Next Article in Journal
Anatomical Injection Guidelines for Glabellar Frown Lines Based on Ultrasonographic Evaluation
Previous Article in Journal
The Prescription of Drugs That Inhibit Organic Anion Transporters 1 or 3 Is Associated with the Plasma Accumulation of Uremic Toxins in Kidney Transplant Recipients
 
 
Font Type:
Arial Georgia Verdana
Font Size:
Aa Aa Aa
Line Spacing:
Column Width:
Background:
Article

Epimerization of Deoxynivalenol by the Devosia Strain A6-243 Assisted by Pyrroloquinoline Quinone

Laboratory of Enzyme Engineering, College of Food Science and Technology, Nanjing Agricultural University, Nanjing 210095, China
*
Authors to whom correspondence should be addressed.
Toxins 2022, 14(1), 16; https://doi.org/10.3390/toxins14010016
Submission received: 21 November 2021 / Revised: 20 December 2021 / Accepted: 22 December 2021 / Published: 25 December 2021

Abstract

:
Deoxynivalenol (DON) is a secondary metabolite produced by several Fusarium species that is hazardous to humans and animals after entering food chains. In this study, by adding cofactors, the Devosia strain A6-243 is identified as the DON-transforming bacteria from a bacterial consortium with the ability to biotransform DON of Pseudomonas sp. B6-24 and Devosia strain A6-243, and its effect on the biotransformation process of DON is studied. The Devosia strain A6-243 completely biotransformed 100 μg/mL of DON with the assistance of the exogenous addition of PQQ (pyrroloquinoline quinone) within 48 h and produced non-toxic 3-epi-DON (3-epi-deoxynivalenol), while Pseudomonas sp. B6-24 was not able to biotransform DON, but it had the ability to generate PQQ. Moreover, the Devosia strain A6-243 not only degraded DON, but also exhibited the ability to degrade 3-keto-DON (3-keto-deoxynivalenol) with the same product 3-epi-DON, indicating that DON epimerization by the Devosia strain A6-243 is a two-step enzymatic reaction. The most suitable conditions for the biodegradation process of the Devosia strain A6-243 were a temperature of 16–37 °C and pH 7.0–10, with 15–30 μM PQQ. In addition, the Devosia strain A6-243 was found to completely remove DON (6.7 μg/g) from DON-contaminated wheat. The results presented a reference for screening microorganisms with the ability of biotransform DON and laid a foundation for the development of enzymes for the detoxification of mycotoxins in grain and its products.
Key Contribution: A single strain capable of biotransforming DON was isolated from a mixed bacteria culture of Pseudomonas sp. B6-24 and Devosia strain A6-243. It was found that the lack of PQQ synthesis gene limits the detoxification effect of the Devosia strain A6-243, while Pseudomonas sp. B6-24 played the role of providing PQQ. Additionally, the main intermediate metabolite was identified as 3-epi-deoxynivalenol.

1. Introduction

Mycotoxins, including deoxynivalenol, trichothecenes, zearalenone, and aflatoxins, which are secondary metabolites that are mainly produced by Aspergillus, Penicillium, and Fusarium genera, are toxic to both humans and animals [1,2,3,4,5]. Among these, deoxynivalenol (DON, also known as vomitoxin) is the most abundant mycotoxin in cereal crops [6,7,8]. The accumulation of DON in the food chain threatens food safety and harms human health, causing appetite disturbance, immune suppression, nausea, and vomiting [3,9,10]. Therefore, the question of how to effectively diminish human exposure to DON needs to be urgently studied.
Several approaches have been applied to control and reduce DON contamination of crops, e.g., conventional physical and chemical detoxification as well as biodegradation by microorganisms [11]. Among these, biodegradation is considered to be the most environmentally friendly [2,8,12], as it produces the least amount of harmful substances and has less impact and a lower cost on food quality. The biodegradation of DON occurs mainly via oxidation and epimerization on C3 and de-epoxidation on C12–13, which are the principal moieties responsible for the toxicity of DON. The de-epoxidation of DON to de-epoxy-DON (DOM-1) by intestinal microorganisms requires anaerobic conditions that limit its application in agriculture and industry [4,7,13,14,15,16,17,18]. Oxidation and epimerization at C-3 transforms DON into 3keto and 3 epi DON, which are less toxic than DON [2,3]. To date, several microorganisms with the ability to biotransform DON have been successfully isolated, including Aspergillus tubingensis, Nocardioides sp., and Devosia sp. [17,19,20,21]. However, little is known about the enzymes involved in the transformation of DON and the underlying mechanisms. Recently, two enzymes called DepA and DepB were isolated from Devosia sp., which converted DON to 3-keto-DON and 3-keto-DON to 3-epi-DON, respectively [7]. This is the first time that research has proven that the complete isomerization process at the C3 position of DON is actually a two-part reaction involving two enzymes. Interestingly, the exogenous coenzyme pyrroloquinoline quinone (PQQ) is needed to assist DON biotransformation processes. For example, the enzymes DepA from Devosia mutants 17-2-E-8 and QADH from Devosia strain D6-9 both catalyze DON to form 3-keto-DON in the presence of PQQ. When no PQQ is present, they all lose their catalytic activity [22,23]. Since single bacterial strains cannot biotransform DON due to their weak ability to produce PQQ, the appropriate addition of exogenous PQQ may be beneficial for the screening of bacteria related to the biotransformation pathway. For some mixed bacteria cultures, one kind of bacteria produces cofactors to support another kind of bacteria with the enzymes, together building up the ability to biotransform DON.
In a previous study, we isolated mixed bacteria cultures of Pseudomonas sp. B6-24 and Devosia strain A6-243 [24], which were able to completely biotransform DON within 48 h. However, the Pseudomonas sp. B6-24 or Devosia strain A6-243 alone did not have the ability to biotransform DON. In the present study, different cofactors are added to isolate a single strain with the ability of biotransform DON from this mixed strain. On this basis, the biotransformation process is studied. Furthermore, the effect of the single strain on the biotransformation of DON in grains contaminated by Fusarium graminearum in practice is studied. Our research provides a method for screening and identifying new bacterial strains and enzymes that can biotransform DON.

