CyanoHAB Occurrence and Water Irrigation Cyanotoxin Contamination: Ecological Impacts and Potential Health Risks
Abstract
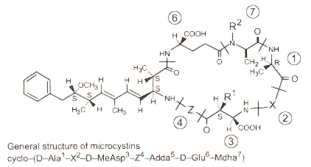
:1. Introduction

2. Ecological and Physiological Effects
2.1. Effects of cyanotoxins on seeds germination rate
2.2. Effects of cyanotoxins on seedlings growth and development
2.3. Cytological modifications
2.4. Photosynthetic activity and chlorophyll content
2.5. Oxidative stress
3. Potent Sanitary Risk
4. Conclusions
Acknowledgements
References and Notes
- Codd, G.A. Cyanobacterial Toxins, the Perception of Water Quality, and the Priorisation of Eutrophication Control. Ecol. Eng. 2000, 16, 51–60. [Google Scholar] [CrossRef]
- Haider, S.; Naithani, V.; Viswanathan, P.N.; Kakkar, P. Cyanobacterial Toxins: A Growing Environmental Concern. Chemosphere 2003, 52, 1–21. [Google Scholar] [PubMed]
- Carmichael, W.W. The Cyanotoxins. In Advances in Botanical Research; Academic Press: London, UK, 1997; pp. 211–240. [Google Scholar]
- Sivonen, K.; Jones, G. Cyanobacterial Toxins. In Toxic Cyanobacteria in Water. A Guide to Their Public Health Consequences,Monitoring and Management; Chorus, I., Bartram, J., Eds.; WHO Ed. E & FN SPON: London, UK, 1999; pp. 41–111. [Google Scholar]
- Mackintosh, C.; Beattie, K.A.; Klumpp, S.; Cohen, P.; Codd, G.A. Cyanobacterial Microcystin-LR is a Potent and Specific Inhibitor of Protein Phosphatases 1 and 2A from Both Mammals and Higher Plants. FEBS Lett. 1990, 264, 187–192. [Google Scholar] [PubMed]
- Bouaïcha, N.; Maatouk, I. Microcystin-LR and Nodularin Induce Intracellular Glutathione Alteration, Reactive Oxygen Species Production and Lipid Peroxidation in Primary Cultured Rat Hepatocytes. Toxicol. Lett. 2004, 148, 53–63. [Google Scholar] [PubMed]
- Chorus, I.; Bartram, J. Toxic Cyanobacteria in Water, a Guide of Their Public Health Consequences, Monitoring and Management; E & FN Spon/WHO: London, UK, 1999; p. 416. [Google Scholar]
- Peuthert, A.; Chakrabarti, S.; Pflugmacher, S. Uptake of Microcystins-LR and -LF (Cyanobacterial Toxins) in Seedlings of Several Important Agricultural Plant Species and the Correlation With Cellular Damage (lipid peroxidation). Environ. Toxicol. 2007, 22, 436–442. [Google Scholar] [PubMed]
- Crush, J.R.; Briggs, L.R.; Sprosen, J.M.; Nichols, S.N. Effect of Irrigation With Lake Water Containing Microcystins on Microcystin Content and Growth of Ryegrass, Clover, Rape, and Lettuce. Environ. Toxicol. 2008, 23, 246–252. [Google Scholar] [CrossRef] [PubMed]
- Saqrane, S.; Ouahid, Y.; El Ghazali, I.; Oudra, B.; Bouarab, L.; del Campo, F.F. Physiological Changes in Triticum durum, Zea mays, Pisum sativum and Lens esculenta Cultivars, Caused by Irrigation with Water Contaminated with Microcystins: A Laboratory Experimental Approach. Toxicon 2009, 53, 786–796. [Google Scholar] [CrossRef] [PubMed]
- Ko´s, P.; Gorzo, G.; Suranyi, G.; Borbely, G. Simple and Efficient Method for Isolation and Measurement of Cyanobacterial Hepatotoxins by Plant Tests (Sinapis alba L.). Anal. Biochem. 1995, 225, 49–53. [Google Scholar] [PubMed]
- Chen, J.; Song, L.; Dai, J.; Gan, N.; Liu, Z. Effects of Microcystins on the Growth and the Activity of Superoxide Dismutase and Peroxidase of Rape (Brassica napus L.) and Rice (Oryza sativa L.). Toxicon 2004, 43, 393–400. [Google Scholar] [CrossRef] [PubMed]
