Next Article in Journal
Zearalenone and Its Emerging Metabolites Promptly Affect the Rumen Microbiota in Holstein Cows Fed a Forage-Rich Diet
Previous Article in Journal
Alphatoxin Nanopore Detection of Aflatoxin, Ochratoxin and Fumonisin in Aqueous Solution
Previous Article in Special Issue
Characterization of the Aspergillus flavus Population from Highly Aflatoxin-Contaminated Corn in the United States
 
 
Font Type:
Arial Georgia Verdana
Font Size:
Aa Aa Aa
Line Spacing:
Column Width:
Background:
Article

Multiple Year Influences of the Aflatoxin Biocontrol Product AF-X1 on the A. flavus Communities Associated with Maize Production in Italy

by
Mohamed Ali Ouadhene
1,
Alejandro Ortega-Beltran
2,
Martina Sanna
3,
Peter J. Cotty
4 and
Paola Battilani
1,*
1
Department of Sustainable Crop Production, Università Cattolica del Sacro Cuore, 29122 Piacenza, Italy
2
International Institute of Tropical Agriculture (IITA), Ibadan 200001, Nigeria
3
AGROINNOVA—Centre of Competence for the Innovation in the Agro-Environmental Sector, University of Torino, 10095 Grugliasco, Italy
4
College of Food Science and Engineering, Ocean University of China, Qingdao 266003, China
*
Author to whom correspondence should be addressed.
Toxins 2023, 15(3), 184; https://doi.org/10.3390/toxins15030184
Submission received: 10 January 2023 / Revised: 16 February 2023 / Accepted: 24 February 2023 / Published: 28 February 2023
(This article belongs to the Special Issue Current Status and Challenges of Aflatoxin Biocontrol Strategies)

Abstract

AF-X1 is a commercial aflatoxin biocontrol product containing the non-aflatoxigenic (AF-) strain of Aspergillus flavus MUCL54911 (VCG IT006), endemic to Italy, as an active ingredient. The present study aimed to evaluate the long-term persistence of VCG IT006 in the treated fields, and the multi-year influence of the biocontrol application on the A. flavus population. Soil samples were collected in 2020 and 2021 from 28 fields located in four provinces in north Italy. A vegetative compatibility analysis was conducted to monitor the occurrence of VCG IT006 on the total of the 399 isolates of A. flavus that were collected. IT006 was present in all the fields, mainly in the fields treated for 1 yr or 2 consecutive yrs (58% and 63%, respectively). The densities of the toxigenic isolates, detected using the aflR gene, were 45% vs. 22% in the untreated and treated fields, respectively. After displacement via the AF- deployment, a variability from 7% to 32% was noticed in the toxigenic isolates. The current findings support the long-term durability of the biocontrol application benefits without deleterious effects on each fungal population. Nevertheless, based on the current results, as well as on previous studies, the yearly applications of AF-X1 to Italian commercial maize fields should continue.
Key Contribution: The biocontrol of Aspergillus flavus is the best preventive action to reduce aflatoxin contamination. AF-X1, with strain MUCL54911 (VCG IT006) as its active ingredient, is the commercial product available in Europe that is annually applied to maize fields. To reduce the frequency of the treatments, it is crucial to understand the persistence of VCG IT006 in soil. The beneficial effect of treatments is a switch in the A. flavus community structure towards the increased incidences of non-aflatoxigenic A. flavus. The findings support the long-term persistence of applied biocontrol. However, due to the variability observed between the sample sites over time, annual treatment is still recommended.

1. Introduction

Aspergillus flavus Link is one of the most important filamentous fungi worldwide because it can produce aflatoxins in various crops of economic importance. This species is widely distributed in temperate, tropical, and subtropical zones [1], including various regions in Europe [2,3], and thrives in many agro-ecosystems and diverse natural habitats. The competitive advantages of A. flavus increase under several abiotic stresses, including its high temperature and salinity [4,5]. However, it is as a causal agent of aflatoxin contamination that A. flavus is most frequently distinguished. The International Agency for Research on Cancer [6] classifies aflatoxin B1 (AFB1) as a Group 1 compound because it is known to be carcinogenic to humans [7]. As a result, the maximum levels (MLs) for aflatoxins in food and feed have been established in most countries, to prevent the commercialization and consumption of unsafe commodities [8,9,10].
The life cycle of A. flavus is divided into an opportunistic phase, during which plants, animals, and humans are infected, and a saprophytic phase, where detritus is produced from excrement and through the decay of plant and insect parts and other organic matter [1]. Mycelia, conidia, and sclerotia are produced during both phases, providing for reproduction and survival in the absence of the nutrients and/or environments conducive to growth [11,12,13,14]. Many A. flavus genotypes produce AFB1 and AFB2, but other genotypes lack the abilities to produce aflatoxins [15]. Based on the morphology of sclerotia, two morphotypes of A. flavus have been characterized: S morphotype, known for the production of copious small sclerotia (<400 µm in diameter), and L morphotype, characterized by sclerotia that are fewer in numbers but larger (>400 µm) [16]. Almost all S morphotype strains produce aflatoxin at high concentrations, while the aflatoxin-producing potentials of L morphotype strains vary widely, ranging from highly toxigenic to non-aflatoxigenic (AF−). Genotypes that produce no aflatoxins are termed as non-aflatoxigenic (AF−). The presence of AF- strains has been reported in most studies that evaluate A. flavus diversity [16,17,18,19,20].
There are many A. flavus genetic groups, called Vegetative Compatibility Groups (VCGs), which are delimited by a self/non-self-recognition system [17,18]. VCGs that are composed entirely of AF- members reflect the stable retention of this phenotype during clonal evolution [19]. A lack of aflatoxins production does not affect the ability of A. flavus to infect and decay crops. In fact, the aggressiveness of some AF- strains lets them be tested as biocontrol agents with the potential to competitively exclude aflatoxin producers [16]. In 1989, the AF- strain AF36 was applied for the first time to a field in Yuma, Arizona, after being tested at laboratory scale, and it significantly reduced the aflatoxin contamination in cottonseed [16].
The displacement of aflatoxin producers is one possible mechanism by which the applied AF- strains reduce aflatoxin contamination [1,20]. From the initial commercial field evaluations of the AF36 strain in 1996, it became evident that AF- biocontrol products shift the A. flavus population structure in treated fields, and these changes to the population structure may be retained, in part, over multiple years [21,22]. Similar results also occur in small-scale field studies [23] and in multi-year evaluations of the biocontrol product Aflasafe used in commercial maize fields in Kaduna State, Nigeria [24].
There are currently over 50 AF- strains of A. flavus that are registered for use as active ingredients in the aflatoxin biocontrol products used in various countries [25,26]. However, AF-X1 is the only product currently available in the EU. AF-X1 has been used in Italy since 2015. Its active ingredient is A. flavus MUCL 54911, which is endemic to Italy and belongs to VCG IT006 [27]. All members of this VCG lack the entire aflatoxin biosynthesis gene cluster, as a result of a large insertion/deletion event shared in common with a number of other AF- genotypes of A. flavus [19,28].
In 2003, there was an aflatoxin outbreak in the maize grown in North Italy [2], which was ingested by dairy livestock. This resulted in large quantities of milk being destroyed, thereby having a significant impact on the regions’ signature cheese production by the consortia of Parmigiano Reggiano and Grana Padano. Since 2003, North Italy has experienced additional aflatoxin contamination events, as have many temperate regions in southeastern Europe [3,29], causing significant problems for both the maize and dairy industries [30]. Furthermore, climate change is predicted to worsen the maize contamination in Europe [31]. The use of different compounds able to bind AFB1 to reduce its bioavailability was purposed, but this approach is not totally effective and implies side effects [32,33]. A biocontrol formulation comprised on an AF- A. flavus strain, AF-X1, was successfully developed to address the contamination in commercially grown maize in Italy. The use of AF-X1 has resulted in substantial relief for the maize industry in Italy, with aflatoxin contamination reduced more than 90% compared to untreated maize [28,34,35]. As the only biocontrol formulation currently available in the EU, AF-X1 has been commercialized with a temporary authorization since 2015, while the final registration work is still ongoing.
There are several possible mechanisms through which the AF- strains of A. flavus may impact aflatoxin contamination, such as competitive exclusion [21], nutrient sequestration [36], touch inhibition, or chemosensing (extrolites or VOCs) [37,38]. However, the predominant mechanism reported in agricultural fields is the modification of Aspergillus populations through the displacement of aflatoxin-producing potential [39,40,41]. The AF- strains displace the toxigenic strains and thereby reduce the aflatoxin content in many of the crops grown commercially in the United States, Nigeria, Kenya, Senegal, The Gambia, Ghana, and Italy [28,40,42,43,44,45].
Aflatoxin concentration is influenced by a high temperature, low humidity, and precipitation. Moreover, crop rotation and the timing of planting and harvest have strong effects on contamination. These factors make it difficult to determine the multi-year efficacy of biocontrol applications based on the aflatoxin concentrations alone [31,46,47]. In some regions, biocontrol strains have been shown to persist beyond a single growing season and expand their range beyond the treated fields [22,23,44,46,48]. However, the extents of such influences are dependent on both the AF- genotypes employed and the agro-ecosystem in which the product is used [49]. The residual influences of biocontrol products can be assessed by the multi-year monitoring of the AF- active ingredients in agricultural soils. This can be done by examining individual genotypes within the resident fungal population and characterizing those individuals with either culture-based (i.e., a vegetative compatibility analysis (VCAs) [20,50] or molecular tools, such as microsatellite analyses or SNP monitoring with pyrosequencing [51,52,53]. Moreover, several studies have previously identified the role of some aflatoxin biosynthesis pathway genes, such as omt-A and aflR, to develop new approaches to estimate the aflatoxin-producing capacity of Aspergillus spp., such as the use of real-time PCR [54,55,56]. In fact, qPCR was previously used to detect AF36 during pistachio production [57]. In addition, Cluster Amplification Pattern (CAP) is a multiplex PCR method used to monitor the stability of the AF- strains of A. flavus [58].
Currently, there are no studies on either the long-term efficacy of AF-X1 or the influences of the maize-based agro-ecosystem of northern and central Italy on AF-X1 persistence. Therefore, our study sought to assess the long-term effects of the commercial applications of the biocontrol product AF-X1 on the structure of the A. flavus communities’ resident in fields that are frequently cropped to maize in north Italy. The residual influences of these applications may provide cumulative benefits over multiple seasons and may, in part, explain the reduced frequencies of aflatoxin contamination in regions where the applications of AF-X1 were previously employed.