2. Results

2.1. Isolation of DON-Transforming Bacteria from Soil Samples

In a previous study, we isolated a bacterial consortium of Pseudomonas sp. B6-24 and Devosia A6-243 with the ability of biotransform DON [25]. The bacterial consortium of Pseudomonas sp. B6-24 and Devosia strain A6-243 was able to completely biotransform 50 μg/mL of DON within 72 h (Figure 1). Additionally, in the presence of 100 μM of PQQ, the Devosia strain A6-243 alone could biotransform 50 μg/mL of DON.

2.2. The Effect of CoFactors on DON Biotranformation by Devosia Strain A6-243 and Pseudomonas sp. B6-24

To explore the effects of cofactors on the DON biotransformation process by the mixed bacteria culture, different cofactors (PQQ, NAD+, NADH, NADP+, and NADPH) were added to the culture during the cultivation. Apart from PQQ, other cofactors (NAD+, NADH, NADP+, and NADPH) showed no obvious effect on the biotransformation process by each single isolate of the mixed bacteria culture. The single isolate Devosia strain A6-243 supplied with exogenous PQQ was able to completely biotransform DON, while the strain showed no activity of biotransforming DON in the absence of PQQ (Figure 2A). By contrast, the single isolate Pseudomonas sp. B6-24 exhibited no activity of biotransforming DON in the presence of each cofactor (Figure 2A), indicating that Pseudomonas sp. B6-24 may act as a PQQ source in the bacterial consortium to trigger the biotransformation of DON by the Devosia strain A6-243 (Figure 2B).

2.3. Analysis of Transformation Conditions on DON Biotransformation

The effects of PQQ concentration, temperature, and pH on the biotransformation processes of the Devosia strain A6-243 were studied. The Devosia strain A6-243 biotransformed 100% of DON when 15–30 μM of PQQ was added (Figure 3A). As shown in Figure 3B, the Devosia strain A6-243 was able to completely biotransform DON in the range of 16–37 °C within 48 h, and the biotransformation slowed down at 42 °C. The Devosia strain A6-243 was able to biotransform DON completely in a from pH 6.0 to 9.0 within 48 h (Figure 3C), with 95% of DON being degraded at pH 10.0.

2.4. Characterization of DON Biotransformation Products by the Devosia Strain A6-243

The identification of DON biotransformation products is essential for determining the involved pathways. The scaled-up biotransformation of DON by the Devosia strain A6-243 led to the isolation and purification of the major biotransformation products.
Compound A and DON were eluted at 8.2 min and 10.5 min, respectively, from a C18 column using a reverse-phase LC method in this study, indicating that compound A is more polar than DON (Figure 4B). According to a previous study [24], the retention time was the same as 3-epi-DON; then we used NMR and MS to confirm it. Through a pre-LC followed by analytical HPLC, one major intermediate, compound A, was revealed at 12.0 min of elution (Figure 5A). The purified compound A (5 mg) was characterized by LC/MS/MS and 1H and 13C NMR spectroscopy. According to its LC/MS/MS data (m/z 297.1338 ([M + H]+)), the molecular formula of the degradation product A was determined to be C15H20O6 (Figure 5). The characteristic ions of compound A at 297, 279, 261, 249, and 231 were the same as those of DON, but their relative abundances differed. Therefore, we speculated that the structure of compound A was 3-epi-DON. Further NMR data (Table 1) indicated the compound A was similar to that of DON, but the signal of H4 changed, meaning that the conformation of C3-OH had changed. These results confirmed that the DON biotransformation product was 3-epi-DON.

2.5. Characteristics of Deoxynivalenol Biotransformation by the Devosia Strain A6-243

To investigate the biotransformation of DON by the Devosia strain A6-243 over time, the decrease in the accumulation of DON and 3-epi-DON was studied. As shown in Figure 6, DON was biodegraded at 12 h of the reaction and completely converted into 3-epi-DON after 48 h of cultivation.
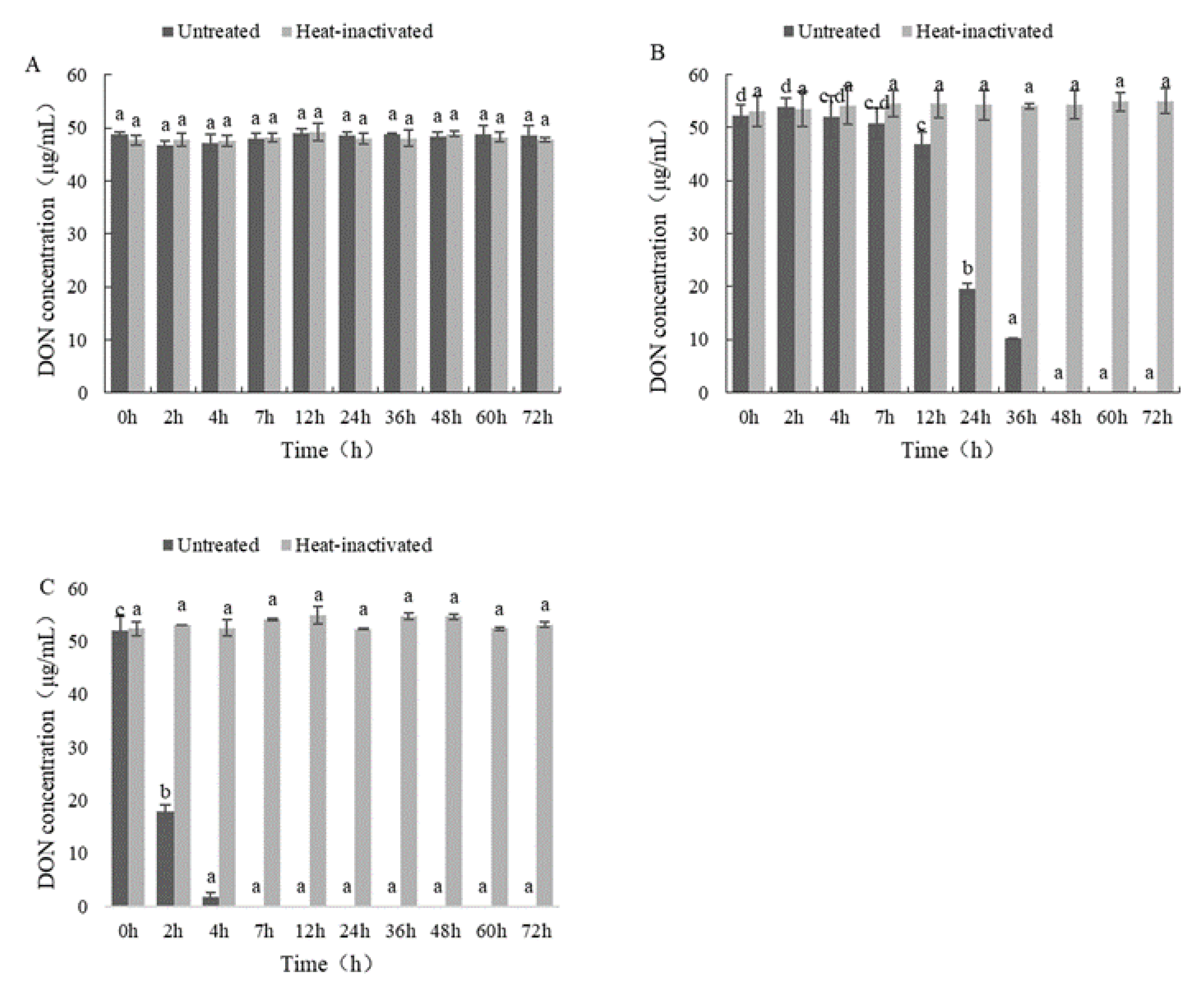
To define the components of the Devosia strain A6-243 that possess the ability to biotransform DON, the heat-inactivated and untreated supernatant, cell lysates, and cell debris of the Devosia strain A6-243 were investigated. The untreated cell lysates and cell debris were able to completely biotransform DON within 24 and 8 h, respectively (Figure 7). By contrast, the heat-inactivated supernatant, cell lysates, and cell debris did not show the ability of biotransform DON. The results indicated that DON is biotransformed and not absorbed by some bacterial structures.

