Spirulina Extract Enhanced a Protective Effect in Type 1 Diabetes by Anti-Apoptosis and Anti-ROS Production
Abstract
:1. Introduction
2. Materials and Methods
2.1. Preparation of Spirulina Extract
2.2. Protein Profile of Spirulina Extracts with Sodium Dodecyl Sulfate-Polyacrylamide Gel Electrophoresis (SDS-PAGE)
2.3. Insulinoma Cell Culture and Treatments
2.4. XTT Assay for Cell Viability
2.5. 5-Bromo-2-Deoxyuridine (BrdU)-Labeling Cell Proliferation Assay
2.6. Immunocytochemistry and Image Analysis
2.7. Western Blot Analysis
2.8. RNA Isolation and Real-Time Reverse Transcription-Polymerase Chain Reaction (RT-PCR)
2.9. Measurement of NO and ROS/RNS
2.10. Apoptosis Analysis
2.11. Animal Model of Type 1 Diabetes
2.12. Animal Treatments
2.13. Serological, Histological, and Immunohistochemistry Analysis
2.14. Statistical Analysis
3. Results
3.1. Morphological Properties, Nutrients, and Protein Composition of S. maxima
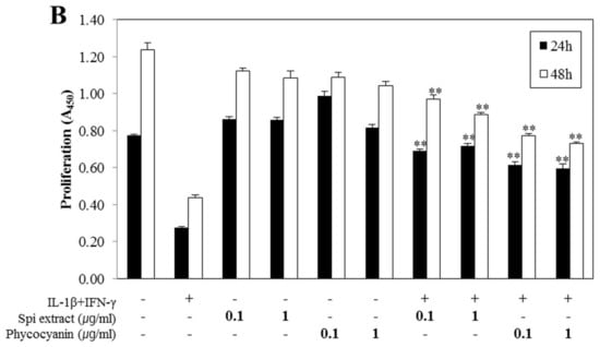
3.2. Spirulina Extract Protects against IL-1β- and IFN-γ-Induced Cytotoxicity
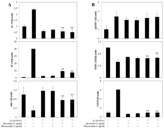
3.3. Spirulina Extract Inhibited NF-κB Activation and Downstream Gene Expression
3.4. Spirulina Extract Modulates NF-κB-Dependent Gene Expression and ER Stress Marker Expression
3.5. Spirulina Extract Attenuated Oxidative Stress
3.6. Spirulina Extract Protected against Cytokine-Induced Apoptosis through the MAPK Pathway
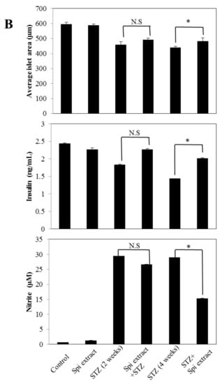
3.7. Spirulina Extract Protects Islets from STZ-Induced β-Cell Destruction
4. Discussion
5. Conclusions
Acknowledgments
Author Contributions
Conflicts of Interest
Appendix A


References
- Vonshak, A. Spirulina Platensis Arthrospira: Physiology, Cell-Biology and Biotechnology; Taylor & Francis Ltd.: London, UK, 1997; ISBN 0-7484-0674-3. [Google Scholar]
- De Rivera, C.G.; Miranda-Zamora, R.; Diaz-Zagoya, J.; Juárez-Oropeza, M. Preventive effect of spirulina maxima on the fatty liver induced by a fructose-rich diet in the rat, a preliminary report. Life Sci. 1993, 53, 57–61. [Google Scholar] [CrossRef]
- Yang, H.-N.; Lee, E.-H.; Kim, H.-M. Spirulina platensis inhibits anaphylactic reaction. Life Sci. 1997, 61, 1237–1244. [Google Scholar] [CrossRef]
- Kim, H.-M.; Lee, E.-H.; Cho, H.-H.; Moon, Y.-H. Inhibitory effect of mast cell-mediated immediate-type allergic reactions in rats by spirulina. Biochem. Pharmacol. 1998, 55, 1071–1076. [Google Scholar] [CrossRef]
- Abed, R.M.; Dobretsov, S.; Sudesh, K. Applications of cyanobacteria in biotechnology. J. Appl. Microbiol. 2009, 106, 1–12. [Google Scholar] [CrossRef] [PubMed]
- Gantar, M.; Svircev, Z. Microalgae and cyanobacteria: Food for thought(1). J. Phycol. 2008, 44, 260–268. [Google Scholar] [CrossRef] [PubMed]
- Ponce-Canchihuaman, J.C.; Perez-Mendez, O.; Hernandez-Munoz, R.; Torres-Duran, P.V.; Juarez-Oropeza, M.A. Protective effects of spirulina maxima on hyperlipidemia and oxidative-stress induced by lead acetate in the liver and kidney. Lipids Health Dis. 2010, 9, 35. [Google Scholar] [CrossRef] [PubMed]