2. Results

2.1. Cropping Systems of the Surveyed Fields

Most of the fields (70%) included in the current study contained predominantly silt soil (Table 1). In total, six (21%) fields were predominantly clay, and three (11%) were sandy. Several of the sampled fields (25%) were planted with maize repeatedly, without rotation. However, some of the fields were rotated between maize and either wheat, soybean, tomato (rarely), or pea. Conventional tillage was commonly applied, with conservative approaches (no tillage) reported only for three fields in area 2 of Rovigo. In addition, stalk burial was performed in ~50% of the fields, and all four of the fields sampled in area 6 (Table 1).

2.2. Soil Fungal Populations

The total fungal community (Table 2) in the soil sampled in 2020 was significantly (p < 0.01) influenced by the AF-X1 application schedule; however, no significant influence was observed in the soils sampled in 2021. Furthermore, the interaction between the treatment and location was significant (p < 0.01).
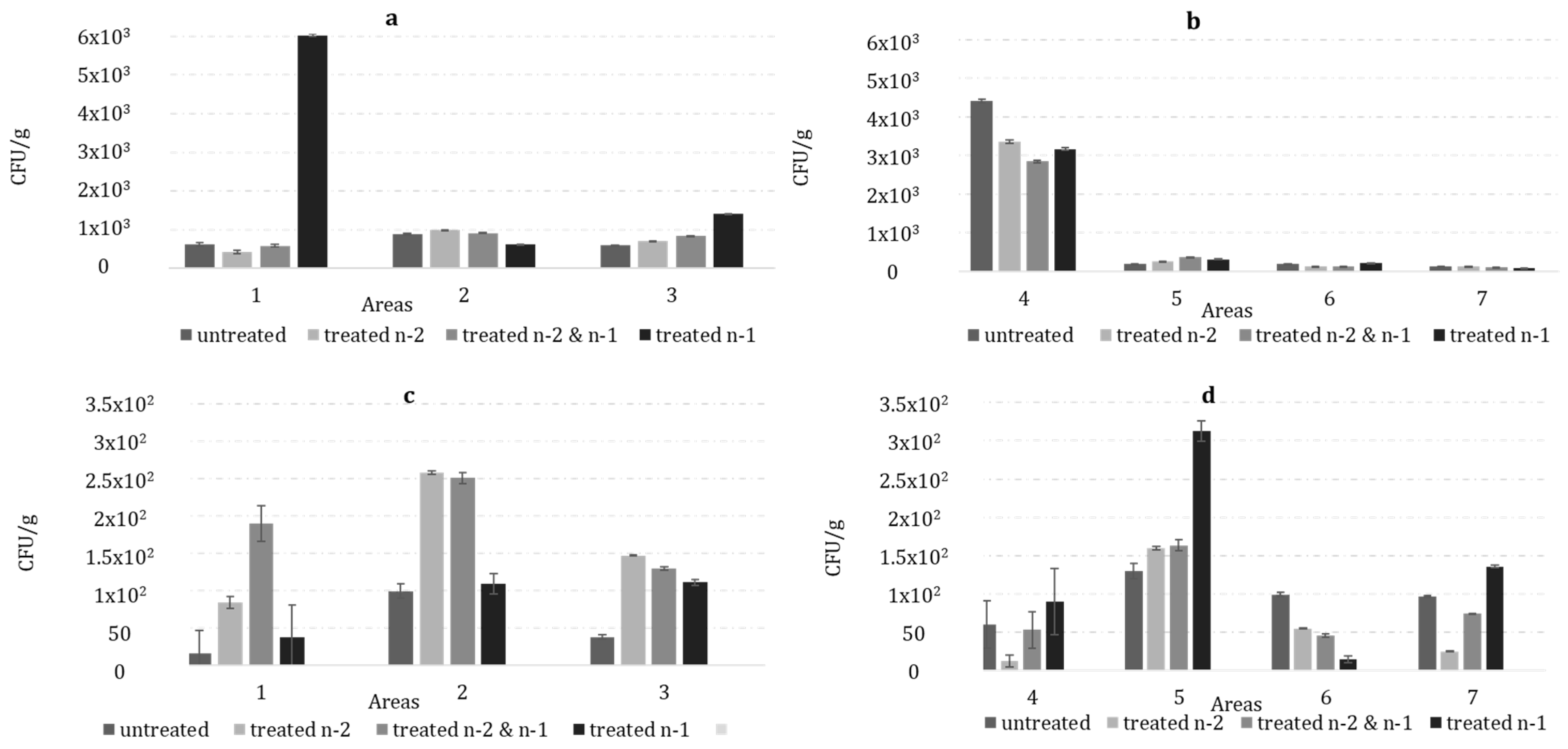
The incidences of the total fungal occurrence (CFU/g) were calculated for each field sampling site (Figure 1), and the distribution of the total fungal population varied among them. The highest fungal occurrence was noted in area 4 with 3443 CFU/g, and the lowest in area 7 with 112 CFU/g (Figure 1b). Additionally, a CFU/g increase of 47% was noted in all the fields treated n-1 compared to the untreated fields. The distribution of the total fungal population varied within the areas. The highest fungal concentrations occurred in a field treated n-1 in area 1 (6027 CFU/g).
The occurrence of A. flavus in each field site also varied with treatment (p < 0.01), being inconsistent and ranging from 51 to 190 CFU/g (Table 2). Overall, the results from both sampling years indicated that the lowest average recovery of A. flavus (51 CFU/g) occurred in an untreated field in 2020 with 51 CFU/g (Figure 1c). The concentrations of A. flavus were elevated in both the fields treated in a single year and the fields treated over two years (2020–2021; Table 1). There was a significant interaction between the treatments and locations, but only for the data collected in 2021 (p < 0.01).
The only time an untreated field site had a greater abundance of A. flavus than the treated neighbor fields was in the Noale municipality (sampling year 2021), whereby the untreated field had the greatest A. flavus concentrations (99 CFU/g), and all of the three treated sites were ≤50 CFU/g (Figure 1d).

2.3. Frequency of Non-Alfatoxigenic and Toxigenic A. flavus

Overall, 399 A. flavus isolates were collected from the soil samples. The frequency of isolates lacking the aflR gene was determined using a qPCR method and found to be 287 (72%) (Table 2). As expected, the occurrence of the AF- isolates lacking the aflR gene was significantly influenced by AF-X1 treatment (p < 0.05), but only when the two sampling years were combined; the fields treated for two years had significantly more AF- isolates compared to the untreated fields.
The highest occurrence of isolates lacking aflR was noted in all the treated fields and ranged from 68% to 93% among the examined communities of A. flavus (Table 2). However, a lower overall occurrence of toxigenic isolates was sampled in the untreated fields during 2020 compared to the untreated fields sampled in 2021 (Figure 2).