2.6. Biotransformation of 3-Keto-DON by the Devosia Strain A6-243

The conversion of DON to 3-epi-DON via a two-step enzymatic reaction has been reported, where DON is first oxidized to 3-keto-DON and then reduced to 3-epi-DON [7]. Thus, to verify the epimerization process of DON by the Devosia strain A6-243, DON and 3-keto-DON were used as substrates in the process. As shown in Figure 8, DON and 3-keto-DON were completely biotransformed by the Devosia strain A6-243 within 48 h, suggesting that the DON epimerization of the Devosia strain A6-243 was also via a two-step enzymatic DON detoxification pathway.

2.7. Biotransformation of DON on Wheat Grain by the Devosia Strain A6-243

The DON biotransformation ability of the Devosia strain A6-243 in wheat grains was also studied. The DON content in wheat samples was 6.7 μg/g before treatment, and after 6 h incubation, the biotransformation rate of DON reached 85%. No DON could be detected after incubation with the Devosia A6-243 for 12 h, and the heat-inactivated sample showed no biotransformation ability after incubation for 12 h (Figure 9). These results establish that the strain D6-9 completely eliminates DON from wheat and can potentially be used for the detoxification of DON in agricultural products.

3. Discussion

This report proposes the use of PQQ to screen bacteria that can biotransform DON. This is extremely helpful for controlling screening costs and improving screening efficiency. The organisms known to produce PQQ are limited to certain Gram-negative bacteria, including Acinetobactercalcoaceticus, Klebsiellapneu-moniae, Pseudomonas fluorescens, Methylobacteriumsquamosa, Methylobacteriumorgani-cophilum, etc. [26]. Only Pseudomonas sp. B6-24 did not biotransform DON, even when the exogenous cofactors NAD (H), NADP (H), and PQQ were added. The ability of Pseudomonas sp. B6-24 to generate PQQ has also been confirmed by the NBT chemical method (data not shown) and HPLC (Figure 2B). The results showed that Pseudomonas sp. B6-24 had the ability to produce PQQ, which can be used for the biotransformation of DON with the Devosia strain A6-243. A previous study pointed out that the enzymes DepA and QADH derived from Devosia strains are both dependent on PQQ. Without PQQ, a simple enzyme does not have the ability to biotransform DON [22]. Interestingly, while we co-culture the purified DepA with Pseudomonas sp. in MMT media, DepA restores the biotransformation ability of DON, which indicates that PQQ produced by Pseudomonas sp. can be directly used by other types of enzymes. Considering the total amount of culture medium needed to screen strains, it is evidently impractical to add expensive exogenous PQQ to it. Therefore, the use of easy to cultivate and stable growth of PQQ-producing bacterial culture to replace pure PQQ as an exogenous additive is extremely meaningful for saving screening costs.
This research has also explored whether the mechanism of mixed bacteria to biotransform DON is the same as the epimerization with other bacteria [26,27]. Researchers have screened microorganisms that can isomerize DON from various environmental samples, such as soil rhizobium E3-39, Devosia mutants 17-2-E-8, and Sphingomonas S3-4 [7,28,29]. It has been reported that the epimerization of DON is a two-step enzymatic reaction by Devosia mutans 17-2-E-8, with 3-epi-DON as a final product [22,30]. Other studies have showed that isolated strains are able to either convert DON to 3-keto-DON or convert 3-keto-DON to 3-epi-DON [20,21,29]. In this study, a mixed bacteria culture of Pseudomonas sp. B6-24 and the Devosia strain A6-243 with DON-degrading activity was isolated, which completely biotransformed DON (100 μg/mL) within 48 h [25]. It biotransformed both DON and 3-keto-DON, with the final product being 3-epi-DON. This is different from previous mixed bacteria cultures, since most of these can only turn DON to 3-keto-DON, such as A culture D107 (mixture) [31]. In fact, the main single bacteria strains that can epimerize and degrade DON are Devosia sp., owing to the two types of enzymes classified as PQQ-dependent dehydrogenase and NADPH-dependent reductase, which have the functions of biotransforming DON to 3-keto-DON and biotransforming 3-keto-DON to 3-epi-DON, respectively [22,23,28]. Considering the relationship between the mixed bacteria, the biotransformation ability of each single isolate was studied. Since most bacteria can produce NADPH in their own metabolism, it was demonstrated that this strain lacks the ability to produce PQQ to activate the intrinsic enzymes with this function. In order to verify this hypothesis, exogenous PQQ was added to test whether it restored the degradation ability of the Devosia strain A6-243. As expected, when exogenous PQQ was added, this strain exhibited the ability to biotransform DON. These results indicate that the main biotransformation enzyme is present in the Devosia strain A6-243; subsequently, the whole-genome sequencing of Devosia strain A6-243 was performed and successfully discovered a PQQ-dependent alcohol dehydrogenase, which had an approximately 60% similarity to DepA (data not shown). This enzyme had the same effect as DepA and QADH and was able to biotransform DON into 3-keto-DON in the presence of exogenous PQQ. More similarly, there was at least one enzyme in the Devosia strain A6-243 that quickly biotransformed 3-keto-DON to 3-epi-DON, as we did not observe the accumulation of 3-keto-DON in the product. It seems that different kinds of Devosia have different biotransformation effects—for example, Devosia insulae A16 can only biotransform DON to 3-keto-DON [21]. These differences may be caused by the type and quantity of dehydrogenase and aldehyde ketone reductase in bacteria. From these results, it can be found that the lack of a PQQ synthesis gene limits the detoxification effect of some Devosia strains, leaving some strains with an undiscovered detoxification potential.
In addition, for some mixed cultures, the inherent biotransformation mechanism remains to be studied. Maybe some of their enzymes are not PQQ dependent, or some bacteria may have one-step detoxification enzymes. Sato [17] reported nine Nocardioides sp. and five Devosia sp. that can biotransform DON to 3-epi-DON. Although the mechanism by which mixed bacteria biotransform toxins was not clarified, the internal mechanism should be the same. Previously, Zhai [24] screened a mixed culture of two novel strains named Pseudomonas sp. Y1 and Lysobacter sp. S1, which showed the sustained transformation of DON into the metabolite 3-epi-deoxynivalenol. Generally, Pseudomonas sp. has potential synthetic function with PQQ, but there are fewer reports regarding the ability of Lysobacter sp. to biotransform DON. It seems that the mechanisms by which these two mixed bacteria biotransform vomiting are different.
In this paper, the DON-transforming activity of the Devosia strain A6-243 was found in cell debris and cell lysates, but heat-inactivated supernatant, cell debris, and cell lysates showed no DON-transforming activity. Thus, an enzymatic reaction was involved in this biotransformation process, and the epimerase was mainly located in the cell membrane. Furthermore, the biotransformation conditions were also investigated, and the results showed that the most suitable conditions for the biotransformation of the Devosia strain A6-243 were at 37 °C and pH 7.0, which was similar to that of the D. insulae A16 reported by Wang et al. [21]. Finally, the DON biotransformation ability of the Devosia strain A6-243 in DON-contaminated wheat grains was investigated. The results showed that the Devosia strain A6-243 exhibited a strong DON-transforming ability and could completely biotransform DON (6.7 μg/g) in DON-contaminated wheat grains. These results demonstrated that the Devosia strain A6-243 could completely biotransform DON in wheat grains, and it exhibited an enormous potential to be used as an additive in crops to address DON contamination problems under empirical field conditions.

