Disparities in Snacking Trends in US Adults over a 35 Year Period from 1977 to 2012
Abstract
:1. Introduction
2. Materials and Methods
2.1. Survey Population
2.2. Snacking Definition
2.3. Dietary Data
2.4. Food Grouping System
2.5. Statistical Analysis
3. Results
3.1. Snacking Trends by Age Group
3.2. Overall Food and Beverage Shifts
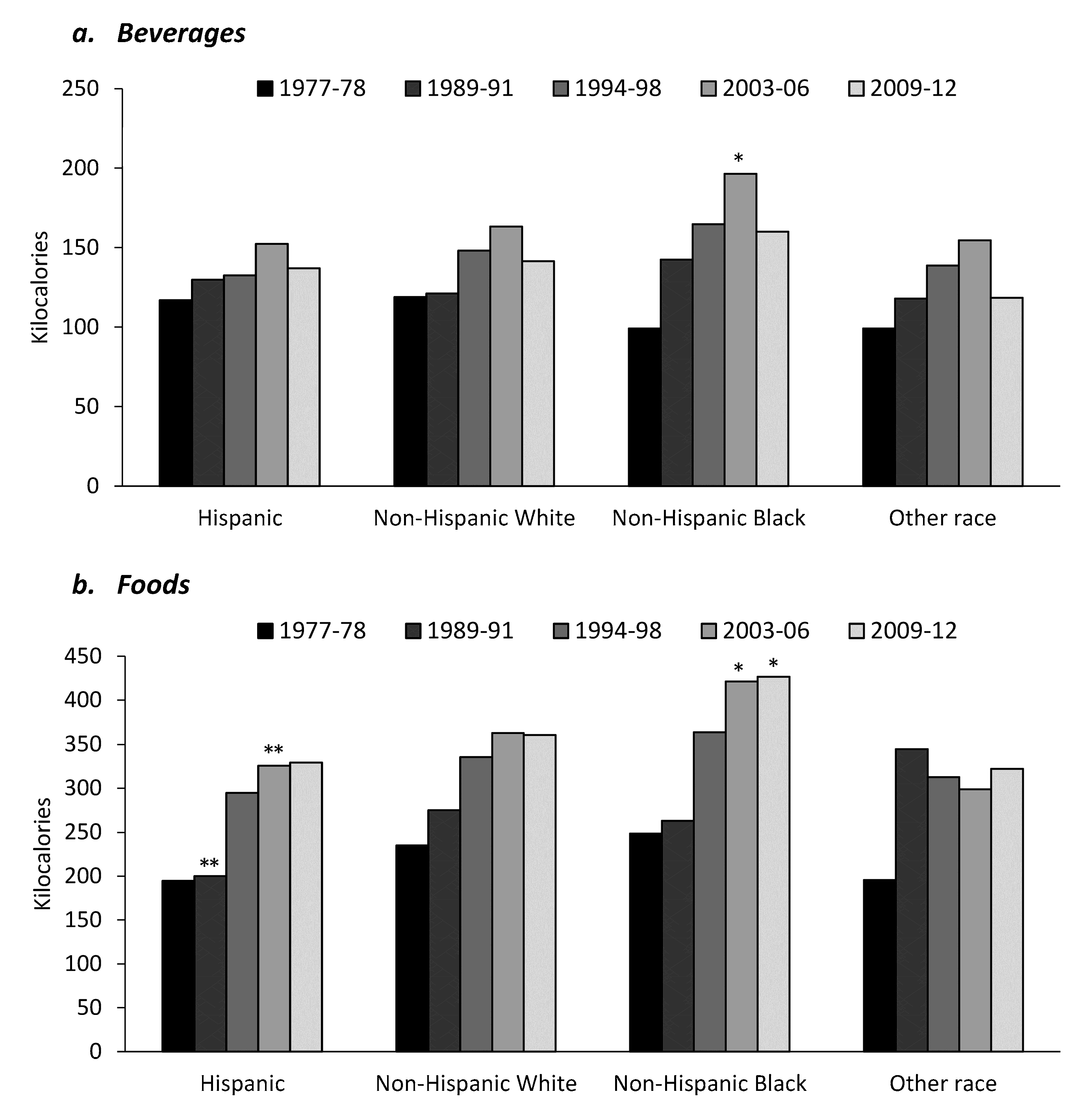
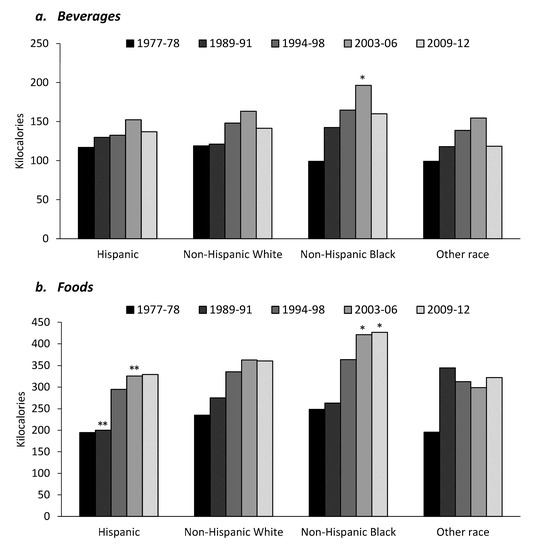
3.3. Snacking Trends by Racial/Ethnic Group
3.4. The Major Food and Beverage Drivers of the Trends
4. Discussion
5. Conclusions
Supplementary Materials
Acknowledgments
Author Contributions
Conflicts of Interest
References
- Flegal, K.M.; Carroll, M.D.; Kit, B.K.; Ogden, C.L. Prevalence of obesity and trends in the distribution of body mass index among US adults, 1999–2010. JAMA 2012, 307, 491–497. [Google Scholar] [CrossRef] [PubMed]
- Flegal, K.M.; Kruszon-Moran, D.; Carroll, M.D.; Fryar, C.D.; Ogden, C.L. Trends in Obesity Among Adults in the United States, 2005 to 2014. JAMA 2016, 315, 2284–2291. [Google Scholar] [CrossRef] [PubMed]
- Centers for Disease Control Prevention. CDC Health Disparities and Inequalities Report—United States, 2013. MMWR Morb. Mortal. Wkly. Rep. 2013, 62, 1–4. [Google Scholar]
- Wang, Y.; Beydoun, M.A. The obesity epidemic in the United States—Gender, age, socioeconomic, racial/ethnic, and geographic characteristics: A systematic review and meta-regression analysis. Epidemiol. Rev. 2007, 29, 6–28. [Google Scholar] [CrossRef] [PubMed]
- Mattson, M.P.; Allison, D.B.; Fontana, L.; Harvie, M.; Longo, V.D.; Malaisse, W.J.; Mosley, M.; Notterpek, L.; Ravussin, E.; Scheer, F.A.; et al. Meal frequency and timing in health and disease. Proc. Natl. Acad. Sci. USA 2014, 111, 16647–16653. [Google Scholar] [CrossRef] [PubMed]