2.4. Frequency of Isolates Belonging to VCG IT006

The 399 A. flavus isolates recovered from the soil samples were subjected to classical VCG testing. A total of two hundreds of the isolates shared VCG IT006 with MUCL-54911. A subsequent analysis revealed that they all lacked aflR, as expected. The remaining 199 isolates did not belong to IT006, and 84 (42%) of those also did not have aflR. The abundance of VCG IT006 isolates was significantly influenced by the AF-X1 treatment regimen (p < 0.01), but only in the fields sampled in 2021. VCG IT006 was significantly lower in the untreated fields, both when the incidence was computed for the total A. flavus or AF- isolates (Table 2). When the counts for both the sampling years were combined, the significantly lower incidence of VCG IT006 in the untreated fields was confirmed. Similar ranges of IT006 frequency were observed in the fields treated two years prior (20% to 83% IT006) and one year prior to sampling (40% to 93% IT006) (Figure 3). However, the frequencies of IT006 in the untreated field areas 1 and 3 (2020) were more than double the amounts recovered in any other untreated field, as well as in those treated in 2018 (+29% vs. +17%) (Figure 3a).

2.5. Impact of Cropping System on the Soil Fungal Population

The cropping conditions that were available and collected from farmers were crop rotation, the soil type, tillage (most of the fields were under conventional tillage), and stalk burial, which in all studied fields was not applied. Crop rotation was the only factor among the cropping system that significantly influenced the fungal population isolated from the soil, with a significantly higher CFU/g and wheat grown before maize compared to soybean. The incidence of the AF- isolates, just as the incidence of IT006, was the highest with maize as the preceding crop (data not shown).

3. Discussion

Farmers, industries, and regulatory authorities have questioned if the applications of the aflatoxins biocontrol product might have long-term benefits [34,35]. The current study provides observations that suggest that the applications of AF-X1 have influences that extend to the next season and the season after, and even to nearby neighboring untreated fields. The soils collected in 2020 and 2021 from the fields located in northern Italian maize production areas, where AF-X1 was previously applied, contained significant frequencies of the VCG, to which MUCL 54911, the active ingredient of AF-X1, belongs. The results (Table 2) indicate that: (I) the use of AF-X1 has a residual effect that improves the structure of the A. flavus resident in both the treated fields and in the neighboring untreated fields, so that the AF- active ingredient is more common and the frequency of the aflatoxin producers is reduced; and (II) the application of AF-X1 promotes the creation of these safer Aspergillus populations, with no significant effects on the total fungal communities. These results suggest that follow-up studies should be used to determine the frequencies and distributions of the AF-X1 applications required for the levels of cost-effective aflatoxin management required by north Italy’s maize industry, to provide grain that is consistently safe for the region’s vital dairy industry. To assess the residual effects of AF-X1 applications, VCA was undertaken to assess the abundance of its active ingredient, MUCL 54911, in the current study, despite being a labor-intensive, time-consuming technique; this has been judged the most reliable and accurate method available, and the only method which has been successfully applied to identifying MUCL 54911 in field samples [51,59]. A significant occurrence of MUCL 54911 in all the treated areas was reported. Similarly, the application of single AF- A. flavus isolates of the aflatoxin biocontrol products, Afla-Guard® and AF36, resulted in persistence overtime. In addition, the most extensive carry-over studies, involving thousands of isolates, were carried out in the U.S. with AF36 [23,60,61]. A similar carry-over was observed on African small holder farms with Aflasafe, a biocontrol product containing four AF- strains as its active ingredients [24].
Several studies have shown not only the survival, but also an increased frequency of AF- biocontrol product VCGs beyond the treatment season [44,60,62]. On the other hand, the studies of Weaver and Abbas [23] and Atehnkeng et al. [24] showed a decline in the frequencies of biocontrol VCGs when follow-up treatments were delayed by one or two years. This suggests that the biocontrol carry-over effects may change from area to area, and the carry-over effects must continue to be investigated.
The current study revealed some unexpected results. In two areas (Figure 2), the prevalence of VCG IT006 in the untreated fields was comparable with the fields treated two years prior. The field-to-field variation in the microenvironment, agronomic practice, or predation by insects may have contributed to these observations [63].
The isolate of A. flavus MUCL 54911, belonging to VCG IT006, was identified and validated as the most efficient AF- strain among those included in the Italian fungal collection by Mauro and coworkers in 2013 and 2018 [28,59]. The study of Mauro et al. [28] highlighted the benefits of MUCL 54911, an active ingredient of AF-X1, in reducing the aflatoxin in maize. Mauro and colleagues showed that IT006 is the largest VCG in the Italian population, from which the active ingredient was chosen and was found in four out of five of the northern Italian regions where our current study was conducted. Areas 1 and 3 belong to the district of Rovigo, where 40% of the fields had been treated with AF-X1. The examined samples from Rovigo had larger proportions of IT006, suggesting that aerially dispersed and insect-transmitted conidia may be factors that facilitate the active ingredient movement [4,13]. The recovery of VCG IT006 in relatively high proportions in the untreated fields supports the approach of selecting VCGs native and well-adapted to the target regions for use as the active ingredients of biocontrol formulations for an improved persistence. Their adaptation to target areas plus their dispersal from treated to untreated fields are useful characteristics for biocontrol strains.
Data on cropping systems, such as rotation, soil texture, and other agricultural practices, might be relevant in explaining the observed variability among the fields. Several studies have examined the link between the previous crop and the A. flavus population [64,65,66]. In the prior studies, the highest densities of A. flavus were found in the soil after maize, followed by wheat, cotton, and sorghum. The results from the current study agree with these prior studies. One field treated two years prior to sampling with a prior crop of wheat had the lowest A. flavus density observed. Furthermore, soil texture is associated with the variability in A. flavus communities. Clay soil and A. flavus are positively correlated, while sandy soil is negatively correlated [65]. Even if not statistically significant, the lowest incidence of AF- isolates and those belonging to IT006 were detected in sandy soil. In area 1, in the current study, a field with sandy soil that had been treated with AF-X1 two years prior had a low incidence (35%) of IT006, with 84 CFU/g of the total A. flavus population (Figure 2a).
Conservation tillage combined with stalk burial, which increases the organic matter in the soil, were highly correlated with the A. flavus density and contributed to the maintaining of a reservoir of A. flavus [67,68]. In this study, significant differences were not detected, probably because so few (3 out of 28) fields had undergone conservation tillage, but the results from area 2 were in agreement with this statement; the density of A. flavus (251 CFU/g) was greater under no tillage with stalk burial than under tillage (109 CFU/g) in area 2 (Figure 1c).
In the present study, the sampling sites were chosen randomly to obtain diverse conditions. Therefore, a large variation in the cropping system may be a barrier to establishing a link between the cropping system and A. flavus density, as well as the occurrence of IT006. As expected, the carry-over experiment had no significant effect on the global fungal communities, other than on the proportions of the toxigenic and AF- A. flavus residing in the soil. Bhandari et al. [69] found that the application of the commercial biocontrol product FourSure™ had no overall impact on the microbiome composition of the treated and untreated crops. The aflatoxin biocontrol application has been reported to have no increase in Aspergillus density [24,39] and no influence on the composition of other mycotoxigenic fungal species such as Fusarium, and contamination with fumonisins [28,70].
The tracking of biocontrol active ingredients has been carried out by first classifying the A. flavus isolates by morphotype (L strain and S strain), and then conducting VCA in the L morphotype isolates with tester pairs specific to the VCGs of the active ingredients [16,26]. A qPCR technique has resulted in useful information on hazelnuts and pistachios because of its specificity, sensitivity, and accurate detection properties in accordance with the international EPPO standard (PM7/98) [54,57]. The usefulness of a qPCR in detecting AF- isolates based on lack of the aflR gene in the aflatoxin biosynthesis cluster was confirmed by the current study. This is the first study to track the abundance of biocontrol isolates in maize fields based on a qPCR of the mechanism underscoring one AF- genotype. However, non-aflatoxigenic strains exist with partial gene clusters that also lack aflR, so we cannot be certain that all the aflR-lacking strains detected during our qPCR were MUCL 54911. The current work found a predominance of AF- fungi in all the surveyed areas and at higher incidences in most fields in which a prior year biocontrol application was made. Similar results have been reported by Atehnkeng and coworkers [24] with other biocontrol fungi on small-holder farms in Africa. Our results show shifts in the A. flavus population following the application of the AF- A. flavus biocontrol product, AF-X1. Previously, this was demonstrated under various conditions, in both small-scale and large commercial-scale agriculture [23,24,26,71]. Nevertheless, a wide variability was observed among the studied fields.
Examining the proportion of the biocontrol active ingredients post-application, over multiple years, is an important criterion to evaluate the success of A.flavus AF- strain-based biocontrol application. This study provides valuable data regarding the performance and stability of the active ingredient of AF-X1 in Italian agro-ecosystems for sustainable aflatoxin management. Additionally, this study confirms that post-application movement can occur to neighboring (untreated) fields and provide them with some level of protection from aflatoxin contamination. The proximity of neighboring fields, the area size, and the amount of the biocontrol applied are highly correlated with dispersal to untreated fields, as well as the persistence of the active ingredient over the time [24,72].
In conclusion, the use of aflatoxin biological control products with AF- A. flavus as their active ingredients is the most successful technique for aflatoxin management so far, demonstrating a considerable adaptability in the field with the strains native to the target regions. The current findings support the long-term durability of the application benefits. The primary detected influence of the AF-X1 applications is a switch in the A. flavus community structure towards increased incidences of AF- A. flavus. Based on our findings, as well as those from previous studies, the annual application of AF-X1 to commercial maize fields should be maintained, until more data are available that show the optimal timing and distribution of the applications that provide the most cost-effective treatments.

