M.; Ling, H.; Chen, F.; Lian, W.; Jie, X. Surfactant-free electrodeposition of reduced graphene oxide/copper composite coatings with enhanced wear resistance. Appl. Surf. Sci. 2017, 433, 232–239. [Google Scholar] [CrossRef]
- Ma, F.; Cai, X.; Mao, J.; Yu, L.; Li, P. Adsorptive removal of aflatoxin B1 from vegetable oils via novel adsorbents derived from a metal-organic framework. J. Hazard. Mater. 2021, 412, 125170. [Google Scholar] [CrossRef]
- Dai, H.; Liang, S.; Shan, D.; Zhang, Q.; Li, J.; Xu, Q.; Wang, C. Efficient and simple simultaneous adsorption removal of multiple aflatoxins from various liquid foods. Food Chem. 2022, 380, 132176. [Google Scholar] [CrossRef]
- Wang, J.; Zhang, J.; Han, L.; Wang, J.; Zhu, L.; Zeng, H. Graphene-based materials for adsorptive removal of pollutants from water and underlying interaction mechanism. Adv. Colloid Interface Sci. 2021, 289, 102360. [Google Scholar] [CrossRef]
- Albishri, H.M.; Yakout, A.A. Efficient removal of Hg(II) from dental effluents by thio-functionalized biochar derived from cape gooseberry (Physalis peruviana L.) leaves. Mater. Chem. Phys. 2022, 295, 127125. [Google Scholar] [CrossRef]
- Gao, Y.; Li, Y.; Zhang, L.; Huang, H.; Hu, J.; Shah, S.M.; Su, X. Adsorption and removal of tetracycline antibiotics from aqueous solution by graphene oxide. J. Colloid Interface Sci. 2011, 368, 540–546. [Google Scholar] [CrossRef]
- Guo, Y.; Deng, L.; Li, J.; Guo, S.; Wang, E.; Dong, S. Hemin−Graphene Hybrid Nanosheets with Intrinsic Peroxidase-like Activity for Label-free Colorimetric Detection of Single-Nucleotide Polymorphism. ACS Nano 2011, 5, 1282–1290. [Google Scholar] [CrossRef]
- Shaker, M.A.; Alshitari, W.H.; Basha, M.T.; Aly, N.A.; Asim, M.; Albishri, H.M.; Bhawani, S.A.; Yakout, A.A. Synergetic impact of copper nanoparticles and polyaniline reinforced graphene oxide nanocomposite on the sequestration of tetracycline antibiotic from milk and wastewaters samples. Mater. Today Commun. 2023, 38, 107869. [Google Scholar] [CrossRef]
- Geng, J.; Jung, H. Porphyrin functionalized graphene sheets in aqueous suspensions: From the preparation of graphene sheets to highly conductive graphene films. J. Phys. Chem. C 2010, 114, 8227–8234. [Google Scholar] [CrossRef]
- Xu, Y.; Liu, Z.; Zhang, X.; Wang, Y.; Tian, J.; Huang, Y.; Ma, Y.; Zhang, X.; Chen, Y. A Graphene Hybrid Material Covalently Functionalized with Porphyrin: Synthesis and Optical Limiting Property. Adv. Mater. 2009, 21, 1275–1279. [Google Scholar] [CrossRef]
- Yakout, A.A.; El-Hady, D.A. A combination of β-cyclodextrin functionalized magnetic graphene oxide nanoparticles with β-cyclodextrin-based sensor for highly sensitive and selective voltammetric determination of tetracycline and doxycycline in milk samples. RSC Adv. 2016, 6, 41675–41686. [Google Scholar] [CrossRef]
- Yakout, A.A.; Basha, M.T.; Al-Raimi, D.S.; Aljadaani, A.H.; Zainy, F.M.A. Synergistic impact of Cu and MnO2 nanoparticles in Cu/MnO2/chitosan/graphene oxide hybrid nanocomposite for improved antibacterial activity and fast adsorption of environmentally relevant anionic and cationic dyes from industrial wastewater. Int. J. Biol. Macromol. 2025, 318, 144839. [Google Scholar] [CrossRef]
- Ji, J.; Xu, F.; Jiang, M.; Li, C.; Li, N. Activated carbon co-modified by chitosan and SDS for targeted removal of aflatoxins from fragrant peanut oil. Food Chem. 2024, 463, 141479. [Google Scholar] [CrossRef]