- Jenkins, D.J.; Khan, A.; Jenkins, A.L.; Illingworth, R.; Pappu, A.S.; Wolever, T.M.; Vuksan, V.; Buckley, G.; Rao, A.V.; Cunnane, S.C.; et al. Effect of nibbling versus gorging on cardiovascular risk factors: Serum uric acid and blood lipids. Metabolism 1995, 44, 549–555. [Google Scholar] [CrossRef]
- Jenkins, D.J.; Wolever, T.M.; Vuksan, V.; Brighenti, F.; Cunnane, S.C.; Rao, A.V.; Jenkins, A.L.; Buckley, G.; Patten, R.; Singer, W.; et al. Nibbling versus gorging: Metabolic advantages of increased meal frequency. N. Engl. J. Med. 1989, 321, 929–934. [Google Scholar] [CrossRef] [PubMed]
- Young, L.R.; Nestle, M. The contribution of expanding portion sizes to the US obesity epidemic. Am. J. Public Health 2002, 92, 246–249. [Google Scholar] [CrossRef] [PubMed]
- Nielsen, S.J.; Siega-Riz, A.M.; Popkin, B.M. Trends in energy intake in U.S. between 1977 and 1996: Similar shifts seen across age groups. Obes. Res. 2002, 10, 370–378. [Google Scholar] [CrossRef] [PubMed]
- McCrory, M.A.; Suen, V.M.; Roberts, S.B. Biobehavioral influences on energy intake and adult weight gain. J. Nutr. 2002, 132, 3830S–3834S. [Google Scholar] [PubMed]
- Duffey, K.J.; Popkin, B.M. Energy Density, Portion Size, and Eating Occasions: Contributions to Increased Energy Intake in the United States, 1977–2006. PLoS Med. 2011, 8, e1001050. [Google Scholar] [CrossRef] [PubMed]
- Piernas, C.; Popkin, B.M. Snacking increased among U.S. adults between 1977 and 2006. J. Nutr. 2010, 140, 325–332. [Google Scholar] [CrossRef] [PubMed]
- Hess, J.M.; Jonnalagadda, S.S.; Slavin, J.L. What Is a Snack, Why Do We Snack, and How Can We Choose Better Snacks? A Review of the Definitions of Snacking, Motivations to Snack, Contributions to Dietary Intake, and Recommendations for Improvement. Adv. Nutr. 2016, 7, 466–475. [Google Scholar] [CrossRef] [PubMed]
- U.S. Department of Health and Human Services; U.S. Department of Agriculture. 2015–2020 Dietary Guidelines for Americans, 8th ed. Available online: http://health.gov/dietaryguidelines/2015/guidelines/ (accessed on 14 May 2017).