- Layam, A.; Reddy, C.L.K. Antidiabetic property of spirulina. Diabetol. Croat. 2006, 35, 29–33. [Google Scholar]
- Takeda, T.; Yokota, A.; Shigeoka, S. Resistance of photosynthesis to hydrogen peroxide in algae. Plant Cell Physiol. 1995, 36, 1089–1095. [Google Scholar] [CrossRef]
- Noctor, G.; Foyer, C.H. Ascorbate and glutathione: Keeping active oxygen under control. Annu. Rev. Plant Biol. 1998, 49, 249–279. [Google Scholar] [CrossRef] [PubMed]
- Miranda, M.; Cintra, R.; Barros, S.; Mancini-Filho, J. Antioxidant activity of the microalga spirulina maxima. Braz. J. Med. Biol. Res. 1998, 31, 1075–1079. [Google Scholar] [CrossRef] [PubMed]
- Wu, L.-C.; Ho, J.-A.A.; Shieh, M.-C.; Lu, I.-W. Antioxidant and antiproliferative activities of spirulina and chlorella water extracts. J. Agric. Food Chem. 2005, 53, 4207–4212. [Google Scholar] [CrossRef] [PubMed]
- Papaccio, G. Lnsulitis and islet microvasculature in type 1 diabetes. Histol. Histopathol. 1993, 8, 751–759. [Google Scholar] [PubMed]
- Eizirik, D.L.; Mandrup-Poulsen, T. A choice of death—The signal-transduction of immune-mediated beta-cell apoptosis. Diabetologia 2001, 44, 2115–2133. [Google Scholar] [CrossRef] [PubMed]
- Melloul, D. Role of nf-kappab in beta-cell death. Biochem. Soc. Trans. 2008, 36, 334–339. [Google Scholar] [CrossRef] [PubMed]
- Cnop, M.; Welsh, N.; Jonas, J.-C.; Jörns, A.; Lenzen, S.; Eizirik, D.L. Mechanisms of pancreatic β-cell death in type 1 and type 2 diabetes. Diabetes 2005, 54, S97–S107. [Google Scholar] [CrossRef] [PubMed]
- Berridge, M.J. The endoplasmic reticulum: A multifunctional signaling organelle. Cell Calcium 2002, 32, 235–249. [Google Scholar] [CrossRef] [PubMed]
- Nakano, H.; Nakajima, A.; Sakon-Komazawa, S.; Piao, J.H.; Xue, X.; Okumura, K. Reactive oxygen species mediate crosstalk between nf-kappab and jnk. Cell Death Differ. 2006, 13, 730–737. [Google Scholar] [CrossRef] [PubMed]
- Ammendrup, A.; Maillard, A.; Nielsen, K.; Andersen, N.A.; Serup, P.; Madsen, O.D.; Mandrup-Poulsen, T.; Bonny, C. The c-jun amino-terminal kinase pathway is preferentially activated by interleukin-1 and controls apoptosis in differentiating pancreatic beta-cells. Diabetes 2000, 49, 1468–1476. [Google Scholar] [CrossRef] [PubMed]
- Bonny, C.; Oberson, A.; Negri, S.; Sauser, C.; Schorderet, D.F. Cell-permeable peptide inhibitors of jnk. Diabetes 2001, 50, 77–82. [Google Scholar] [CrossRef] [PubMed]
- Haefliger, J.A. The scaffold protein ib1/jip-1 is a critical mediator of cytokine-induced apoptosis in pancreatic beta cells. J. Cell Sci. 2003, 116, 1463–1469. [Google Scholar] [CrossRef] [PubMed]
- Aikin, R.; Maysinger, D.; Rosenberg, L. Cross-talk between phosphatidylinositol 3-kinase/akt and c-jun nh2-terminal kinase mediates survival of isolated human islets. Endocrinology 2004, 145, 4522–4531. [Google Scholar] [CrossRef] [PubMed]