4. Material and Methods

4.1. Soil Sampling and Filed Data Collection

Soil was sampled in north Italy during April 2020 and 2021 in seven sampling areas, distributed across the provinces Rovigo, Modena, Padova, and Venezia. In each area, 4 fields (28 fields total) were chosen based on different time points involving AF-X1 application: once the previous year to sampling (treated n-1), once two years prior to sampling (treated n-2), both the previous year and two years prior to sampling (treated n-1 and n-2), or not at all (untreated). All the applications were made according to the label instructions of the farmers. For each treatment year, the crops were treated once at 25 kg/ha between the BBCH phenological growth stages 33–39 [73]. In each region, the approximate percentages of the maize farms where AF-X1 had been applied varied, with 40% in Rovigo, 35% in Padova, 30% in Venezia, and 25% in Modena.
In total, ten soil samples of ~50 g were collected with a surface-disinfected trowel, from the top 2 cm at 4 to 10 m intervals across diagonal transects of each of the 28 fields. The distances between the sampled fields exceeded 5 km [74,75]. The soil samples were taken to the laboratory, dried in forced air (40 to 45 °C, 48 h), and stored in plastic bags at 4 °C until processed. Additionally, information regarding the cropping system (e.g., the crop rotation, tillage system, stalk burial, and soil texture, provided by the farmers/extension agents) was collected for each the sampled fields.

4.2. Aspergillus flavus Isolation

The isolation of A. flavus from the soil samples was performed aseptically, following the protocols previously reported [65]. Briefly, 10 g of soil per sample was mixed with 50 mL of double distilled sterile water and stirred for 20 min at 300 rpm A 100 µL aliquot of the soil suspension was transferred onto MRBA [76] and incubated at 31 °C for 3 d. The colonies of A. flavus were identified based on their morphology [77] and quantified as colony-forming units per g of soil (CFU/g). From each field, 10 to 15 discrete colonies of A. flavus were transferred to the low nutrient agar medium 5/2 (5% V-8 vegetable juice, 2% agar, pH 5.2) [78] and incubated (5–7 d, in the dark, 31 °C). The cultures were saved in sterile water vials at 4 °C containing five plugs (3 mm dia) of sporulating agar in 1 mL of sterile distilled water [78].
In total, 399 isolates (range = 10–15 per field) were used to quantify the persistence of the active ingredient of the biocontrol product AF-X1, MUCL 54911, using Vegetative Compatibility Analysis (VCA). The isolates were single spored (i.e., monosporic) through serial dilution on Malt Extract Agar (MEA) [59]. After 2 d of incubation at 31 °C, one colony per isolate was transferred to 5/2 agar. The single-spore transfers were performed in triplicate to ensure the culture purity. A total of five agar plugs from pure mature cultures were saved as above.

4.3. DNA Extraction

Monosporic A. flavus isolates (399 total) were used to evaluate the presence or absence of a section of the aflR gene, using a TaqMan qPCR assay developed for A. flavus [54]. In addition, all the isolates were subjected to a qPCR assay to evaluate the presence or absence of a section of the aflR gene. This gene is required for aflatoxin production. Positive (isolate FS7; aflatoxin producer) and negative controls (isolates FS3, FS5, FS6, and FV9; non-aflatoxin producers) were included. The 399 monosporic isolates were grown on Yeast Extract Sucrose Agar (YES agar) for 7 d at room temperature [79]. Fresh mycelium from the edges of the colonies were used to extract genomic DNA with the E.Z.N.A. fungal DNA mini kit (Omega Bio-Tek, Norcross, GA, USA), according to the manufacturer’s instructions. The DNA concentrations were measured with NanoDrop 2.0 (ThermoFisher, Wilmington, DE, USA) and adjusted to be less than 100 ng/µL [54].

4.4. qPCR Conditions

The two primers, AflF and AflR [54], were used at a concentration of 0.3 µmol, the TaqMan probe concentration was 0.1 µmol, with 1 × of TaqMan universal PCR MasterMix (Applied Biosystems, Loughborough, UK) and 1 µL of DNA (100 ng/µL) of the isolate being assayed. A StepOne thermal cycler instrument (Applied Biosystems, Loughborough, UK) was used to perform the reaction with the following cycle: an initial denaturation at 95 °C for 4.5 min, 40 cycles of 15 s at 95 °C, and 15 s at 60 °C. Each reaction was run in triplicate; positive and negative controls were included in each run. The standard curve utilized the DNA of A. flavus FS7 with serial dilution to test the qPCR sensitivity [54]. The AF- genotype of each isolate was assumed based on the CT value generated from the amplification curve of aflR gene and ranged from 20 to 47.61 (CT ≤ 35 = toxigenic; CT > 35 AF-).

4.5. Vegetative Compatibility Analysis (VCA)

To determine the distribution and frequencies of the AF-X1 active ingredient (MUCL 54911), all 399 monosporic isolates were subjected to VCA with the tester pairs of VCG IT006 [59], the VCG to which MUCL 54911 belongs, following the previously published protocols of Bayman and Cotty, [80] and Cotty [71].To obtain the nitrate non-utilizing (nit-) mutants, 10 µL of the spore suspension of each isolate was seeded into a well (3 mm diameter) in the center of SEL plates [71]. Sectors that were auxotrophic for nitrate were visible after 10 to 30 d of incubation at 31 °C. The auxotrophs were transferred to MIT, incubated for 3 d at 31 °C [51], transferred to 5/2 agar, and stored in water vials, as described above. Complementation tests with the tester pair of VCG IT006 were performed on starch medium [81]. In total, three wells (3 mm in diameter), 1 cm apart, were made in a triangular pattern in the center. A total of two wells were seeded with 10 µL of the spore suspension of each of the testers, and the third one was seeded with 10 µL of the spore suspension of the nit- mutant of the isolate being analyzed. The compatibility was assessed after 7 d of incubation at 31 °C. Wildtype growth at the zone of mycelial interaction indicated that the isolate belonged to VCG IT006 [80].

4.6. Data Analysis

Data on the CFU/g of the total fungi and A. flavus in the soil samples were ln transformed and data on the percentage of the AF- isolates and those belonging to IT006, both computed on all the 399 recovered A. flavus isolates and on the aflatoxin-free A. flavus, were arcsin transformed before a statistical analysis was performed to reduce the heterogeneity in the variance. All data obtained were subjected to a univariate analysis of variance (ANOVA) using the generalized linear model (GLM) procedure, and significant differences between the means were determined using Tukey’s HSD test (α = 0.05). The statistical package IBM SPSS statistics 27 (IBM Corp., Armonk, NY, USA) was used for the data analysis.

Author Contributions

Conceptualization, P.B. and P.J.C.; methodology P.B. and P.J.C.; formal analysis, M.A.O. and M.S.; resources, P.B.; data curation, M.A.O., P.B., P.J.C. and A.O.-B.; writing—original draft preparation, M.A.O.; writing—review and editing, P.B., P.J.C. and A.O.-B.; supervision, P.B. and P.J.C.; funding acquisition, P.B. All authors have read and agreed to the published version of the manuscript.

Funding

This research received no external funding.

Institutional Review Board Statement

Not applicable.

Informed Consent Statement

Not applicable.

Data Availability Statement

Not applicable.

Acknowledgments

Mohamed Ali Ouadhene worked on this project as a PhD student, Agrisystem PhD school funded by Corteva Italia. Thanks to AGROINNOVA for the hospitality and the help to conduct the qPCR Analysis.

Conflicts of Interest

The authors declare no conflict of interest.