- Kerver, J.M.; Yang, E.J.; Obayashi, S.; Bianchi, L.; Song, W.O. Meal and snack patterns are associated with dietary intake of energy and nutrients in US adults. J. Am. Diet. Assoc. 2006, 106, 46–53. [Google Scholar] [CrossRef] [PubMed]
- Kant, A.K.; Graubard, B.I. 40-year trends in meal and snack eating behaviors of American adults. J. Acad. Nutr. Diet. 2015, 115, 50–63. [Google Scholar] [CrossRef] [PubMed]
- Ng, S.W.; Slining, M.M.; Popkin, B.M. Turning point for US diets? Recessionary effects or behavioral shifts in foods purchased and consumed. Am. J. Clin. Nutr. 2014, 99, 609–616. [Google Scholar] [CrossRef] [PubMed]
- Kirkpatrick, S.I.; Dodd, K.W.; Reedy, J.; Krebs-Smith, S.M. Income and race/ethnicity are associated with adherence to food-based dietary guidance among US adults and children. J. Acad. Nutr. Diet. 2012, 112, 624–635. [Google Scholar] [CrossRef] [PubMed]
- Thompson, F.E.; McNeel, T.S.; Dowling, E.C.; Midthune, D.; Morrissette, M.; Zeruto, C.A. Interrelationships of added sugars intake, socioeconomic status, and race/ethnicity in adults in the United States: National Health Interview Survey, 2005. J. Am. Diet. Assoc. 2009, 109, 1376–1383. [Google Scholar] [CrossRef] [PubMed]
- Rizek, R. The 1977–78 Nationwide Food Consumption Survey. Fam. Econ. Rev. 1978, 4, 3–7. [Google Scholar]
- U.S. Department of Agriculture. Continuing Survey of Food Intakes by Individuals 1994–1996. 1998. Available online: http://www.ars.usda.gov/Services/docs.htm?docid=14531 (accessed on 12 May 2017).
- U.S. Department of Agriculture; Beltsville Human Nutrition Research Center; Food Surveys Research Group. What We Eat in America. NHANES 2003–2004. Available online: http://www.cdc.gov/nchs/about/major/nhanes/nhanes2003–2004/dr1tot_c.xpt (accessed on 4 May 2017).
- U.S. Department of Agriculture; Beltsville Human Nutrition Research Center; Food Surveys Research Group; U.S. Department of Health and Human Services; Centers for Disease Control and Prevention; National Center for Health Statistics. What We Eat in America. NHANES 2005–2006. Available online: http://www.cdc.gov/nchs/about/major/nhanes/nhanes2005–2006/dr1tot_c.xpt (accessed on 4 May 2017).
- U.S. Department of Agriculture; Beltsville Human Nutrition Research Center; Food Surveys Research Group and U.S. Department of Health and Human Services; Centers for Disease Control and Prevention; National Center for Health Statistics. What We Eat in America. NHANES 2009–2010. Available online: http://www.cdc.gov/nchs/nhanes.htm (accessed on 4 May 2017).
- National Health and Nutrition Examination Survey. Analytic and Reporting Guidelines. Available online: http://www.cdc.gov/nchs/data/nhanes/nhanes_03_04/nhanes_analytic_guidelines_dec_2005.pdf (accessed on 4 May 2017).