- Larsen, C.M.; Wadt, K.A.; Juhl, L.F.; Andersen, H.U.; Karlsen, A.E.; Su, M.S.-S.; Seedorf, K.; Shapiro, L.; Dinarello, C.A.; Mandrup-Poulsen, T. Interleukin-1β-induced rat pancreatic islet nitric oxide synthesis requires both the p38 and extracellular signal-regulated kinase 1/2 mitogen-activated protein kinases. J. Biol. Chem. 1998, 273, 15294–15300. [Google Scholar] [CrossRef] [PubMed]
- Pavlovic, D.; Andersen, N.A.; Mandrup-Poulsen, T.; Zizirik, D. Activation of extracellular signal-regulated kinase (erk) 1/2 contributes to cytokine-induced apoptosis in purified rat pancreatic b-cells. Eur. Cytokine Netw. 2000, 11, 267–274. [Google Scholar] [PubMed]
- Saldeen, J.; Lee, J.C.; Welsh, N. Role of p38 mitogen-activated protein kinase (p38 mapk) in cytokine-induced rat islet cell apoptosis. Biochem. Pharmacol. 2001, 61, 1561–1569. [Google Scholar] [CrossRef]
- Sies, H. Physiological society symposium: Impaired endothelial and smooth muscle cell function in oxidative stress. Exp. Physiol. 1997, 82, 291–295. [Google Scholar] [CrossRef] [PubMed]
- Barbu, A.; Welsh, N.; Saldeen, J. Cytokine-induced apoptosis and necrosis are preceded by disruption of the mitochondrial membrane potential (δψ m) in pancreatic rinm5f cells: Prevention by bcl-2. Mol. Cell. Endocrinol. 2002, 190, 75–82. [Google Scholar] [CrossRef]
- Tabatabaie, T.; Vasquez-Weldon, A.; Moore, D.R.; Kotake, Y. Free radicals and the pathogenesis of type 1 diabetes. Diabetes 2003, 52, 1994–1999. [Google Scholar] [CrossRef] [PubMed]
- Eizirik, D.L.; Pipeleers, D.G.; Ling, Z.; Welsh, N.; Hellerström, C.; Andersson, A. Major species differences between humans and rodents in the susceptibility to pancreatic beta-cell injury. Proc. Natl. Acad. Sci. USA 1994, 91, 9253–9256. [Google Scholar] [CrossRef] [PubMed]
- Lenzen, S.; Drinkgern, J.; Tiedge, M. Low antioxidant enzyme gene expression in pancreatic islets compared with various other mouse tissues. Free Radic. Biol. Med. 1996, 20, 463–466. [Google Scholar] [CrossRef]
- Adcock, I.M.; Brown, C.R.; Kwon, O.; Barnes, P.J. Oxidative stress induces nfκb DNA binding and inducible nos mrna in human epithelial cells. Biochem. Biophys. Res. Commun. 1994, 199, 1518–1524. [Google Scholar] [CrossRef] [PubMed]
- Schmidt, K.N.; Amstad, P.; Cerutti, P.; Baeuerle, P.A. The roles of hydrogen peroxide and superoxide as messengers in the activation of transcription factor nf-κb. Chem. Biol. 1995, 2, 13–22. [Google Scholar] [CrossRef]
- Flohé, L.; Brigelius-Flohé, R.; Saliou, C.; Traber, M.G.; Packer, L. Redox regulation of nf-kappa b activation. Free Radic. Biol. Med. 1997, 22, 1115–1126. [Google Scholar] [CrossRef]
- Nathan, C. Specificity of a third kind: Reactive oxygen and nitrogen intermediates in cell signaling. J. Clin. Investig. 2003, 111, 769–778. [Google Scholar] [CrossRef] [PubMed]