4. Conclusions

Previously, mixed bacterial cultures of Pseudomonas sp. B6-24 and Devosia strain A6-243 with DON biotransformation activity were isolated. In order to further analyze which bacteria played the main role in the DON biotransformation by Pseudomonas sp. B6-24 and Devosia strain A6-243, the DON-transforming ability of each single isolate was studied. The results showed that each single isolate lost its DON-transforming ability, although there was no observable detrimental effect on bacterial cell growth. Interestingly, the Devosia strain A6-243 recovered its DON biotransformation activity with the assistance of the exogenous cofactor PQQ. The Devosia strain A6-243 was not only able to biotransform DON, but also exhibited 3-keto-DON biotransformation activity, with epi-DON being the main product, indicating that a two-step enzymatic reaction was involved in this biotransformation process. These products have been shown to be less toxic [2]. The most suitable conditions for the biodegradation process of the Devosia strain A6-243 were at 16–37 °C and pH 7.0–10 with 15–30 μM PQQ. Moreover, the Devosia strain A6-243 showed a strong DON detoxification ability in DON-contaminated wheat and DON was converted to 3-epi-DON in wheat grains (6.7 μg/g). These results indicate the potential of the use of the Devosia strain A6-243 as a DON biotransformation agent to control DON contamination in cereal grains.

5. Materials and Methods

5.1. Chemicals and Media

DON and 3-keto-DON standards were purchased from TripleBond (Guelph, ON, Canada). Mineral salt medium (MM) was formulated as described previously [24], with slight modifications (1.6 g/L Na2SO4·12H2O, 1.0 g/L KH2PO4, 0.5 g/L MgSO4·7H2O, 0.5 g/L NaNO3, 0.5 g/L (NH4)2SO4, and 0.025 g/L CaCl2). Mineral salt with tryptone medium (MMT) was composed of basic MM supplemented with 2 g of tryptone.

5.2. Apparatus and Conditions for High-Performance Liquid Chromatography and Preparative Liquid Chromatography

A high-performance liquid chromatography (HPLC) analysis was conducted using an Ultimate 3000 station (Thermo, Shanghai, China) equipped with an ultraviolet detector. The chromatographic column used a 5HC-C18 analytical column (250 mm × 4.6 mm, Agilent). Isocratic elution was performed with methanol and water (30:70, v/v) at a flow velocity of 0.6 mL/min. The injection volume was 20 µL. Under this condition, DON was eluted at 10.5 min, and 3-epiDON at 8.0 min. Preparative liquid chromatography (Pre-LC) was performed using a Waters 600 controller (Waters, Massachusetts, USA) equipped with an ultraviolet detector. The chromatographic column was performed using an XBridge C-18 column (19 mm × 150 mm, film thickness 5 μm; Waters). Isocratic elution was performed with methanol and water (30:70, v/v) at a flow velocity of 4 mL/min. The injection volume was five milliliters. Under these conditions, DON was eluted at 20.0 min, and 3-epi-DON at 12.0 min. HPLC and pre-LC were both performed at a wavelength of 218 nm.