- Slining, M.M.; Mathias, K.C.; Popkin, B.M. Trends in Food and Beverage Sources among US Children and Adolescents: 1989–2010. J. Acad. Nutr. Diet. 2013, 113, 1683–1694. [Google Scholar] [CrossRef] [PubMed]
- STATA. For Windows, version 14.1; StataCorp: College Station, TX, USA, 2015.
- Stern, D.; Poti, J.M.; Ng, S.W.; Robinson, W.R.; Gordon-Larsen, P.; Popkin, B.M. Where people shop is not associated with the nutrient quality of packaged foods for any racial-ethnic group in the United States. Am. J. Clin. Nutr. 2016, 103, 1125–1134. [Google Scholar] [CrossRef] [PubMed]
- Ford, M.C.; Gordon, N.P.; Howell, A.; Green, C.E.; Greenspan, L.C.; Chandra, M.; Mellor, R.G.; Lo, J.C. Obesity Severity, Dietary Behaviors, and Lifestyle Risks Vary by Racial/ethnicity and Age in a Northern California Cohort of Children with Obesity. J. Obes. 2016, 2016, 4287976. [Google Scholar] [CrossRef] [PubMed]
- Delva, J.; O’Malley, P.M.; Johnston, L.D. Racial/ethnic and socioeconomic status differences in overweight and health-related behaviors among American students: national trends 1986–2003. J. Adolesc. Health 2006, 39, 536–545. [Google Scholar] [CrossRef] [PubMed]
- Dodd, A.H.; Briefel, R.; Cabili, C.; Wilson, A.; Crepinsek, M.K. Disparities in consumption of sugar-sweetened and other beverages by racial/ethnicity and obesity status among United States schoolchildren. J. Nutr. Educ. Behav. 2013, 45, 240–249. [Google Scholar] [CrossRef] [PubMed]
- Centers for Disease Control and Prevention. Differences in Prevalence of Obesity among Black, White, and Hispanic Adults—United States, 2006—2008. MMWR Morb. Mortal. Wkly. Rep. 2009, 58, 740–744. [Google Scholar]
- U.S. Department of Agriculture. Profiling Food Consumption in America. Available online: http://www.usda.gov/factbook/chapter2.pdf (accessed on 4 May 2017).
- Bellisle, F.; Dalix, A.M.; Mennen, L.; Galan, P.; Hercberg, S.; de Castro, J.M.; Gausseres, N. Contribution of snacks and meals in the diet of French adults: A diet-diary study. Physiol. Behav. 2003, 79, 183–189. [Google Scholar] [CrossRef]
- Mercille, G.; Receveur, O.; Macaulay, A.C. Are snacking patterns associated with risk of overweight among Kahnawake schoolchildren? Public Health Nutr. 2010, 13, 163–171. [Google Scholar] [CrossRef] [PubMed]
- U.S. Department of Agriculture. USDA National Nutrient Database for Standard Reference. Available online: https://ndb.nal.usda.gov/ndb/ (accessed on 4 May 2017).
- U.S. Department of Agriculture. Food and Nutrient Database for Dietary Studies. 2013–2014. Available online: https://www.ars.usda.gov/northeast-area/beltsville-md/beltsville-human-nutrition-research-center/food-surveys-research-group/docs/fndds-download-databases/ (accessed on 21 May 2017).