- Corbett, J.A.; McDaniel, M.L. Intraislet release of interleukin 1 inhibits cell function by inducing cell expression of inducible nitric oxide synthase. J. Exp. Med. 1995, 181, 559–568. [Google Scholar] [CrossRef] [PubMed]
- Mabley, J.G.; Belin, V.; John, N.; Green, I.C. Insulin-like growth factor i reverses interleukin-1β inhibition of insulin secretion, induction of nitric oxide synthase and cytokine-mediated apoptosis in rat islets of langerhans. FEBS Lett. 1997, 417, 235–238. [Google Scholar] [CrossRef]
- Flodström, M.; Tyrberg, B.; Eizirik, D.L.; Sandler, S. Reduced sensitivity of inducible nitric oxide synthase-deficient mice to multiple low-dose streptozotocin-induced diabetes. Diabetes 1999, 48, 706–713. [Google Scholar] [CrossRef] [PubMed]
- Pasco, D.S.; Pugh, N.D.; Elsohly, M.; Ross, S.; ElSohly, N.M. Potent Immunostimulants from Microalgae. US7205284 B2, 17 April 2007. [Google Scholar]
- Romay, C.; Gonzalez, R.; Ledon, N.; Remirez, D.; Rimbau, V. C-phycocyanin: A biliprotein with antioxidant, anti-inflammatory and neuroprotective effects. Curr. Protein Pept. Sci. 2003, 4, 207–216. [Google Scholar] [CrossRef] [PubMed]
- Ewins, B.; Vassiliadou, M.; Minihane, A.; Rimbach, G.; Weinberg, P. Techniques for quantifying effects of dietary antioxidants on transcription factor translocation and nitric oxide production in cultured cells. Genes Nutr. 2006, 1, 125–131. [Google Scholar] [CrossRef] [PubMed]
- Manna, P.; Das, J.; Ghosh, J.; Sil, P.C. Contribution of type 1 diabetes to rat liver dysfunction and cellular damage via activation of nos, parp, ikappabalpha/nf-kappab, mapks, and mitochondria-dependent pathways: Prophylactic role of arjunolic acid. Free Radic. Biol. Med. 2010, 48, 1465–1484. [Google Scholar] [CrossRef] [PubMed]
- Tonnesen, M.F.; Grunnet, L.G.; Friberg, J.; Cardozo, A.K.; Billestrup, N.; Eizirik, D.L.; Storling, J.; Mandrup-Poulsen, T. Inhibition of nuclear factor-kappab or bax prevents endoplasmic reticulum stress- but not nitric oxide-mediated apoptosis in ins-1e cells. Endocrinology 2009, 150, 4094–4103. [Google Scholar] [CrossRef] [PubMed]
- Heimberg, H.; Heremans, Y.; Jobin, C.; Leemans, R.; Cardozo, A.K.; Darville, M.; Eizirik, D.L. Inhibition of cytokine-induced nf-κb activation by adenovirus-mediated expression of a nf-κb super-repressor prevents β-cell apoptosis. Diabetes 2001, 50, 2219–2224. [Google Scholar] [CrossRef] [PubMed]
- Kim, E.K.; Kwon, K.B.; Koo, B.S.; Han, M.J.; Song, M.Y.; Song, E.K.; Han, M.K.; Park, J.W.; Ryu, D.G.; Park, B.H. Activation of peroxisome proliferator-activated receptor-gamma protects pancreatic beta-cells from cytokine-induced cytotoxicity via nf kappab pathway. Int. J. Biochem. Cell Biol. 2007, 39, 1260–1275. [Google Scholar] [CrossRef] [PubMed]
- Manconia, M.; Pendas, J.; Ledon, N.; Moreira, T.; Sinico, C.; Saso, L.; Fadda, A.M. Phycocyanin liposomes for topical anti-inflammatory activity: In Vitro in vivo studies. J. Pharm. Pharmacol. 2009, 61, 423–430. [Google Scholar] [CrossRef] [PubMed]