5.3. DON-Transforming Activity Analysis of Deoxynivalenol-Degrading Bacteria

Mixed bacteria cultures of Pseudomonas sp. B6-24 and Devosia A6-243 with a high DON-transforming activity were used for enrichment. An aliquot (20 μL) of the culture was transferred to 2 mL of MMT with 50 μg/mL of DON and cultured at 37 °C and 180 rpm for 72 h. After 72 h of incubation, an aliquot (20 μL) of the culture was transferred to fresh MMT. In negative controls, no mixed bacteria were added. Each procedure was repeated ten times, and the DON-transforming activity of the culture was examined by high-performance liquid chromatography (HPLC) before every sample was transferred to fresh MMT.

5.4. The Effect of CoFactors on DON Biotransformation by the Devosia Strain A6-243 and Pseudomonas sp. B6-24

In order to study the effect of cofactors on the biotransformation of DON by Devosia strain A6-243 and Pseudomonas sp. B6-24, the Devosia strain A6-243 and Pseudomonas sp. B6-24 were inoculated into MMT medium at 37 °C for 72 h. The seed culture (20 μL) of the Devosia strain A6-243 and Pseudomonas sp. B6-24 was inoculated into 2 mL of MMT medium (100 μg/mL DON) containing different cofactors (PQQ, NAD+, NADH, NADP+, and NADPH, 100 μM). Then, each sample was cultured at 37 °C and 180 rpm for 72 h, and the DON concentrations were analyzed by HPLC.
In order to study whether PQQ was produced in the culture of Pseudomonas sp. B6-24, the NBT chemical method was used to detect PQQ in the culture medium. Pseudomonas sp. B6-24 were inoculated in an MMT medium at 37 °C for 72 h, and the supernatant was collected by centrifuge at 8000× g rpm for 10 min. The PQQ was detected by NBT chemical method. Briefly, an aliquot of 10 µL of supernatant was added to buffer containing 40 µL 20 mM PBS (pH = 7.0), 90 µL 20 mM Gly-KOH (pH = 10.0), and 10 µL 3.6 mM NBT. A buffer containing 10 μL PQQ was set as the positive control. Then, the reaction was incubated at 30 °C for 1 h in the dark. The absorbance was determined at 535 nm. DepA [22], a PQQ-dependent enzyme, was expressed and purified in our laboratory, and was used to further verify the ability of Pseudomonas sp. B6-24 to produce PQQ. The Pseudomonas sp. B6-24 supplemented with 500 μM DON was incubated with the DepA (30 μg) and Ca2+ (10 μM) at 37 °C for 48 h. The mixture without Pseudomonas sp. B6-24 was used as a negative control.

5.5. Effect of Transformation Conditions on DON Biotransformation

Various cultural conditions, such as PQQ concentration (0 μM, 10 μM, 15 μM, 20 μM, and 30 μM), incubation temperature (16 °C, 20 °C, 25 °C, 30 °C, 37 °C, and 42 °C), and medium pH (3.0, 4.0, 5.0, 6.0, 7.0, 8.0, 9.0, and 10.0), were optimized in order to enhance the DON-biotransforming ability of the Devosia strain A6-243. The one-factor-at-a-time method was used to optimize the process parameters. The reactions were incubated at 180 rpm for 48 h and the DON concentrations were analyzed by HPLC.

5.6. Characterization of DON Biotransformation Products

To investigate the major products of DON biotransformation by the Devosia strain A6-243, the strain was inoculated into the medium and cultured at 37 °C and 180 rpm for 72 h. The culture was harvested by centrifugation at 4 °C and 8000× g rpm for 10 min, and the precipitate was washed twice in a buffer containing 50 mM of K2HPO4-KH2PO4, pH = 7.0, 300 mM NaCl, and subjected to ultrasonication for cell disruption. The disrupted cells were removed by centrifugation at 4 °C for 10 min, and the supernatant was collected and incubated with 10 mg of DON and 20 μM PQQ at 37 °C for 72 h. The supernatant was injected into the pre-LC column, and the DON-transforming products were identified according to retention times and verified by HPLC. The collected fractions were concentrated using a rotary evaporator and dissolved in water. Then, the products were extracted three times, each time using ethyl acetate. The upper layer was collected and dried using a nitrogen stream to remove the ethyl acetate. Finally, 5.0 mg of pure compound A was obtained. The structure of compound A was determined by G2-XS QTof- LC–MS system (Waters, ON, USA). and an NMR spectrometer (Bruker 400 M, ON, Germany).

5.7. Analysis of 3-Keto-DON Biotransformation by the Devosia Strain A6-243

In order to analyze the DON metabolic pathway of the Devosia strain A6-243, the strain was incubated with DON or 3-keto-DON. The Devosia strain A6-243 was inoculated into 2 mL of an MMT liquid medium and incubated for 48 h, and then DON and 3-keto-DON (150 μg/mL) were added to the culture, respectively. The culture was incubated at 37 °C for different lengths of time, and acidified methanol was added to terminate the reaction. The concentration changes of DON and 3-keto-DON in the reaction system were detected by HPLC.

5.8. Biotransformation of DON on Wheat Grain by the Devosia Strain A6-243

Wheat cultivar Zhengmai9023 grains (autoclaved for 18 min at 121 °C) that had acquired Fusarium head blight (FHB) pathogens were used to measure the DON-transforming ability of the Devosia strain A6-243, with heat-inactivated Devosia strain A6-243 cells used as a negative control. After 72 h of culture in MMT, the cells were harvested by centrifugation and added to reactions containing 2× g of autoclaved wheat and 10 μM of PQQ in 2 mL of a sodium phosphate buffer (50 mM, pH 7.0). The reactions were incubated at 37 °C for 12 h. The samples were dried and ground; then, the DON was extracted with acetonitrile and water and assayed by HPLC [23].

5.9. Statistical Analysis

The experimental results were expressed as the means and standard deviations (SDs) of the replicate determinations. All statistical analyses were carried out using Origin 2021.

Author Contributions

Conceptualization, F.L. and M.C.; methodology, H.G. and F.L.; software, H.G.; validation, J.N., H.Y., and M.C.; formal analysis, H.G.; investigation, H.G., F.M., H.Y., F.L., and M.C.; resources, F.L.; data curation, H.G., F.M., F.L., and M.C.; writing—original draft preparation, H.G.; writing—review and editing, J.N., H.Y., F.L., and M.C.; visualization, H.G., F.M., H.Y., and M.C.; supervision, Z.L., L.Z., F.M., and F.L.; project administration, F.L.; funding acquisition, F.L. All authors have read and agreed to the published version of the manuscript.