- Pflugmacher, S.; Aulhorn, M.; Grimm, B. Influence of a Cyanobacterial Crude Extract Containing Microcystin-LR on the Physiology and Antioxidative Defence Systems of Different Spinach Variants. New Phytol. 2007, 175, 482–489. [Google Scholar] [PubMed]
- Pflugmacher, S.; Jung, K.; Lundvall, L.; Neumann, S.; Peuthert, A. Effects of Cyanobacterial Toxins and Cyanobacterial Cell-free Crude Extract on Germination of Alfalfa (Medicago sativa) and Induction of Oxidative Stress. Environ. Toxicol. Chem. 2006, 25, 2381–2387. [Google Scholar] [PubMed]
- Gehringer, M.M.; Kewada, V.; Coates, N.; Downing, T.G. The Use of Lepidium sativum in a Plant Bioassay System for the Detection of Microcystin-LR. Toxicon 2003, 41, 871–876. [Google Scholar] [PubMed]
- Saqrane, S.; El Ghazali, I.; Oudra, B.; Bouarab, L.; Vasconcelos, V. Effects of Cyanobacteria Producing Microcystins on Seed Germination and Seedling Growth of Several Agricultural Plants. J. Environ. Sci. Health B. 2008, 43, 443–451. [Google Scholar] [PubMed]
- Kurki-Helasmo, K.; Meriluoto, J. Microcystin Uptake Inhibits Growth and Protein Phosphatase Activity in Mustard (Sinapis alba L.) Seedlings. Toxicon 1998, 36, 1921–1926. [Google Scholar] [CrossRef] [PubMed]
- McElhiney, J.; Lawton, L.A.; Leifert, C. Investigations into the Inhibitory Effects of Microcystins on Plant Growth, and the Toxicity of Plant Tissues Following Exposure. Toxicon 2001, 39, 1411–1420. [Google Scholar] [PubMed]
- Johnson, G.N.; Young, A.J.; Scholes, J.D.; Horton, P. The Dissipation of Excess Excitation Energy in British Plant species. Plant Cell Environ. 1993, 16, 673–679. [Google Scholar]
- Järvenpää, S.; Lundberg-Niinistö, C.; Spoof, L.; Sjövall, O.; Tyystjärvi, E.; Meriluoto, J. Effects of Microcystins on Broccoli and Mustard, and Analysis of Accumulated Toxin by Liquid Chromatography-mass Spectrometry. Toxicon 2007, 49, 865–874. [Google Scholar] [PubMed]
- Björkman, O.; Demmig, B. Photon Yield of O2 Evolution and Chlorophyll Fluorescence Characteristics at 77 K Among Vascular Plants of Diverse Origins. Planta 1987, 170, 489–504. [Google Scholar]
- Botha, N.; Gehringer, M.M.; Downing, T.G.; Van de Venter, M.; Shephard, E.G. The Role of Microystin-LR in the Induction of Apoptosis and Oxidative Stress in CaCO2 Cells. Toxicon 2004, 43, 85–92. [Google Scholar] [PubMed]
- Pflugmacher, S. Promotion of Oxidative Stress in the Aquatic Macrophyte Ceratophyllum demersum During Biotransformation of the Cyanobacterial Toxin Microcystin-LR. Aquat. Toxicol. 2004, 70, 169–178. [Google Scholar] [PubMed]
- Esterbauer, H.; Schaur, R.J.; Zollner, H. Chemistry and Biochemistry of 4-Hydroxynonenal, Malonaldehyde and Related Aldehydes. Free Radic. Biol. Med. 1991, 11, 81–128. [Google Scholar] [PubMed]
- Bouaïcha, N.; Maatouk, I.; Plessis, M.J.; Perin, F. Genotoxic potential of microcystin-LR and nodularin in vitro in primary cultured rat hepatocytes and in vitro in rat liver. Environ. Toxicol. 2005, 3, 341–347. [Google Scholar]
- Maatouk, I.; Bouaïcha, N.; Plessis, M.J.; Périn, F. Dectection of 32P-postlabelling of 8-oxo-7,8-dihydro-2'-deoxyguanosine in DNA as biomarker of microcystin-LR and nodularin-induced DNA damage in vitro in primary cultured rat hepatocytes and in vitro in rat liver. Mutat. Res. 2004, 564, 9–20. [Google Scholar] [PubMed]
- Asada, K. Ascorbate Peroxidise: A Hydrogen Peroxide Scavenging Enzyme in Plants. Physiologia Plantarum 1992, 85, 235–241. [Google Scholar]