References

  1. Cotty, P.J.; Bayman, D.S.; Egel, D.S.; Elias, K.S. Agriculture, Aflatoxins and Aspergillus. In The Genus Aspergillus; Powell, K., Ed.; Plenum Press: New York, NY, USA, 1994; pp. 1–2. [Google Scholar]
  2. Piva, G.; Battilani, P.; Pietri, A. Emerging Issues in Southern Europe: Aflatoxins in Italy. In Emerging issues in southern Europe: Aflatoxins in Italy; Barug, D., Bhatnagar, D., Van Egmond, H.P., Van der Kamp, J.W., Van Ossenbruggen, W.A., Visconti, A., Eds.; Wageningen Academic Publishers: Wgeningen, The Netherland, 2006; pp. 135–139. [Google Scholar]
  3. Perrone, G.; Gallo, A.; Logrieco, A.F. Biodiversity of Aspergillus section Flavi in Europe in relation to the management of aflatoxin risk. Front. Microbiol. 2014, 5, 377. [Google Scholar] [CrossRef] [PubMed]
  4. Bock, C.H.; Mackey, B.; Cotty, P.J. Population dynamics of Aspergillus flavus in the air of an intensively cultivated region of South-West Arizona. Plant Pathol. 2004, 5, 422–433. [Google Scholar] [CrossRef]
  5. Zuluaga-montero, A.; Rami, L.; Rauscher, J.; Bayman, P. Marine isolates of Aspergillus flavus: Denizens of the deep or lost at sea? Fungal Ecol. 2010, 3, 5–10. [Google Scholar] [CrossRef] [PubMed]
  6. World Health Organization; International Agency for Research on Cancer. Aflatoxins. In IARC Monographs on the Evaluation of Carcinogenc Risks to Humans; IARC Press: Lyon, France, 2002; Volume 82, pp. 171–300. [Google Scholar]
  7. Marchese, S.; Polo, A.; Ariano, A.; Velotto, S.; Costantini, S.; Severino, L. Aflatoxin B1 and M1: Biological properties and their involvement in cancer development. Toxins 2018, 10, 214. [Google Scholar] [CrossRef]
  8. Ayalew, A.; Kimanya, M.; Matumba, L.; Bandyopadhayay, R.; Menkir, A.; Cotty, P. Controlling aflatoxins in maize in Africa: Strategies, challenges and opportunities for improvement. In Achieving Sustainable Cultivation of Maize Cultivation Techniques, Pest, and Disease Control. Volume 2; Watson, D., Ed.; Burleigh Dodds Science: Cambridge, UK, 2017; pp. 1–24. [Google Scholar]
  9. Singh, P.; Cotty, P.J. Aflatoxin contamination of dried red chilies: Contrasts between the United States and Nigeria, two markets differing in regulation enforcement. Food Control 2017, 80, 374–379. [Google Scholar] [CrossRef]
  10. Eskola, M.; Kos, G.; Elliott, C.T.; Hajšlová, J.; Mayar, S.; Krska, R. Worldwide contamination of food-crops with mycotoxins: Validity of the widely cited ‘FAO estimate’ of 25%. Crit. Rev. Food Sci. Nutr. 2020, 60, 2773–2789. [Google Scholar] [CrossRef]
  11. Hedayati, M.T.; Pasqualotto, A.C.; Warn, P.A.; Bowyer, P.; Denning, D.W. Aspergillus flavus: Human pathogen, allergen and mycotoxin producer. Microbiology 2007, 153, 1677–1692. [Google Scholar] [CrossRef]
  12. Sepahvand, A.; Shams-ghahfarokhi, M. A survey on distribution and toxigenicity of Aspergillus flavus from indoor and outdoor hospital environments. Folia Microbiol. 2011, 56, 527–534. [Google Scholar] [CrossRef]
  13. Horn, B.W. Ecology and population biology of aflatoxigenic fungi in soil. J. Toxicol.—Toxin Rev. 2003, 22, 351–379. [Google Scholar] [CrossRef]
  14. Ojiambo, P.S.; Battilani, P.; Cary, J.W.; Blum, B.H.; Carbone, I. Cultural and genetic approaches to manage aflatoxin contamination: Recent insights provide opportunities for improved control. Phytopathology 2018, 108, 1024–1037. [Google Scholar] [CrossRef]
  15. Mehl, H.L.; Jaime-Garcia, R.; Callicott, K.A.; Probst, C.; Garber, N.P.; Ortega-Beltran, A.; Grubisha, L.C.; Cotty, P.J. Aspergillus flavus diversity on crops and in the environment can be exploited to reduce aflatoxin exposure and improve health. Ann. N. Y. Acad. Sci. 2012, 1273, 7–17. [Google Scholar] [CrossRef]
  16. Cotty, P.J. Virulence and cultural characteristics of two Aspergillus flavus strains pathogenic on cotton. Phytopathology 1989, 79, 808–814. [Google Scholar] [CrossRef]
  17. Grubisha, L.C.; Cotty, P.J. Genetic analysis of the Aspergillus flavus vegetative compatibility group to which a biological control agent that limits aflatoxin contamination in U.S. crops belongs. Appl. Environ. Microbiol. 2015, 81, 5889–5899. [Google Scholar] [CrossRef]
  18. Leslie, J.F. Fungal Vegetative Compatibility. Annu. Rev. Phytopathol. 1993, 31, 127–150. [Google Scholar] [CrossRef]
  19. Adhikari, B.N.; Bandyopadhyay, R.; Cotty, P.J. Degeneration of aflatoxin gene clusters in Aspergillus flavus from Africa and North America. AMB Express 2016, 6, 771–789. [Google Scholar] [CrossRef]
  20. Cotty, P.J.; Bayman, P. Competitive exculusion of a toxigenic strain of Aspergillus flavus by and atoxigenic strain. Postharvest Pathol. Mycotoxins 1993, 83, 1283–1287. [Google Scholar]
  21. Cotty, P.J. Biocompetitive exclusion of toxigenic fungi. In The Mycotoxin Factbook: Food and Feed Topics; Barug, D., Bhatnagar, D., van Egmond, H.P., van der Kamp, J.W., van Osenbruggen, W.A., Visconti, A., Eds.; Wageningen Academic Publishers: Wageningen, The Netherlands, 2006; pp. 179–197. [Google Scholar]
  22. Cotty, P.J.; Probst, C.; Jaime-Garcia, R. Etiology and Management of Aflatoxin Contamination. In Mycotoxins: Detection Methods, Management, Public Health and Agricultural Trade; Leslie, J.F., Bandyopadhyay, R., Visconti, A., Eds.; CABI Publisher: Wallingford, UK, 2008; pp. 287–299. [Google Scholar]
  23. Weaver, M.A.; Abbas, H.K. Field displacement of aflatoxigenic Aspergillus flavus strains through repeated biological control applications. Front. Microbiol. 2019, 10, 1788. [Google Scholar] [CrossRef]
  24. Atehnkeng, J.; Ojiambo, P.; Ortega-Beltran, A.; Augusto, J.; Cotty, P.J.; Bandyopadhyay, R. Impact of frequency of application on the long-term efficacy of the biocontrol product aflasafe in reducing aflatoxin contamination in maize. Front. Microbiol. 2022, 13, 1049013. [Google Scholar] [CrossRef]
  25. Khan, R.; Ghazali, F.M.; Mahyudin, N.A.; Samsudin, N.I.P. Aflatoxin biosynthesis, genetic regulation, toxicity, and control strategies: A Review. J. Fungi 2021, 7, 606. [Google Scholar] [CrossRef]
  26. Moral, J.; Garcia-Lopez, M.T.; Camiletti, B.X.; Jaime-Garcia, R.; Michailides, T.J.; Bandyopadhyay, R.; Ortega-Beltran, A. Present status and perspective on the future use of aflatoxin biocontrol products. Agronomy 2020, 10, 491. [Google Scholar] [CrossRef]
  27. Mauro, A.; Battilani, P.; Cotty, P.J. Atoxigenic Aspergillus flavus endemic to Italy for biocontrol of aflatoxins in maize. BioControl 2015, 60, 125–134. [Google Scholar] [CrossRef]
  28. Mauro, A.; Garcia-Cela, E.; Pietri, A.; Cotty, P.J.; Battilani, P. Biological control products for aflatoxin prevention in Italy: Commercial field evaluation of atoxigenic Aspergillus flavus active ingredients. Toxins 2018, 10, 30. [Google Scholar] [CrossRef] [PubMed]
  29. Perrone, G.; Ferrara, M.; Medina, A.; Pascale, M.; Magan, N. Toxigenic fungi and mycotoxins in a climate change scenario: Ecology, genomics, distribution, prediction and prevention of the risk. Microorganisms 2020, 8, 1496. [Google Scholar] [CrossRef] [PubMed]
  30. Anfossi, L.; Baggiani, C.; Giovannoli, C.; D’Arco, G.; Passini, C.; Giraudi, G. Occurrence of aflatoxin M 1 in Italian cheese: Results of a survey conducted in 2010 and correlation with manufacturing, production season, milking animals, and maturation of cheese. Food Control 2012, 25, 125–130. [Google Scholar] [CrossRef]
  31. Battilani, P.; Toscano, P.; Van Der Fels-Klerx, H.J.; Moretti, A.; Camardo Leggieri, M.; Brera, C.; Rortais, A.; Goumperis, T.; Robinson, T. Aflatoxin B1 contamination in maize in Europe increases due to climate change. Sci. Rep. 2016, 6, 24328. [Google Scholar] [CrossRef]
  32. Girolami, F.; Barbarossa, A.; Badino, P.; Ghadiri, S.; Cavallini, D.; Zaghini, A.; Nebbia, C. Effects of turmeric powder on aflatoxin M1 and aflatoxicol excretion in milk from dairy cows exposed to aflatoxin B1 at the EU maximum tolerable levels. Toxins 2022, 14, 430. [Google Scholar] [CrossRef]
  33. Walte, H.-G.; Knappstein, K.; Maul, R.; Steinberg, P. Re-Evaluation of Aflatoxin M1 transfer into milk of high-yielding cows considering ration composition. J. Anim. Feed Sci. 2022, 31, 343–351. [Google Scholar] [CrossRef]
  34. Anonymous Biocontrollo Aflatossine, La Soluzione Contro Le Aflatossine. Available online: https://www.corteva.it/content/dam/dpagco/corteva/eu/it/it/files/cp/brochures/DF-AF-X1_2022-volantino.pdf (accessed on 17 December 2022).
  35. Anonymous Agente Di Biocontrollo per La Riduzione Delle Aflatossine Nel Mais. Available online: https://www.granapadano.it/it-it/af-x1-2022-agente-di-biocontrollo-per-la-riduzione-delle-aflatossine-nel-mais (accessed on 17 December 2022).
  36. Mehl, H.L.; Cotty, P.J. Nutrient environments influence competition among Aspergillus flavus genotypes. Appl. Environ. Microbiol. 2013, 79, 1473–1480. [Google Scholar] [CrossRef]
  37. Moore, G.G.; Lebar, M.D.; Carter-Wientjes, C.H.; Gilbert, M.K. The potential role of fungal volatile organic compounds in Aspergillus flavus biocontrol efficacy. Biol. Control 2021, 160, 104686. [Google Scholar] [CrossRef]
  38. Moore, G.G.; Lebar, M.D.; Carter-Wientjes, C.H. The role of extrolites secreted by nonaflatoxigenic Aspergillus flavus in biocontrol efficacy. J. Appl. Microbiol. 2019, 126, 1257–1264. [Google Scholar] [CrossRef]
  39. Agbetiameh, D.; Ortega-Beltran, A.; Awuah, R.; Atehnkeng, J.; Elzein, A.; Cotty, P.; Bandyopadhyay, R. Field efficacy of two atoxigenic biocontrol products for mitigation of aflatoxin contamination in maize and groundnut in Ghana. Biol. Control 2020, 150, 104351. [Google Scholar] [CrossRef]