Funding

This research and the APC was funded by National Natural Science Foundation of China (grant number 31871742).

Institutional Review Board Statement

Not applicable.

Informed Consent Statement

Not applicable.

Data Availability Statement

Not applicable.

Conflicts of Interest

The authors declare no conflict of interest.

References

  1. Khaneghah, A.M.; Martins, L.M.; von Hertwig, A.M.; Bertoldo, R.; Sant’Ana, A.S. Deoxynivalenol and its masked forms: Characteristics, incidence, control and fate during wheat and wheat based products processing—A review. Trends Food Sci. Technol. 2018, 71, 13–24. [Google Scholar] [CrossRef]
  2. Pierron, A.; Mimoun, S.; Murate, L.S.; Loiseau, N.; Lippi, Y.; Bracarense, A.; Schatzmayr, G.; He, J.W.; Zhou, T.; Moll, W.D.; et al. Microbial biotransformation of DON: Molecular basis for reduced toxicity. Sci. Rep. 2016, 6, 29105. [Google Scholar] [CrossRef] [PubMed] [Green Version]
  3. Payros, D.; Alassane-Kpembi, I.; Pierron, A.; Loiseau, N.; Pinton, P.; Oswald, I.P. Toxicology of deoxynivalenol and its acetylated and modified forms. Arch. Toxicol. 2016, 90, 2931–2957. [Google Scholar] [CrossRef]
  4. Ahad, R.; Zhou, T.; Lepp, D.; Pauls, K.P. Microbial detoxification of eleven food and feed contaminating trichothecene mycotoxins. BMC Biotechnol. 2017, 17, 30. [Google Scholar] [CrossRef] [Green Version]
  5. Escriva, L.; Font, G.; Manyes, L. In vivo toxicity studies of fusarium mycotoxins in the last decade: A review. Food Chem. Toxicol. 2015, 78, 185–206. [Google Scholar] [CrossRef] [PubMed]
  6. Yan, P.-P.; Liu, Z.-Z.; Liu, S.-Q.; Yao, L.-Y.; Wu, Y.-Q.; Gong, Z.-Y. Natural occurrence of deoxynivalenol and its acetylated derivatives in chinese maize and wheat collected in 2017. Toxins 2020, 12, 200. [Google Scholar] [CrossRef] [PubMed] [Green Version]
  7. He, J.W.; Hassan, Y.I.; Perilla, N.; Li, X.Z.; Boland, G.J.; Zhou, T. Bacterial epimerization as a route for deoxynivalenol detoxification: The influence of growth and environmental conditions. Front. Microbiol. 2016, 7, 572. [Google Scholar] [CrossRef] [PubMed] [Green Version]
  8. Lyu, F.; Gao, F.; Zhou, X.X.; Zhang, J.Y.; Ding, Y.I. Using acid and alkaline electrolyzed water to reduce deoxynivalenol and mycological contaminations in wheat grains. Food Control 2018, 88, 98–104. [Google Scholar] [CrossRef]
  9. Streit, E.; Schatzmayr, G.; Tassis, P.; Tzika, E.; Marin, D.; Taranu, I.; Tabuc, C.; Nicolau, A.; Aprodu, I.; Puel, O.; et al. Current situation of mycotoxin contamination and co-occurrence in animal feed-focus on Europe. Toxins 2012, 4, 788–809. [Google Scholar] [CrossRef] [Green Version]
  10. Hassan, Y.I.; Watts, C.; Li, X.Z.; Zhou, T. A novel peptide-binding motifs inference approach to understand deoxynivalenol molecular toxicity. Toxins 2015, 7, 1989–2005. [Google Scholar] [CrossRef] [PubMed] [Green Version]
  11. Murata, H.; Mitsumatsu, M.; Shimada, N. Reduction of feed-contaminating mycotoxins by ultraviolet irradiation: An in vitro study. Food Addit. Contam. 2008, 25, 1107–1110. [Google Scholar] [CrossRef] [PubMed]
  12. Tian, Y.; Tan, Y.L.; Liu, N.; Liao, Y.C.; Sun, C.P.; Wang, S.X.; Wu, A.B. Functional agents to biologically control deoxynivalenol contamination in cereal grains. Front. Microbiol. 2016, 7, 395. [Google Scholar] [CrossRef]
  13. Li, X.Z.; Zhu, C.; de Lange, C.F.M.; Zhou, T.; He, J.; Yu, H.; Gong, J.; Young, J.C. Efficacy of detoxification of deoxynivalenol-contaminated corn by Bacillus sp. LS100 in reducing the adverse effects of the mycotoxin on swine growth performance. Food Addit. Contam. Part A 2011, 28, 894–901. [Google Scholar] [CrossRef]
  14. Cote, L.M.; Nicoletti, J.; Swanson, S.P.; Buck, W.B. Production of deepoxydeoxynivalenol (DOM-1), a metabolite of deoxynivalenol, by in vitro rumen incubation. J. Agric. Food Chem. 1986, 34, 458–460. [Google Scholar] [CrossRef]
  15. He, P.; Young, L.G.; Forsberg, C. Microbial transformation of deoxynivalenol (vomitoxin). Appl. Environ. Microbiol. 1992, 58, 3857–3863. [Google Scholar] [CrossRef] [PubMed] [Green Version]
  16. Hassan, Y.I.; Zhu, H.H.; Zhu, Y.; Zhou, T. Beyond ribosomal binding: The increased polarity and aberrant molecular interactions of 3-epi-deoxynivalenol. Toxins 2016, 8, 261. [Google Scholar] [CrossRef] [Green Version]
  17. Ikunaga, Y.; Sato, I.; Grond, S.; Numaziri, N.; Yoshida, S.; Yamaya, H.; Hiradate, S.; Hasegawa, M.; Toshima, H.; Koitabashi, M.; et al. Nocardioides sp. strain WSN05-2, isolated from a wheat field, degrades deoxynivalenol, producing the novel intermediate 3-epi-deoxynivalenol. Appl. Microbiol. Biotechnol. 2011, 89, 419–427. [Google Scholar] [CrossRef] [Green Version]
  18. He, W.J.; Yuan, Q.S.; Zhang, Y.B.; Guo, M.W.; Gong, A.D.; Zhang, J.B.; Wu, A.B.; Huang, T.; Qu, B.; Li, H.P.; et al. Aerobic de-epoxydation of trichothecene mycotoxins by a soil bacterial consortium isolated using in situ soil enrichment. Toxins 2016, 8, 277. [Google Scholar] [CrossRef] [Green Version]
  19. He, C.; Fan, Y.; Liu, G.; Zhang, H. Isolation and identification of a strain of aspergillustubingensis with deoxynivalenol biotransformation capability. Int. J. Mol. Sci. 2008, 9, 2366–2375. [Google Scholar] [CrossRef]
  20. Hassan, Y.I.; He, J.W.; Perilla, N.; Tang, K.J.; Karlovsky, P.; Zhou, T. The enzymatic epimerization of deoxynivalenol by Devosia mutans proceeds through the formation of 3-keto-DON intermediate. Sci. Rep. 2017, 7, 6929. [Google Scholar] [CrossRef] [PubMed] [Green Version]
  21. Wang, G.; Wang, Y.; Ji, F.; Xu, L.; Yu, M.; Shi, J.; Xu, J. Biodegradation of deoxynivalenol and its derivatives by Devosia insulae A16. Food Chem. 2019, 276, 436–442. [Google Scholar] [CrossRef] [PubMed]
  22. Carere, J.; Hassan, Y.I.; Lepp, D.; Zhou, T. The enzymatic detoxification of the mycotoxin deoxynivalenol: Identification of DepA from the DON epimerization pathway. Microb. Biotechnol. 2018, 11, 1106–1111. [Google Scholar] [CrossRef] [PubMed]
  23. He, W.-J.; Shi, M.-M.; Yang, P.; Huang, T.; Zhao, Y.; Wu, A.-B.; Dong, W.-B.; Li, H.-P.; Zhang, J.-B.; Liao, Y.-C. A quinone-dependent dehydrogenase and two NADPH-dependent aldo/ketoreductases detoxify deoxynivalenol in wheat via epimerization in a Devosia strain. Food Chem. 2020, 321, 126703. [Google Scholar] [CrossRef]
  24. Zhai, Y.; Zhong, L.; Gao, H.; Lu, Z.; Bie, X.; Zhao, H.; Zhang, C.; Lu, F. Detoxification of deoxynivalenol by a mixed culture of soil bacteria with 3-epi-deoxynivalenol as the main intermediate. Front. Microbiol. 2019, 10, 2172. [Google Scholar] [CrossRef]
  25. Gao, H.; Niu, J.-F.; Yang, H.; Lu, Z.-X.; Chen, M.-R.; Lu, F.-X. High-throughput sequencing analysis of vomitin-degrading bacteria in mixed flora. Food Sci. 2020, 42, 123–130. [Google Scholar]