- Wing, P.; Takayama, F.; Mankura, M.; Egashira, T.; Kodo, Y.; Mori, A. Anti-oxidative and anti-inflammatory effects of spirulina and its component on non-alcoholic steatohepatitis model rats. Free Radic. Biol. Med. 2009, 47, S164. [Google Scholar]
- Meng, Q.; Cooney, M.; Yepuri, N.; Cooney, R.N. L-arginine attenuates interleukin-1beta (il-1beta) induced nuclear factor kappa-beta (nf-kappab) activation in caco-2 cells. PLoS ONE 2017, 12, e0174441. [Google Scholar] [CrossRef] [PubMed]
- Hasegawa, S.; Ichiyama, T.; Sonaka, I.; Ohsaki, A.; Okada, S.; Wakiguchi, H.; Kudo, K.; Kittaka, S.; Hara, M.; Furukawa, S. Cysteine, histidine and glycine exhibit anti-inflammatory effects in human coronary arterial endothelial cells. Clin. Exp. Immunol. 2012, 167, 269–274. [Google Scholar] [CrossRef] [PubMed]
- Ohsaki, Y.; Shirakawa, H.; Miura, A.; Giriwono, P.E.; Sato, S.; Ohashi, A.; Iribe, M.; Goto, T.; Komai, M. Vitamin k suppresses the lipopolysaccharide-induced expression of inflammatory cytokines in cultured macrophage-like cells via the inhibition of the activation of nuclear factor kappab through the repression of ikkalpha/beta phosphorylation. J. Nutr. Biochem. 2010, 21, 1120–1126. [Google Scholar] [CrossRef] [PubMed]
- Wang, Y.; Park, N.Y.; Jang, Y.; Ma, A.; Jiang, Q. Vitamin e gamma-tocotrienol inhibits cytokine-stimulated nf-kappab activation by induction of anti-inflammatory a20 via stress adaptive response due to modulation of sphingolipids. J. Immunol. 2015, 195, 126–133. [Google Scholar] [CrossRef] [PubMed]
- Roy, K.R.; Arunasree, K.M.; Dhoot, A.; Aparna, R.; Reddy, G.V.; Vali, S.; Reddanna, P. C-phycocyanin inhibits 2-acetylaminofluorene-induced expression of mdr1 in mouse macrophage cells: Ros mediated pathway determined via combination of experimental and in silico analysis. Arch. Biochem. Biophys. 2007, 459, 169–177. [Google Scholar] [CrossRef] [PubMed]
- Sun, Y.; Zhang, J.; Yan, Y.; Chi, M.; Chen, W.; Sun, P.; Qin, S. The protective effect of c-phycocyanin on paraquat-induced acute lung injury in rats. Environ. Toxicol. Pharmacol. 2011, 32, 168–174. [Google Scholar] [CrossRef] [PubMed]
- Guyton, K.Z.; Liu, Y.; Gorospe, M.; Xu, Q.; Holbrook, N.J. Activation of mitogen-activated protein kinase by ho role in cell survival following oxidant injury. J. Biol. Chem. 1996, 271, 4138–4142. [Google Scholar] [CrossRef] [PubMed]
- Lenzen, S. Oxidative stress: The vulnerable beta-cell. Biochem. Soc. Trans. 2008, 36, 343–347. [Google Scholar] [CrossRef] [PubMed]
- Putt, K.S.; Chen, G.W.; Pearson, J.M.; Sandhorst, J.S.; Hoagland, M.S.; Kwon, J.T.; Hwang, S.K.; Jin, H.; Churchwell, M.I.; Cho, M.H.; et al. Small-molecule activation of procaspase-3 to caspase-3 as a personalized anticancer strategy. Nat. Chem. Biol. 2006, 2, 543–550. [Google Scholar] [CrossRef] [PubMed]