  40. Bandyopadhyay, R.; Ortega-Beltran, A.; Konlambigue, M.; Kaptoge, L.; Falade, T.D.O.; Cotty, P.J. Development and scale-up of bioprotectants to keep staple foods safe from aflatoxin contamination in Africa. In Microbial Bioprotectants for Plant Disease Management; Kohl, J., Ravensverg, W.J., Eds.; Burleigh Dodds Science Publishing: Cambridge, UK, 2022; pp. 587–628. [Google Scholar]
  41. Mahuku, G.; Mauro, A.; Pallangyo, B.; Nsami, E.; Boni, S.B.; Koyano, E.; Mponda, O.; Ortega-Beltran, A.; Atehnkeng, J.; Aquiline, F.; et al. Atoxigenic-based technology for biocontrol of aflatoxin in maize and groundnuts for Tanzania. World Mycotoxin J. 2022, 10, 59–73. [Google Scholar] [CrossRef]
  42. Cotty, P.J.; Mellon, J.E. Ecology of aflatoxin producing fungi and biocontrol of aflatoxin contamination. Mycotoxin Res. 2006, 22, 110–117. [Google Scholar] [CrossRef]
  43. Doster, M.A.; Cotty, P.J.; Michailides, T.J. Evaluation of the atoxigenic Aspergillus flavus strain AF36 in pistachio orchards. Plant Dis. 2014, 98, 948–956. [Google Scholar] [CrossRef]
  44. Bandyopadhyay, R.; Ortega-Beltran, A.; Akande, A.; Mutegi, C.; Atehnkeng, J.; Kaptoge, L.; Senghor, A.L.; Adhikari, B.N.; Cotty, P.J. Biological control of aflatoxins in Africa: Current status and potential challenges in the face of climate change. World Mycotoxin J. 2016, 9, 771–789. [Google Scholar] [CrossRef]
  45. Ortega-Beltran, A.; Kaptoge, L.; Senghor, A.L.; Aikore, M.O.S.; Jarju, P.; Momanyi, H.; Konlambigue, M.; Falade, T.D.O.; Bandyopadhyay, R. Can it be all more simple? Manufacturing aflatoxin biocontrol products using dry spores of atoxigenic isolates of Aspergillus flavus as active ingredients. Microb. Biotechnol. 2021, 15, 901–914. [Google Scholar] [CrossRef]
  46. Cotty, P.J.; Jaime-Garcia, R. Influences of climate on aflatoxin producing fungi and aflatoxin contamination. Int. J. Food Microbiol. 2007, 119, 109–115. [Google Scholar] [CrossRef]
  47. Camardo Leggieri, M.; Toscano, P.; Battilani, P. Predicted aflatoxin B1 increase in Europe due to climate change: Actions and Reactions at global level. Toxins 2021, 13, 292. [Google Scholar] [CrossRef]
  48. Abbas, H.K.; Accinelli, C.; Thomas Shier, W. biological control of aflatoxin contamination in U.S. crops and the use of bioplastic formulations of Aspergillus flavus biocontrol strains to optimize application strategies. J. Agric. Food Chem. 2017, 65, 7081–7087. [Google Scholar] [CrossRef]
  49. Ching’anda, C.; Atehnkeng, J.; Bandyopadhyay, R.; Callicott, K.A.; Orbach, M.J.; Mehl, H.L.; Cotty, P.J. Temperature influences on interactions among aflatoxigenic species of Aspergillus section Flavi during maize colonization. Front. Fungal Biol. 2021, 2, 720276. [Google Scholar] [CrossRef]
  50. Atehnkeng, J.; Ojiambo, P.S.; Cotty, P.J.; Bandyopadhyay, R. Field efficacy of a mixture of atoxigenic Aspergillus flavus Link: Fr Vegetative Compatibility Groups in preventing aflatoxin contamination in maize (Zea mays L.). Biol. Control 2014, 72, 62–70. [Google Scholar] [CrossRef]
  51. Das, M.K.; Ehrlich, K.C.; Cotty, P.J. Use of pyrosequencing to quantify incidence of a specific Aspergillus flavus strain within complex fungal communities associated with commercial cotton crops. Phytopathology 2008, 98, 282–288. [Google Scholar] [CrossRef]
  52. Grubisha, L.C.; Cotty, P.J. Twenty-Four microsatellite markers for the aflatoxin-producing fungus Aspergillus flavus. Mol. Ecol. Resour. 2009, 9, 264–267. [Google Scholar] [CrossRef] [PubMed]
  53. Islam, M.S.; Callicott, K.A.; Mutegi, C.; Bandyopadhyay, R.; Cotty, P.J. Distribution of active ingredients of a commercial aflatoxin biocontrol product in naturally occurring fungal communities across Kenya. Microb. Biotechnol. 2021, 14, 1331–1342. [Google Scholar] [CrossRef] [PubMed]
  54. Ortega, S.F.; Siciliano, I.; Prencipe, S.; Gullino, M.L.; Spadaro, D. Development of PCR, LAMP and QPCR assays for the detection of aflatoxigenic strains of Aspergillus flavus and A. parasiticus in hazelnut. Toxins 2020, 12, 757. [Google Scholar] [CrossRef]
  55. Rodríguez, A.; Rodríguez, M.; Luque, M.I.; Martín, A.; Córdoba, J.J. Real-Time PCR assays for detection and quantification of aflatoxin-producing molds in foods. Food Microbiol. 2012, 31, 89–99. [Google Scholar] [CrossRef]
  56. Shapira, R.; Paster, N.; Eyal, O.; Menasherov, M.; Mett, A.; Salomon, R. Detection of aflatoxigenic molds in grains by PCR. Appl. Environ. Microbiol. 1996, 62, 3270–3273. [Google Scholar] [CrossRef]
  57. Garcia-Lopez, M.T.; Luo, Y.; Ortega-Beltran, A.; Jaime-Garcia, R.; Moral, J.; Michailides, T.J. Quantification of the aflatoxin biocontrol strain Aspergillus flavus AF36 in soil and in nuts and leaves of pistachio by real-time PCR. Plant Dis. 2021, 105, 1657–1665. [Google Scholar] [CrossRef]
  58. Callicott, K.A.; Cotty, P.J. Method for monitoring deletions in the aflatoxin biosynthesis gene cluster of Aspergillus flavus with multiplex PCR. Lett. Appl. Microbiol. 2015, 60, 60–65. [Google Scholar] [CrossRef]
  59. Mauro, A.; Battilani, P.; Callicott, K.A.; Giorni, P.; Pietri, A.; Cotty, P.J. Structure of an Aspergillus flavus population from maize kernels in Northern Italy. Int. J. Food Microbiol. 2013, 162, 1–7. [Google Scholar] [CrossRef]
  60. Cotty, P.J.; Antilla, L.; Wakelyn, P.J. Competitive exclusion of aflatoxin producers: Farmer-driven research and development. In Biological Control: A Global Perspective; Vincent, C., Goettel, M.S., Lazarovits, G., Eds.; CAB International: Cambridge, MA, USA, 2007; pp. 241–253. [Google Scholar]
  61. Molo, M.S.; White, J.B.; Cornish, V.; Gell, R.M.; Baars, O.; Singh, R.; Carbone, M.A.; Isakeit, T.; Wise, K.A.; Woloshuk, C.P.; et al. Asymmetrical lineage introgression and recombination in populations of Aspergillus flavus: Implications for biological control. PLoS ONE 2022, 10, e0276556. [Google Scholar] [CrossRef] [PubMed]
  62. Dorner, J.W. Biological control of aflatoxin contamination of crops. J. Toxicol.—Toxin Rev. 2004, 23, 425–450. [Google Scholar] [CrossRef]
  63. Dowd, P.F. Insect Management to Facilitate Preharvest Mycotoxin Management. Toxin Rev. 2003, 22, 327–350. [Google Scholar] [CrossRef]
  64. Abbas, H.K.; Zablotowicz, R.M.; Locke, M.A. Spatial variability of Aspergillus flavus soil populations under different crops and corn grain colonization and aflatoxins. Can. J. Bot. 2004, 82, 1768–1775. [Google Scholar] [CrossRef]
  65. Jaime-Garcia, R.; Cotty, P.J. Spatial distribution of Aspergillus flavus and its toxigenic strains on commercial cottonseed from south texas and its relationship to aflatoxin contamination. Plant Pathol. 2006, 55, 358–366. [Google Scholar] [CrossRef]
  66. Jaime-Garcia, R.; Cotty, P.J. Crop rotation and soil temperature influence the community structure of Aspergillus flavus in soil. Soil Biol. Biochem. 2010, 42, 1842–1847. [Google Scholar] [CrossRef]
  67. Abbas, H.K.; Accinelli, C.; Zablotowicz, R.M.; Abel, C.A.; Bruns, H.A.; Dong, Y.; Shier, W.T. Dynamics of mycotoxin and Aspergillus flavus levels in aging Bt and non-Bt corn residues under mississippi no-till conditions. J. Agric. Food Chem. 2008, 56, 7578–7585. [Google Scholar] [CrossRef]
  68. Donner, M.; Lichtemberg, P.S.F.; Doster, M.; Picot, A.; Cotty, P.J.; Puckett, R.D.; Michailides, T.J. Community structure of Aspergillus flavus and A. parasiticus in major almond-producing areas of California, United States. Plant Dis. 2015, 99, 1161–1169. [Google Scholar] [CrossRef]
  69. Bhandari, K.B.; Longing, S.D.; West, C.P. Soil microbial communities in corn fields treated with atoxigenic Aspergillus flavus. Soil Syst. 2020, 4, 35. [Google Scholar] [CrossRef]
  70. Reis, T.A.; Oliveira, T.D.; Zorzete, P.; Faria, P.; Corrêa, B. A Non-Toxigenic Aspergillus flavus strain prevents the spreading of Fusarium verticillioides and fumonisins in maize. Toxicon 2020, 181, 6–8. [Google Scholar] [CrossRef]
  71. Cotty, P.J. Influence of field application of an atoxigenic strain of Aspergillus flavus on the population of A.flavus infecting cotton bolls and on the aflatoxin content of cottonseed. Biol. Control 1994, 84, 1270–1277. [Google Scholar]
  72. Jaime-Garcia, R.; Leisner, L.; Antilla, L.; Mehl, H.L.; Cotty, P.J. Area-wide programs for aflatoxin mitigation: Treatments to cotton can be cost effective. In Proceedings of the Beltwide Cotton Production Research Conference, Dallas, TX, USA, 4–6 January 2017; pp. 327–350. [Google Scholar]
  73. Meier, U. Growth Stage of Mono- and Dicoyle-Donous Plants. BBCH Monograph. In Growth Stage of Mono- and Dicoyle-Donous Plants. BBCH Monograph; Meier, U., Ed.; Julius Kuhn-Institute (JKI): Quedlinburg, Germany, 2018; p. 204. [Google Scholar]
  74. Cotty, P.J. Aflatoxin-producing potential of communities of Aspergillus Section Flavi from cotton producing areas in the United States. Mycol. Res. 1997, 101, 698–704. [Google Scholar] [CrossRef]
  75. Senghor, L.A.; Ortega-Beltran, A.; Atehnkeng, J.; Callicott, K.A.; Cotty, P.J.; Bandyopadhyay, R. The Atoxigenic biocontrol product aflasafe SN01 is a valuable tool to mitigate aflatoxin contamination of both maize and groundnut cultivated in Senegal. Plant Dis. 2019, 104, 510–520. [Google Scholar] [CrossRef]
  76. Cotty, P.J. Comparison of four media for the isolation of Aspergillus flavus group fungi. Mycopathologia 1994, 125, 157–162. [Google Scholar] [CrossRef]
  77. Klich, M.A.; Pitt, J. Differentiation of Aspergillus flavus from A. parasiticus and other closely related species. Trans. Br. Mycol. Soc. 1988, 91, 99–108. [Google Scholar] [CrossRef]