- Popkin, B.M.; Haines, P.S.; Reidy, K.C. Food consumption trends of US women: Patterns and determinants between 1977 and 1985. Am. J. Clin. Nutr. 1989, 49, 1307–1319. [Google Scholar] [PubMed]



| NFCS a 1977–1978 | CSFII b 1989–1991 | CSFII b 1994–1998 | NHANES c 2003–2006 | NHANES c 2009–2012 | |
|---|---|---|---|---|---|
| Age 19–29 years | |||||
| Snacks, n/day | 1.1 d | 1.1 | 1.5 | 2.2 | 2.2 |
| Per capita mean intake from snacks, kcal/day | 262 d | 300 d | 470 | 582 d | 516 |
| % snackers | 60 d | 61 | 73 | 86 | 85 |
| Per capita mean intake from snacks, kcal/day (snackers only) | 439 d | 489 d | 643 | 675 | 607 |
| Age 30–59 years | |||||
| Snacks, n/day | 1.1 d | 1.3 | 1.6 | 2.4 | 2.3 |
| Per capita mean intake from snacks, kcal/day | 208 d | 258 d | 360 d | 497 | 484 |
| % snackers | 61 d | 65 | 74 | 88 | 87 |
| Per capita mean intake from snacks, kcal/day (snackers only) | 344 d | 396 d | 483 d | 566 | 554 |
| Age 60+ years | |||||
| Snacks, n/day | 0.8 d | 1.1 | 1.3 | 2.1 | 2.1 |
| Per capita mean intake from snacks, kcal/day | 135 d | 181 d | 241 d | 342 | 347 |
| % snackers | 50 d | 60 | 71 | 87 | 85 |
| Per capita mean intake from snacks, kcal/day (snackers only) | 270 d | 301 d | 342 d | 395 | 407 |
| Age 19–59 years | |||||
| Snacks, n/day | 1.1 d | 1.3 | 1.6 | 2.3 | 2.3 |
| Per capita mean intake from snacks, kcal/day | 226 d | 271 d | 390 d | 520 | 493 |
| % snackers | 60 d | 64 | 74 | 87 | 87 |
| Per capita mean intake from snacks, kcal/day (snackers only) | 375 d | 422 d | 527 d | 595 | 569 |
| Hispanic | |||||
| Snacks, n/day | 0.9 d | 0.9 | 1.2 | 2.0 | 2.1 |
| Per capita mean intake from snacks, kcal/day | 167 d | 171 d | 297 d | 405 | 418 |
| % snackers | 53 d | 52 | 69 | 82 | 84 |
| Per capita mean intake from snacks, kcal/day (snackers only) | 312 d | 330 d | 429 d | 495 | 495 |
| Non-Hispanic White | |||||
| Snacks, n/day | 1.1 d | 1.3 | 1.6 | 2.4 | 2.3 |
| Per capita mean intake from snacks, kcal/day | 217 d | 261 d | 368 d | 483 | 462 |
| % snackers | 61 d | 66 | 75 | 89 | 88 |
| Per capita mean intake from snacks, kcal/day (snackers only) | 357 d | 398 d | 488 | 545 | 527 |
| Non-Hispanic Black | |||||
| Snacks, n/day | 0.6 d | 1.0 | 1.1 | 2.0 | 2.1 |
| Per capita mean intake from snacks, kcal/day | 131 d | 230 d | 335 d | 542 | 515 |
| % snackers | 38 d | 57 | 62 | 84 | 83 |
| Per capita mean intake from snacks, kcal/day (snackers only) | 346 d | 406 d | 544 | 643 | 629 |
| Other Race | |||||
| Snacks, n/day | 1.1 d | 0.9 | 1.7 | 2.1 | 2.2 |
| Per capita mean intake from snacks, kcal/day | 204 d | 228 d | 330 | 408 | 385 |
| % snackers | 68 d | 49 | 73 | 85 | 84 |
| Per capita mean intake from snacks, kcal/day (snackers only) | 299 d | 462 | 451 | 481 | 460 |
© 2017 by the authors. Licensee MDPI, Basel, Switzerland. This article is an open access article distributed under the terms and conditions of the Creative Commons Attribution (CC BY) license (http://creativecommons.org/licenses/by/4.0/).
Share and Cite
Dunford, E.K.; Popkin, B.M. Disparities in Snacking Trends in US Adults over a 35 Year Period from 1977 to 2012. Nutrients 2017, 9, 809. https://doi.org/10.3390/nu9080809
Dunford EK, Popkin BM. Disparities in Snacking Trends in US Adults over a 35 Year Period from 1977 to 2012. Nutrients. 2017; 9(8):809. https://doi.org/10.3390/nu9080809
Chicago/Turabian StyleDunford, Elizabeth K., and Barry M. Popkin. 2017. "Disparities in Snacking Trends in US Adults over a 35 Year Period from 1977 to 2012" Nutrients 9, no. 8: 809. https://doi.org/10.3390/nu9080809
APA StyleDunford, E. K., & Popkin, B. M. (2017). Disparities in Snacking Trends in US Adults over a 35 Year Period from 1977 to 2012. Nutrients, 9(8), 809. https://doi.org/10.3390/nu9080809