- Polle, A. Dissecting the Superoxide Dismutase-Ascorbate-Glutathionepathway in Chloroplasts by Metabolic Modelling. Computer Simulations as a Step towards Flux Analysis. Plant Physiol. 2001, 126, 445–462. [Google Scholar] [CrossRef] [PubMed]
- Mitrovic, S.M.; Pflugmacher, S.; James, K.J.; Furey, A. Anatoxin-a Elicits an Increase in Peroxidase and Glutathione S-Transferase Activity in Aquatic Plant. Aquat. Toxicol. 2004, 68, 185–192. [Google Scholar] [PubMed]
- Pflugmacher, S.; Wiegand, C.; Oberemm, A.; Beattie, K.A.; Krause, E.; Codd, G.A.; Steinberg, C.E.W. Identification of an Enzymatically Formed Glutathione Conjugate of the Cyanobacterial Hepa Growth and Protein Phosphatase Activity in Mustard (Sinapis alba L.) Seedlings. Toxicon 1998, 36, 1921–1926. [Google Scholar] [CrossRef] [PubMed]
- Rabinowitch, H.D.; Fridovich, I. Superoxide Radicals, Superoxide Dismutases and Oxygen Toxicity in Plants. Photochem. Photobiol. 1983, 37, 679–690. [Google Scholar]
- Beyer, Y.; Imaly, J.; Fridovich, I. Superoxide Dismutases. Prog. Nucleic Acid Res. Mol. Biol. 1991, 40, 221–253. [Google Scholar] [PubMed]
- Kondo, F.; Ikai, Y.; Oka, H.; Okumura, M.; Ishikawa, N.; Harada, K.; Matsuura, K.; Murata, H.; Suzuki, M. Formation, Characterization, and Toxicity of the Glutathione and Cysteine Conjugates of Toxic Heptapeptide Microcystins. Chem. Res. Toxicol. 1992, 5, 591–596. [Google Scholar]
- Pflugmacher, S.; Ame, M.V.; Wiegand, C.; Steinberg, C.E. Cyanobacterial Toxins and Endotoxins their Origin and their Ecophysiolocical Effects in Aquatic Organisms. Wasser Boden 2001, 53, 15–20. [Google Scholar]
- Sen Gupta, A.; Webb, R.P.; Holaday, A.S.; Allen, R.D. Overexpression of Superoxide Dismutase Protects Plants from Oxidative Stress. Plant Physiol. 1993, 103, 1067–1073. [Google Scholar] [PubMed]
- Noctor, G.; Foyer, C.H. Ascorbate and Glutathione. Keeping Active Oxygen Under Control. Ann. Rev. Plant Physiol. Plant Mol. Biol. 1998, 49, 249–279. [Google Scholar] [CrossRef]
- Codd, G.A.; Metcalf, J.S.; Beattie, K.A. Retention of Microcystis aeruginosa and Microcystin by Salad Lettuce (Lactuca sativa) After Spray Irrigation with Water Containing Cyanobacteria. Toxicon 1999, 37, 1181–1185. [Google Scholar] [PubMed]
© 2009 by the authors; licensee Molecular Diversity Preservation International, Basel, Switzerland This article is an open-access article distributed under the terms and conditions of the Creative Commons Attribution license (http://creativecommons.org/licenses/by/3.0/).
Share and Cite
Saqrane, S.; Oudra, B. CyanoHAB Occurrence and Water Irrigation Cyanotoxin Contamination: Ecological Impacts and Potential Health Risks. Toxins 2009, 1, 113-122. https://doi.org/10.3390/toxins1020113
Saqrane S, Oudra B. CyanoHAB Occurrence and Water Irrigation Cyanotoxin Contamination: Ecological Impacts and Potential Health Risks. Toxins. 2009; 1(2):113-122. https://doi.org/10.3390/toxins1020113
Chicago/Turabian StyleSaqrane, Sana, and Brahim Oudra. 2009. "CyanoHAB Occurrence and Water Irrigation Cyanotoxin Contamination: Ecological Impacts and Potential Health Risks" Toxins 1, no. 2: 113-122. https://doi.org/10.3390/toxins1020113
APA StyleSaqrane, S., & Oudra, B. (2009). CyanoHAB Occurrence and Water Irrigation Cyanotoxin Contamination: Ecological Impacts and Potential Health Risks. Toxins, 1(2), 113-122. https://doi.org/10.3390/toxins1020113