  78. Probst, C.; Bandyopadhyay, R.; Price, L.E.; Cotty, P.J. Identification of atoxigenic Aspergillus flavus isolates to reduce aflatoxin contamination of maize in Kenya. Plant Dis. 2011, 95, 212–218. [Google Scholar] [CrossRef]
  79. Probst, C.; Cotty, P.J. Relationships between in vivo and in vitro aflatoxin production: Reliable prediction of fungal ability to contaminate maize with aflatoxins. Fungal Biol. 2012, 116, 503–510. [Google Scholar] [CrossRef]
  80. Bayman, P.; Cotty, P.J. Vegetative Compatibility and Genetic Diversity in the Aspergillus flavus Population of a Single Field. Can. J. Bot. 1991, 69, 1707–1711. [Google Scholar] [CrossRef]
  81. Cotty, P.J.; Taylor, D.R. Influence of complementation medium composition on vegetative compatibility analyses of Aspergillus flavus. In Proceedings of the American Phytopathological Society Annual Meeting, Charlotte, NC, USA, 9–13 August 2003; p. 18. [Google Scholar]
Figure 1. Colony-forming unit (CFU/g + confidence interval) of total fungal community resident in the soil samples collected from 3 areas in 2020 (a); 4 areas in 2021 (b); of A. flavus in the same soil sample collected in 2020 (c); and in 2021 (d). The 7 sampling areas belong to 4 districts: 1 (Rovigo), 2 (Rovigo), and 3 (Rovigo) in 2020, and 4 (Modena), 5 (Rovigo), 6 (Padova), and 7 (Venezia) in 2021. In each area 4 different treatment regimens were applied: untreated, treated n-2, treated n-2&n-1, and treated n-1; n is the sampling year.
Figure 1. Colony-forming unit (CFU/g + confidence interval) of total fungal community resident in the soil samples collected from 3 areas in 2020 (a); 4 areas in 2021 (b); of A. flavus in the same soil sample collected in 2020 (c); and in 2021 (d). The 7 sampling areas belong to 4 districts: 1 (Rovigo), 2 (Rovigo), and 3 (Rovigo) in 2020, and 4 (Modena), 5 (Rovigo), 6 (Padova), and 7 (Venezia) in 2021. In each area 4 different treatment regimens were applied: untreated, treated n-2, treated n-2&n-1, and treated n-1; n is the sampling year.
Toxins 15 00184 g001
Figure 2. Percentage of toxigenic isolates of A. flavus isolates in the soil samples collected from 3 areas in 2020 (a); and 4 areas in 2021 (b). The 7 sampling areas belong to 4 districts: 1 (Rovigo), 2 (Rovigo), and 3 (Rovigo) in 2020, and 4 (Modena), 5 (Rovigo), 6 (Padova), and 7 (Venezia) in 2021. In each area, 4 different treatment regimens were applied: untreated, treated n-2, treated n-2&n-1, and treated n-1; n is the sampling year.
Figure 2. Percentage of toxigenic isolates of A. flavus isolates in the soil samples collected from 3 areas in 2020 (a); and 4 areas in 2021 (b). The 7 sampling areas belong to 4 districts: 1 (Rovigo), 2 (Rovigo), and 3 (Rovigo) in 2020, and 4 (Modena), 5 (Rovigo), 6 (Padova), and 7 (Venezia) in 2021. In each area, 4 different treatment regimens were applied: untreated, treated n-2, treated n-2&n-1, and treated n-1; n is the sampling year.
Toxins 15 00184 g002
Figure 3. Incidence (%) of A. flavus strains belonging to the AF- VCG IT006 on total number of A. flavus isolates, the active ingredient of AF-X1 in soil samples collected in 2020 (a), and 2021 (b); soil samples were collected from 3 areas in 2020 (a), and 4 areas in 2021 (b), belonging to 4 districts: 1 (Rovigo), 2 (Rovigo), and 3 (Rovigo) in 2020, and 4 (Modena), 5 (Rovigo), 6 (Padova), and 7 (Venezia) in 2021. In each area, 4 different treatment regimens were applied: untreated, treated n-2, treated n-2&n-1, and treated n-1; n is the sampling year.
Figure 3. Incidence (%) of A. flavus strains belonging to the AF- VCG IT006 on total number of A. flavus isolates, the active ingredient of AF-X1 in soil samples collected in 2020 (a), and 2021 (b); soil samples were collected from 3 areas in 2020 (a), and 4 areas in 2021 (b), belonging to 4 districts: 1 (Rovigo), 2 (Rovigo), and 3 (Rovigo) in 2020, and 4 (Modena), 5 (Rovigo), 6 (Padova), and 7 (Venezia) in 2021. In each area, 4 different treatment regimens were applied: untreated, treated n-2, treated n-2&n-1, and treated n-1; n is the sampling year.
Toxins 15 00184 g003
Table 1. List of maize fields sampled in this study. Location (district and municipality), sampling year, geographic coordinates (latitude and longitude), AF-X1 treatment regimen (untreated, treated n-2, treated n-2&n-1, and treated n-1; n is the sampling year), soil texture, crop rotation (one or two years before sampling), and stalk burial were reported.
Table 1. List of maize fields sampled in this study. Location (district and municipality), sampling year, geographic coordinates (latitude and longitude), AF-X1 treatment regimen (untreated, treated n-2, treated n-2&n-1, and treated n-1; n is the sampling year), soil texture, crop rotation (one or two years before sampling), and stalk burial were reported.
Sampling YearArea N 1District 2Municipality 3LatitudeLongitudeTreatment 4Soil TypeRotation 1 5Rotation 2 6TillageStalk Burial
20201RovigoOcchiobello44.929738811.62801768UntreatedSiltMaizeTomatoTillNo
20201RovigoOcchiobello44.94313911.567212n-2SandMaizeMaizeTillNo
20201RovigoOcchiobello44.95158611.547809n-1&n-2SiltMaizeMaizeTillNo
20201RovigoOcchiobello44.95578911.554532n-1SiltMaizeTomatoTillNo
20202RovigoOcchiobello44.96943811.70443UntreatedSiltWheatPeaNo tillNo
20202RovigoOcchiobello44.9364546611.62733917n-2ClayWheatMaizeNo tillNo
20202RovigoFiesso Umbertino44.95543811.589537n-1&n-2SiltMaizeMaizeNo tillYes
20202RovigoOcchiobello44.9487976411.60269669n-1SiltMaizeWheatTillYes
20203RovigoOcchiobello44.9446984211.49092054UntreatedClayWheatWheatTillNo
20203RovigoOcchiobello44.9483421711.59027712n-2SandWheatMaizeTillYes
20203RovigoFiesso Umbertino44.97369511.630536n-1&n-2SiltMaizeMaizeTillYes
20203RovigoOcchiobello44.9623512511.6690985n-1SiltMaizeSoybeanTillYes
20214ModenaFinale Emilia44.8148311.217337UntreatedClayWheatMaizeTillNo
20214ModenaFinale Emilia44.82947711.094888n-2SiltWheatMaizeTillNo
20214ModenaFinale Emilia44.83593311.27449n-1&n-2SandMaizeMaizeTillNo
20214ModenaFinale Emilia44.8668911.174496n-1SiltMaizeWheatTillNo
20215RovigoOcchiobello44.9877811.698756UntreatedClaySoybeanWheatTillNo
20215RovigoOcchiobello44.93173511.629024n-2SiltSoybeanMaizeTillNo
20215RovigoOcchiobello44.95812511.627436n-1&n-2SiltMaizeMaizeTillYes
20215RovigoOcchiobello44.97176511.721178n-1SiltMaizeWheatTillYes
20216PadovaNoale45.5492512.052739UntreatedSiltSoybeanSoybeanTillYes
20216PadovaNoale45.54923312.05297n-2SiltSoybeanMaizeTillYes
20216PadovaNoale45.55316612.045033n-1&n-2ClayMaizeMaizeTillYes
20216PadovaNoale45.55275912.048152n-1ClayMaizeSoybeanTillYes
20217VeneziaScorzè45.56313612.10695UntreatedSiltSoybeanSoybeanTillYes
20217VeneziaScorzè45.56984212.099649n-2SiltSoybeanMaizeTillYes
20217VeneziaScorzè45.56597812.09769n-1&n-2SiltMaizeMaizeTillNo
20217VeneziaScorzè45.5635312.10323n-1SiltMaizeSoybeanTillNo
1 Number of areas, 3 areas in 2020 and 4 areas in 2021. 2 4 provinces in which sampled fields were located. 3 Different areas where the soil samples were collected from the surveyed fields. 4 Prior AF-X1 treatment and n refer to the sampling year. 5,6 Crop rotation for one and two years prior to sampling, respectively.
Table 2. Results of ANOVA run for colony-forming units (CFU/g) of total fungal community and of A. flavus resident in the soil samples collected from 3 areas in 2020 and 4 areas in 2021. The 7 different areas belong to 4 districts: Modena, Rovigo, Padova, and Venezia. Per each area, 4 different AF-X1 treatment regimens were considered: untreated, treated n-2, treated n-2&n-1, and treated n-1; n is the sampling year. Percentage of AF- strains on all A. flavus isolated was also reported, so was the percentage of the VCG IT006 on total A. flavus strains and on the AF- strains.
Table 2. Results of ANOVA run for colony-forming units (CFU/g) of total fungal community and of A. flavus resident in the soil samples collected from 3 areas in 2020 and 4 areas in 2021. The 7 different areas belong to 4 districts: Modena, Rovigo, Padova, and Venezia. Per each area, 4 different AF-X1 treatment regimens were considered: untreated, treated n-2, treated n-2&n-1, and treated n-1; n is the sampling year. Percentage of AF- strains on all A. flavus isolated was also reported, so was the percentage of the VCG IT006 on total A. flavus strains and on the AF- strains.
Sample YearTreatment YearN. of IsolatesReplicates 1Total Fungi
(CFU/g)
A. flavus
(CFU/g)
% AF- 2IT006 on
A. flavus
% 3
IT006 on A. flavus Atox
% 3
2020 **NSNSNS
Untreated393702 b51 c773748
2018443704 b163 ab754156
2018 + 2019423778 b190 a937277
20194432688 a86 b867788
2021 NSNSNS****
Untreated6041229963812 b23 b
2019544964637562 a86 a
2019 + 2020604863846857 a79 a
20205649431387254 a74 ab
2020, 2021 Combined NS******
Untreated997100377 b55 b23 b34 b
Treated 1 yr 198141271111 a77 ab58 a76 a
Treated 2 yrs1027826130 a79 a63 a78 a
1 Each replicate is a separate commercial field. 2 The % of AF- was calculated based on the total number of isolates of A. flavus p (120 and 279 isolates of A. flavus recovered in 2020 and 2021, respectively). ** (p < 0.01), * (p < 0.05); NS= not significant; different letters indicate significant difference according to Tukey’s HSD test. 3 Percentages were calculated based on the total number of isolates collected for each treatment.
Disclaimer/Publisher’s Note: The statements, opinions and data contained in all publications are solely those of the individual author(s) and contributor(s) and not of MDPI and/or the editor(s). MDPI and/or the editor(s) disclaim responsibility for any injury to people or property resulting from any ideas, methods, instructions or products referred to in the content.