- Chang, L.; Karin, M. Mammalian map kinase signalling cascades. Nature 2001, 410, 37–40. [Google Scholar] [CrossRef] [PubMed]
- Evans, J.L.; Goldfine, I.D.; Maddux, B.A.; Grodsky, G.M. Oxidative stress and stress-activated signaling pathways: A unifying hypothesis of type 2 diabetes. Endocr. Rev. 2002, 23, 599–622. [Google Scholar] [CrossRef] [PubMed]
- Briaud, I.; Lingohr, M.K.; Dickson, L.M.; Wrede, C.E.; Rhodes, C.J. Differential activation mechanisms of erk-1/2 and p70s6k by glucose in pancreatic β-cells. Diabetes 2003, 52, 974–983. [Google Scholar] [CrossRef] [PubMed]
- Kim, E.K.; Kwon, K.B.; Song, M.Y.; Seo, S.W.; Park, S.J.; Ka, S.O.; Na, L.; Kim, K.A.; Ryu, D.G.; So, H.S.; et al. Genistein protects pancreatic beta cells against cytokine-mediated toxicity. Mol. Cell. Endocrinol. 2007, 278, 18–28. [Google Scholar] [CrossRef] [PubMed]
- Raman, M.; Chen, W.; Cobb, M.H. Differential regulation and properties of mapks. Oncogene 2007, 26, 3100–3112. [Google Scholar] [CrossRef] [PubMed]
- Butler, A.E.; Jang, J.; Gurlo, T.; Carty, M.D.; Soeller, W.C.; Butler, P.C. Diabetes due to a progressive defect in β-cell mass in rats transgenic for human islet amyloid polypeptide (hip rat). Diabetes 2004, 53, 1509–1516. [Google Scholar] [CrossRef] [PubMed]










| Accession No. | Gene | Sequence | Product Size (bp) | Annealing Temp (°C) | Cycles |
|---|---|---|---|---|---|
| NM.031144 | β-actin | 5′-CACCACAGCTGAGAGGGAAA-3′ 3′-TGGACAGTGAGGCCAGGATA-5′ | 472 | 66 | 40 |
| NM.012611 | iNOS | 5′-AGGAGATGGTCCGCAAGGGA-3′ 3′-TCGTCGGCCAGCTCTTTCTG-5′ | 120 | 66 | 40 |
| NM.022852 | pdx-1 | 5′-GGTATAGCCAGCGAGATGCT-3′ 3′-TCAGTTGGGAGCCTGATTCT-5′ | 153 | 66 | 40 |
| M57441 | MCP-1 | 5′-CTTCTGGGCCTGTTGTTCA-3′ 3′-CCAGCCGACTCATTGGGATCA-5′ | 127 | 66 | 40 |
| NM.013129 | IL-15 | 5′-TGCAATGAACTGCTTTCTCCTGGAA-3′ 3′-GCTCCTCACATTCCTTGCAGCC-5′ | 158 | 66 | 40 |
| NM.139089 | IP-10 | 5′-TCGTTCTCTGCCTCGTGCTGC-3′ 3′-ATGGCCCTGGGTCTCAGCGT-5′ | 115 | 66 | 40 |
| AF443192 | spXBP-1 | 5′-CGCTTGGGAATGGACACGCT-3′ 3′-CTGCACCTGCTGCGGACTCA-5′ | 106 | 66 | 40 |
| NM.001110823 | SERCA2b | 5′-CAAACAAACCGAGCCGGACG-3′ 3′-AACAACAGGCGTCATGGGGA-5′ | 122 | 66 | 40 |
| U36994 | CHOP | 5′-TGCTGAAGAGAACGAGCGGC-3′ 3′-GGTGCAGACTGACCATGCGG-5′ | 104 | 66 | 40 |
| General Composition | (%) | Amino Acid | (g/kg) |
|---|---|---|---|
| Moisture | 3.2 | Alanine | 50.1 |
| Protein | 63.1 | Arginine | 30.9 |
| Fat (Lipids) | 7.2 | Aspartic acid | 59.4 |
| Carbohydrate | 22.1 | Cystine | 1.74 |
| Minerals (Ash) | 4.4 | Glutamic acid | 93.4 |
| Fiber | 13.2 | Glycine | 28.3 |
| Histidine | 8.91 | ||
| Vitamins | (mg/kg) | Isoleucine | 23.2 |
| β-carotene | 1119 | Leucine | 46.7 |
| Vitamin E | 40 | Lysine | 24.0 |
| Thiamin B-1 | 10 | Methionine | 10.1 |
| Riboflavin B-2 | 10 | Phenylalanine | 23.2 |
| Niacin B-3 | 144 | Proline | 19.9 |
| Vitamin K-1 | 78 | Serine | 32.2 |
| Threonine | 28.3 | ||
| Essential fatty acids | (g/kg) | Tryptophan | 5.9 |
| Linoleic acid | 13.0 | Tyrosine | 17.0 |