- Yakout, A.A.; Alshutairi, A.M.; Albishri, H.M.; Alshitari, W.H.; Basha, M.T. Cu-nanoparticles@ graphene nanocomposite: A robust and efficient nanocomposite for micro-solid phase extraction of trace aflatoxins in different foodstuffs. Food Chem. 2023, 440, 138239. [Google Scholar] [CrossRef]
- Skendi, A.; Irakli, M.N.; Papageorgiou, M.D. Optimized and validated high-performance liquid chromatography method for the determination of deoxynivalenol and aflatoxins in cereals. J. Sep. Sci. 2016, 39, 1425–1432. [Google Scholar] [CrossRef]
- Hashemi, M.; Taherimaslak, Z.; Rashidi, S. Application of magnetic solid phase extraction for separation and determination of aflatoxins B1 and B2 in cereal products by high performance liquid chromatography-fluorescence detection. J. Chromatogr. B 2014, 960, 200–208. [Google Scholar] [CrossRef]
- Liu, X.; Li, H.; Xu, Z.; Peng, J.; Zhu, S.; Zhang, H. Development of hyperbranched polymers with non-covalent interactions for extraction and determination of aflatoxins in cereal samples. Anal. Chim. Acta 2013, 797, 40–49. [Google Scholar] [CrossRef]
- Asghar, M.A.; Iqbal, J.; Ahmed, A.; Khan, M.A.; Shamsuddin, Z.A.; Jamil, K. Development and validation of a high-performance liquid chromatography method with post-column derivatization for the detection of aflatoxins in cereals and grains. Toxicol. Ind. Health 2014, 32, 1122–1134. [Google Scholar] [CrossRef]
- Chen, S.; Zhang, H. Development of a microwave-assisted-extraction-based method for the determination of aflatoxins B1, G1, B2, and G2 in grains and grain products. Anal. Bioanal. Chem. 2013, 405, 1623–1630. [Google Scholar] [CrossRef]
- Rahmani, A.; Jinap, S.; Khatib, A.; Tan, C.P. Simultaneous determination of aflatoxins, ochratoxin a, and zearalenone in cereals using a validated rp-hplc method and phred derivatization system. J. Liq. Chromatogr. Relat. Technol. 2013, 36, 600–617. [Google Scholar] [CrossRef]
- Barbera, G.; Capriotti, A.; Cavaliere, C.; Foglia, P.; Montone, C.; Chiozzi, R.; Laganà, A. A rapid magnetic solid phase extraction method followed by liquid Chromatography-Tandem mass spectrometry analysis for the determination of mycotoxins in cereals. Toxins 2017, 9, 147. [Google Scholar] [CrossRef] [PubMed]
- Karami-Osboo, R.; Mirabolfathi, M. A novel dispersive nanomagnetic particle Solid-Phase extraction method to determine aflatoxins in nut and cereal samples. Food Anal. Methods 2017, 10, 4086–4093. [Google Scholar] [CrossRef]
- Yu, L.; Ma, F.; Zhang, L.; Li, P. Determination of Aflatoxin B1 and B2 in Vegetable Oils Using Fe3O4/rGO Magnetic Solid Phase Extraction Coupled with High-Performance Liquid Chromatography Fluorescence with Post-Column Photochemical Derivatization. Toxins 2019, 11, 621. [Google Scholar] [CrossRef]
- Ran, C.; Chen, D.; Ma, H.; Jiang, Y. Graphene oxide adsorbent based dispersive solid phase extraction coupled with multi-pretreatment clean-up for analysis of trace aflatoxins in traditional proprietary Chinese medicines. J. Chromatogr. B 2017, 1044–1045, 120–126. [Google Scholar] [CrossRef]
- EN ISO 16050:2011; Foodstuffs—Determination of Aflatoxin B1, and the Total Content of Aflatoxins B1, B2, G1 and G2 in Cereals, Nuts and Derived Products—High-Performance Liquid Chromatographic Method (ISO 16050:2003). International Organization for Standardization: Geneva, Switzerland, 2011.