Share and Cite

MDPI and ACS Style

Ouadhene, M.A.; Ortega-Beltran, A.; Sanna, M.; Cotty, P.J.; Battilani, P. Multiple Year Influences of the Aflatoxin Biocontrol Product AF-X1 on the A. flavus Communities Associated with Maize Production in Italy. Toxins 2023, 15, 184. https://doi.org/10.3390/toxins15030184

AMA Style

Ouadhene MA, Ortega-Beltran A, Sanna M, Cotty PJ, Battilani P. Multiple Year Influences of the Aflatoxin Biocontrol Product AF-X1 on the A. flavus Communities Associated with Maize Production in Italy. Toxins. 2023; 15(3):184. https://doi.org/10.3390/toxins15030184

Chicago/Turabian Style

Ouadhene, Mohamed Ali, Alejandro Ortega-Beltran, Martina Sanna, Peter J. Cotty, and Paola Battilani. 2023. "Multiple Year Influences of the Aflatoxin Biocontrol Product AF-X1 on the A. flavus Communities Associated with Maize Production in Italy" Toxins 15, no. 3: 184. https://doi.org/10.3390/toxins15030184

APA Style

Ouadhene, M. A., Ortega-Beltran, A., Sanna, M., Cotty, P. J., & Battilani, P. (2023). Multiple Year Influences of the Aflatoxin Biocontrol Product AF-X1 on the A. flavus Communities Associated with Maize Production in Italy. Toxins, 15(3), 184. https://doi.org/10.3390/toxins15030184

Note that from the first issue of 2016, this journal uses article numbers instead of page numbers. See further details here.

Article Metrics

Back to TopTop