  26. Karlovsky, P. Biological detoxification of the mycotoxin deoxynivalenol and its use in genetically engineered crops and feed additives. Appl. Microbiol. Biotechnol. 2011, 91, 491–504. [Google Scholar] [CrossRef] [Green Version]
  27. Vanhoutte, I.; De Mets, L.; De Boevre, M.; Uka, V.; Di Mavungu, J.D.; De Saeger, S.; De Gelder, L.; Audenaert, K. Microbial detoxification of deoxynivalenol (DON),assessed via a Lemna minor L. bioassay, through biotransformation to 3-epi-DON and 3-epi-DOM-1. Toxins 2017, 9, 63. [Google Scholar] [CrossRef] [Green Version]
  28. He, W.-J.; Zhang, L.; Yi, S.-Y.; Tang, X.-L.; Yuan, Q.-S.; Guo, M.-W.; Wu, A.-B.; Qu, B.; Li, H.-P.; Liao, Y.-C. An aldo-ketoreductase is responsible for Fusarium toxin-degrading activity in a soil Sphingomonas strain. Sci. Rep. 2017, 7, 9549. [Google Scholar] [CrossRef] [Green Version]
  29. Shima, J.; Takase, S.; Takahashi, Y.; Iwai, Y.; Fujimoto, H.; Yamazaki, M.; Ochi, K. Novel detoxification of the trichothecene mycotoxin deoxynivalenol by a soil bacterium isolated by enrichment culture. Appl. Environ. Microbiol. 1997, 63, 3825–3830. [Google Scholar] [CrossRef] [PubMed] [Green Version]
  30. Carere, J.; Hassan, Y.I.; Lepp, D.; Zhou, T. The identification of DepB: An enzyme responsible for the final detoxification step in the deoxynivalenol epimerization pathway in Devosia mutans 17-2-E-8. Front. Microbiol. 2018, 9, 1573. [Google Scholar] [CrossRef]
  31. Voelkl, A.; Vogler, B.; Schollenberger, M.; Karlovsky, P. Microbial detoxification of mycotoxin deoxynivalenol. J. Basic Microbiol. 2004, 44, 147–156. [Google Scholar] [CrossRef] [PubMed]
Figure 1. HPLC profile of DON biotransformation by the bacterial consortium of (A) the negative control, (B) Pseudomonas sp. B6-24 and Devosia strain A6-243, and (C) Devosia strain A6-243 with 100 μM of PQQ after 72 h of incubation. The initial DON concentration was 50 mg/L.
Figure 1. HPLC profile of DON biotransformation by the bacterial consortium of (A) the negative control, (B) Pseudomonas sp. B6-24 and Devosia strain A6-243, and (C) Devosia strain A6-243 with 100 μM of PQQ after 72 h of incubation. The initial DON concentration was 50 mg/L.
Toxins 14 00016 g001
Figure 2. Biotransformation of DON by (A) Devosia strain A6-243 and (B) Pseudomonas sp. B6-24 using different cofactors. The bacteria were cultured in MMT (containing 100 μg/mL DON) for 72 h. (B) HPLC profile of DON standard: (a) concentration of DON after DON was added to be incubated with MMT; (b) concentration of DON after DON was cultured with DepA in MMT; (c) concentration of DON after DON was incubated with DepA and a culture supernatant of Pseudomonas sp. B6-24 in MMT (d).
Figure 2. Biotransformation of DON by (A) Devosia strain A6-243 and (B) Pseudomonas sp. B6-24 using different cofactors. The bacteria were cultured in MMT (containing 100 μg/mL DON) for 72 h. (B) HPLC profile of DON standard: (a) concentration of DON after DON was added to be incubated with MMT; (b) concentration of DON after DON was cultured with DepA in MMT; (c) concentration of DON after DON was incubated with DepA and a culture supernatant of Pseudomonas sp. B6-24 in MMT (d).
Toxins 14 00016 g002
Figure 3. The effect of PQQ concentration (A), incubation temperature (B), and pH (C) on the biotransformation of DON by the Devosia strain A6-243. The difference of small letters a-f in the figure indicates significant difference between groups.
Figure 3. The effect of PQQ concentration (A), incubation temperature (B), and pH (C) on the biotransformation of DON by the Devosia strain A6-243. The difference of small letters a-f in the figure indicates significant difference between groups.
Toxins 14 00016 g003
Figure 4. HPLC profile of the culture medium of the Devosia strain A6-243. (A) The cells of A6-243 were incubated with DON for 0 h. (B) The cells of A6-243 were incubated with DON for 72 h.
Figure 4. HPLC profile of the culture medium of the Devosia strain A6-243. (A) The cells of A6-243 were incubated with DON for 0 h. (B) The cells of A6-243 were incubated with DON for 72 h.
Toxins 14 00016 g004
Figure 5. (A) Pre-LC profile of the Devosia strain A6-243 incubated with DON for 72 h. The 2D LC profile (B) and 2D MS spectra (C) of compound A. Purified compound A was analyzed with HQ-TOF-LC/MS/MS.
Figure 5. (A) Pre-LC profile of the Devosia strain A6-243 incubated with DON for 72 h. The 2D LC profile (B) and 2D MS spectra (C) of compound A. Purified compound A was analyzed with HQ-TOF-LC/MS/MS.
Toxins 14 00016 g005
Figure 6. DON biotransformation and bacterial growth profiles of the Devosia strain A6-243. The curves represent changes in the DON/3-epi-DON concentration or the OD600 values of bacterial cultures.
Figure 6. DON biotransformation and bacterial growth profiles of the Devosia strain A6-243. The curves represent changes in the DON/3-epi-DON concentration or the OD600 values of bacterial cultures.
Toxins 14 00016 g006
Figure 7. DON biotransformation by the culture supernatant (A), cell lysates (B), and cell debris (C) of the Devosia strain A6-243 at different time points at 37 °C. The difference of small letters a–d in the figure indicates significant difference between groups.
Figure 7. DON biotransformation by the culture supernatant (A), cell lysates (B), and cell debris (C) of the Devosia strain A6-243 at different time points at 37 °C. The difference of small letters a–d in the figure indicates significant difference between groups.
Toxins 14 00016 g007
Figure 8. DON and 3-keto-DON biotransformation by the Devosia strain A6-243. The difference of small letters a-c in the figure indicates significant difference between groups.
Figure 8. DON and 3-keto-DON biotransformation by the Devosia strain A6-243. The difference of small letters a-c in the figure indicates significant difference between groups.
Toxins 14 00016 g008
Figure 9. Biotransformation effect of the Devosia strain A6-243 on DON in contaminated wheat.
Figure 9. Biotransformation effect of the Devosia strain A6-243 on DON in contaminated wheat.
Toxins 14 00016 g009
Table 1. 1H and 13C NMR data of product A and DON standards.
Table 1. 1H and 13C NMR data of product A and DON standards.
Position1H-NMR δH, ppm (mult, J in Hz)13C-NMR δC (ppm)
DONProduct ADONProduct A
23.65 (d, 4.5)3.72 (s)80.980.9
34.56 (dt, 4.3, 4.4, 9.1)4.58 (d, 6.0)69.369.3
42.22 (dd, 4.3, 14.8)2.33 (dd, 7.6, 7.6)43.343.3
2.10 (d, 4.0)2.22 (s)
5 46.647.6
6 52.152.1
74.85 (d, 1.8)4.92 (s)74.674.6
8 200.3200.0
9 136.1136.1
106.63 (dd, 1.5, 5.9)6.57 (dd, 1.6, 5.9)138.6138.6
11 70.569.3
12 65.765.7
133.10 (d, 4.3)3.19 (d, 4.2)47.647.6
3.17 (d, 4.2)3.14 (d, 4.2)
141.15 (s)1.21 (m)14.514.5
15 62.762.7
161.94 (s)1.91 (s)15.515.5
Publisher’s Note: MDPI stays neutral with regard to jurisdictional claims in published maps and institutional affiliations.