- Skovgaard, N. Report from the 7th meeting of CEN/TC 275/WG 6 “Food analysis, horizontal methods—Microbial contamination”, Vienna 13th June 2000. Int. J. Food Microbiol. 2001, 64, 231–232. [Google Scholar] [CrossRef]
- Yakout, A.A.; Albishri, H.M. Solvothermal synthesis of EDTA-functionalized magnetite-carboxylated graphene oxide nanocomposite as a potential magnetic solid phase extractor of p-phenylenediamine from environmental samples. J. Dispers. Sci. Technol. 2019, 40, 369–377. [Google Scholar] [CrossRef]
- He, M.; Lu, L.; Zhang, J.; Li, D. Facile preparation of L-ascorbic acid-stabilized copper-chitosan nanocomposites with high stability and antimicrobial properties. Sci. Bull. 2014, 60, 227–234. [Google Scholar] [CrossRef]










| Analyte | Rice | Maize | Pistachio | |||||||||
|---|---|---|---|---|---|---|---|---|---|---|---|---|
| Added (μg kg−1) | Found (μg kg−1) | %R a | RSD b (n = 3) | Added (μg kg−1) | Found (μg kg−1) | %R a | RSD b (n = 3) | Added (μg kg−1) | Found (μg kg−1) | %R a | RSD b (n = 3) | |
| AFG1 | 0 | ND c | 0 | ND | 0 | ND | - | - | ||||
| 0.25 | 0.23 | 93.5 | 2.13 | 0.25 | 0.23 | 96.8 | 2.06 | 0.25 | 0.24 | 97.5 | 2.05 | |
| 0.50 | 0.46 | 92.0 | 0.43 | 0.5 | 0.48 | 94.4 | 0.42 | 0.50 | 0.48 | 96.0 | 0.41 | |
| 2.0 | 1.90 | 95.0 | 1.57 | 2.0 | 1.92 | 96.1 | 1.56 | 2.00 | 1.92 | 96.0 | 1.56 | |
| 20.0 | 21.11 | 106 | 1.40 | 20.0 | 21.3 | 107 | 2.05 | 20.0 | 21.4 | 107 | 3.33 | |
| AFG2 | 0 | ND | 0 | ND | 0 | ND | ||||||
| 0.25 | 0.23 | 92.5 | 2.16 | 0.25 | 0.25 | 95.5 | 2.09 | 0.25 | 0.24 | 96.5 | 2.00 | |
| 0.50 | 0.46 | 92.8 | 1.21 | 0.5 | 0.47 | 101 | 3.96 | 0.50 | 0.48 | 108 | 4.31 | |
| 2.0 | 1.89 | 94.8 | 2.63 | 2.0 | 1.91 | 95.8 | 2.61 | 2.00 | 1.92 | 96.0 | 2.60 | |
| 20.0 | 19.9 | 99.5 | 2.01 | 20.0 | 20.3 | 102 | 1.97 | 20.0 | 21.4 | 103 | 1.93 | |
| AFB1 | 0 | ND | 0 | ND | 0 | ND | ||||||
| 0.25 | 0.24 | 104 | 4.08 | 0.25 | 0.25 | 104 | 4.08 | 0.25 | 0.25 | 108 | 4.08 | |
| 0.50 | 0.51 | 96.0 | 4.16 | 0.5 | 0.52 | 102 | 3.92 | 0.50 | 0.54 | 100 | 4.00 | |
| 2.0 | 2.05 | 102 | 0.97 | 2.0 | 2.08 | 104 | 0.96 | 2.00 | 2.07 | 104 | 0.96 | |
| 20.0 | 20.89 | 104 | 0.74 | 20.0 | 21.1 | 106 | 1.07 | 20.0 | 21.4 | 107 | 3.41 | |
| AFB2 | 0 | ND | 0 | ND | 0 | ND | ||||||
| 0.25 | 0.24 | 105 | 1.89 | 0.25 | 0.23 | 103 | 1.93 | 0.25 | 0.24 | 107 | 1.87 | |
| 0.50 | 0.52 | 97.0 | 4.12 | 0.50 | 0.51 | 95.0 | 4.21 | 0.50 | 0.53 | 99.0 | 4.04 | |
| 2.0 | 2.06 | 103 | 2.42 | 2.00 | 2.06 | 103 | 2.42 | 2.00 | 2.08 | 104 | 2.40 | |
| 20.0 | 21.24 | 106 | 1.41 | 20.0 | 21.0 | 105 | 1.42 | 20.0 | 21.5 | 108 | 1.39 | |
| Method | Sample Matrix | Adsorbent Type | LOD (µg kg−1) | Recovery (%) | RSD (%) | Adsorbent Amount (mg) | Reference |
|---|---|---|---|---|---|---|---|
| SPE/HPLC–DAD–FLD | Wheat, Barley, Rye, Maize, Oat, Rice | Oasis HLB cartridges | 0.03–0.09 | 90.1–112 | <7.20 & <11.9 | – | [46] |
| MSPE a/HPLC-FLD | Corn, Rice | AMT/TMSPT MNPs b | B1:0.014, 0.150 B2: 0.05, 0.05 | 90.3–97.0 | <4.65 & <4.97 | 150 | [47] |