| γ-linolenic acid | 7.7 | Valine | 26.1 |
| Initial Weight (g) | Final Weight (g) | Glucose (mg/dL) | Total Cholesterol (mg/dL) | TG (mg/dL) | BUN (mg/dL) | Creatinine (mg/dL) | |
|---|---|---|---|---|---|---|---|
| Control | 230.0 ± 5.32 | 346.6 ± 4.21 | 2.00.5 ± 15.3 | 81.0 ± 1.47 | 54 ± 6.9 | 20.6 ± 1.0 | 0.5 ± 0.01 |
| Spi | 235.0 ± 4.20 | 353.0 ± 3.65 | 252 ± 16.1 | 77.0 ± 1.05 | 48.0 ± 5.9 | 20.7 ± 0.4 | 0.6 ± 0.02 |
| STZ (2 weeks) | 235.0 ± 5.44 | 284.0 ± 7.55 | 522.3 ± 4.36 | 125.5 ± 3.24 | 414.0 ± 37.28 | 38.8 ± 2.05 | 0.5 ± 0.02 |
| Spi + STZ | 230.0 ± 6.03 | 295.3 ± 7.35 | 469.7 ± 19.93 | 108.0 ± 2.22 | 360.0 ± 14.71 | 31.1 ± 1.10 | 0.5 ± 0.02 |
| STZ (4 weeks) | 260.0 ± 2.56 | 234.8 ± 13.01 | 639 ± 7.8 | 129.3 ± 5.31 | 232 ± 34.2 | 43.7 ± 3.0 | 0.5 ± 0.02 |
| STZ + Spi | 260.0 ± 5.13 | 284.0 ± 6.97 a | 574 ± 16.7 a | 105.3 ± 1.83 a | 126.8 ± 11.1 a | 39.9 ± 2.0 | 0.5 ± 0.02 |
| Total Protein (g/dL) | Albumin (g/dL) | GOT (IU/L) | GPT (IU/L) | ALP (U/L) | γ-GT (IU/L) | |
|---|---|---|---|---|---|---|
| Control | 6.0 ± 0.02 | 4.5 ± 0.03 | 151.8 ± 2.63 | 53.4 ± 3.07 | 955.4 ± 34.35 | 2.0 ± 0.00 |
| Spi | 6.2 ± 0.10 | 4.4 ± 0.04 | 121.7 ± 6.53 | 54.4 ± 2.20 | 856.8 ± 31.42 | 2.0 ± 0.40 |
| STZ (2 weeks) | 5.6 ± 0.05 | 3.9 ± 0.04 | 325.0 ± 17.68 | 163.7 ± 2.62 | 3422.0 ± 77.89 | 2.0 ± 0.00 |
| Spi + STZ | 5.6 ± 0.05 | 3.9 ± 0.05 | 212.7 ± 8.37 a | 166.3 ± 15.11 | 2159.3 ± 223.77 a | 2.0 ± 0.00 |
| STZ (4 weeks) | 5.4 ± 0.05 | 3.7 ± 0.06 | 367.7 ± 1.31 | 358.0 ± 44.25 | 3725.6 ± 154.05 | 11.3 ± 1.43 |
| STZ + Spi | 5.4 ± 0.05 | 3.6 ± 0.03 | 232.0 ± 23.90 b | 208.7 ± 7.96 | 2798.0 ± 140.70 b | 2.3 ± 0.20 b |
© 2017 by the authors. Licensee MDPI, Basel, Switzerland. This article is an open access article distributed under the terms and conditions of the Creative Commons Attribution (CC BY) license (http://creativecommons.org/licenses/by/4.0/).
Share and Cite
Lee, J.; Park, A.; Kim, M.J.; Lim, H.-J.; Rha, Y.-A.; Kang, H.-G. Spirulina Extract Enhanced a Protective Effect in Type 1 Diabetes by Anti-Apoptosis and Anti-ROS Production. Nutrients 2017, 9, 1363. https://doi.org/10.3390/nu9121363
Lee J, Park A, Kim MJ, Lim H-J, Rha Y-A, Kang H-G. Spirulina Extract Enhanced a Protective Effect in Type 1 Diabetes by Anti-Apoptosis and Anti-ROS Production. Nutrients. 2017; 9(12):1363. https://doi.org/10.3390/nu9121363
Chicago/Turabian StyleLee, Jiyeong, Arum Park, Mi Jeong Kim, Hee-Joung Lim, Young-Ah Rha, and Hee-Gyoo Kang. 2017. "Spirulina Extract Enhanced a Protective Effect in Type 1 Diabetes by Anti-Apoptosis and Anti-ROS Production" Nutrients 9, no. 12: 1363. https://doi.org/10.3390/nu9121363
APA StyleLee, J., Park, A., Kim, M. J., Lim, H.-J., Rha, Y.-A., & Kang, H.-G. (2017). Spirulina Extract Enhanced a Protective Effect in Type 1 Diabetes by Anti-Apoptosis and Anti-ROS Production. Nutrients, 9(12), 1363. https://doi.org/10.3390/nu9121363