Share and Cite

MDPI and ACS Style

Gao, H.; Niu, J.; Yang, H.; Lu, Z.; Zhou, L.; Meng, F.; Lu, F.; Chen, M. Epimerization of Deoxynivalenol by the Devosia Strain A6-243 Assisted by Pyrroloquinoline Quinone. Toxins 2022, 14, 16. https://doi.org/10.3390/toxins14010016

AMA Style

Gao H, Niu J, Yang H, Lu Z, Zhou L, Meng F, Lu F, Chen M. Epimerization of Deoxynivalenol by the Devosia Strain A6-243 Assisted by Pyrroloquinoline Quinone. Toxins. 2022; 14(1):16. https://doi.org/10.3390/toxins14010016

Chicago/Turabian Style

Gao, Hui, Jiafeng Niu, Hua Yang, Zhaoxin Lu, Libang Zhou, Fanqiang Meng, Fengxia Lu, and Meirong Chen. 2022. "Epimerization of Deoxynivalenol by the Devosia Strain A6-243 Assisted by Pyrroloquinoline Quinone" Toxins 14, no. 1: 16. https://doi.org/10.3390/toxins14010016

APA Style

Gao, H., Niu, J., Yang, H., Lu, Z., Zhou, L., Meng, F., Lu, F., & Chen, M. (2022). Epimerization of Deoxynivalenol by the Devosia Strain A6-243 Assisted by Pyrroloquinoline Quinone. Toxins, 14(1), 16. https://doi.org/10.3390/toxins14010016

Note that from the first issue of 2016, this journal uses article numbers instead of page numbers. See further details here.

Article Metrics

Back to TopTop