| SPE/HPLC-FLD | Wheat, Rice, Oat, Barley | hyperbranched polymer | 0.01–0.12 | 82.7–103 | <10 | 50 | [59] |
| SPE/HPLC-FLD | Rice, Maize | LiChrolut C18 cartridge | 0.02–0.03 | 89.2–97.8 | <1.64 & <2.79 | 200 | [60] |
| SPE/HPLC-FLD | Corn, Wheat Oasis | HLB and Bond Elution cartridges | Corn: 0.05–0.08 Wheat: 0.04–0.07 | 90.7–106 | <6.40 & <15.8 | – | [61] |
| IAC/HPLC-FLD | Rice, Wheat, Oat, Barley, Corn | AOZ-IAC | 0.004–0.012 | 77.3–104 | <14.3 & <15.2 | – | [62] |
| MSPE/LC-MS | Corn, Wheat | mGCB c | 0.05–0.10 | 63–78 | <12.0 & <20.0 | – | [63] |
| SPE-DLLME/HPLC-FLD | Cereal, beans and oil | C-18 | 0.03–11.0 | 63.2–108 | <8.13 | 500 | [64] |
| DSPE d/HPLC-FLD | Pistachio, Rice | Fe3O4 | 0.06–0.35 | 76.0–112.7 | <150 | 50 | [65] |
| SPE/HPLC-FLD | Maize, Rice | Silica/GO | 0.10–0.30 | 76.8–106.9 | <3.90 & <6.40 | 100 | [66] |
| SPE/HPLC-FLD | Soybean and soy-based food | 3D-graphene @ Fe3O4 | 0.09–0.15 | 83–103 | <3.40 & <7.50 | 30 | [67] |
| SPE/HPLC-FLD | Maize, Cereal-based feed | β-CD porous graphene | 0.01–0.03 | 90.5–105 | <3.70 & <6.10 | 15 | [68] |
| d-SPE/HPLC-FLD | Rice, Pistachio and Maize | Cu@ graphene nanocomposite | 0.018–0.02 (AFB1, AFB2, AFG1, AFG2) | 92.3–109% | 0.43–4.20 | 50 | This work |
Disclaimer/Publisher’s Note: The statements, opinions and data contained in all publications are solely those of the individual author(s) and contributor(s) and not of MDPI and/or the editor(s). MDPI and/or the editor(s) disclaim responsibility for any injury to people or property resulting from any ideas, methods, instructions or products referred to in the content. |
© 2025 by the authors. Licensee MDPI, Basel, Switzerland. This article is an open access article distributed under the terms and conditions of the Creative Commons Attribution (CC BY) license (https://creativecommons.org/licenses/by/4.0/).
Share and Cite
Yakout, A.A.; Alshitari, W.H.; Albishri, H.M.; Zainy, F.M.A.; Alshutairi, A.M. Trace Aflatoxins Extraction in Pistachio, Maize and Rice Based on β-Cyclodextrin-Doped Cu-Carboxylated Graphene Oxide Nanocomposite. Toxins 2025, 17, 562. https://doi.org/10.3390/toxins17110562
Yakout AA, Alshitari WH, Albishri HM, Zainy FMA, Alshutairi AM. Trace Aflatoxins Extraction in Pistachio, Maize and Rice Based on β-Cyclodextrin-Doped Cu-Carboxylated Graphene Oxide Nanocomposite. Toxins. 2025; 17(11):562. https://doi.org/10.3390/toxins17110562
Chicago/Turabian StyleYakout, Amr A., Wael H. Alshitari, Hassan M. Albishri, Faten M. Ali Zainy, and Adel M. Alshutairi. 2025. "Trace Aflatoxins Extraction in Pistachio, Maize and Rice Based on β-Cyclodextrin-Doped Cu-Carboxylated Graphene Oxide Nanocomposite" Toxins 17, no. 11: 562. https://doi.org/10.3390/toxins17110562
APA StyleYakout, A. A., Alshitari, W. H., Albishri, H. M., Zainy, F. M. A., & Alshutairi, A. M. (2025). Trace Aflatoxins Extraction in Pistachio, Maize and Rice Based on β-Cyclodextrin-Doped Cu-Carboxylated Graphene Oxide Nanocomposite. Toxins, 17(11), 562. https://doi.org/10.3390/toxins17110562

